MaplePrimes Posts

MaplePrimes Posts are for sharing your experiences, techniques and opinions about Maple, MapleSim and related products, as well as general interests in math and computing.

Latest Post
  • Latest Posts Feed
  • Maplesoft Open Maple Java Programming Interface : Bug Report 2

    Subject

    Native crash (SIGSEGV) in libmaple.dylib when evaluating symbolic sum with indexed coefficients (B[n]) — macOS Apple Silicon — Maple 2024.2

    Hello Maplesoft Support team,

    I’m reporting a native crash (SIGSEGV) inside libmaple.dylib that occurs when evaluating a symbolic sum containing indexed symbolic coefficients (for example B[n]) via the Maple Java Engine API (jopenmaple). The crash aborts the JVM and produces hs_err_pid34602.log. This is available: email me to receive it.. Rewriting the indexed symbol as a function (for example B(n)) avoids the crash, which suggests a native bug in Maple’s handling of indexed symbolic objects during summation/conversion/evaluation.

    Please find environment, exact commands, a minimal reproducer, hs_err_pid34602.log (email), and suggested tests and actions below.

    Environment

    * Maple: Maple 2024.2 (build used in our tests) Build ID #18723373

    * OS: macOS (Apple Silicon / arm64) Sequoia 15.7.1 32 GB
        * uname output from the failing machine: Darwin Mac-Mini.local 24.6.0 Darwin Kernel Version 24.6.0: Mon Aug 11 21:16:30 PDT 2025; root:xnu-11417.140.69.701.11~1/RELEASE_ARM64_T8132 arm64  

    JDK: openjdk 21.0.8 2025-07-15 LTS
    OpenJDK Runtime Environment Temurin-21.0.8+9 (build 21.0.8+9-LTS)
    OpenJDK 64-Bit Server VM Temurin-21.0.8+9 (build 21.0.8+9-LTS, mixed mode, sharing)

    Maple Java jars in use:
        * /Library/Frameworks/Maple.framework/Versions/2024/java/jopenmaple.jar
        * /Library/Frameworks/Maple.framework/Versions/2024/java/externalcall.jar

    Native libraries loaded from:
        * /Library/Frameworks/Maple.framework/Versions/2024/bin.APPLE_ARM64_MACOS

    Exact java command used to run MinimalSumTest2:

    java -Xcheck:jni --enable-native-access=ALL-UNNAMED -Xrs \  
      -cp .:/Library/Frameworks/Maple.framework/Versions/2024/java/jopenmaple.jar:/Library/Frameworks/Maple.framework/Versions/2024/java/externalcall.jar \  
      -Djava.library.path=/Library/Frameworks/Maple.framework/Versions/2024/bin.APPLE_ARM64_MACOS \  
      MinimalSumTest2  

    Note: Adding -Xss100M did not make any apparent difference.


    Minimal Java reproducer (attach as MinimalSumTest2.java):

    // MinimalSumTest2.java

    public class MinimalSumTest2
    {
        public static void main(String[] args)
        {
            String[] mapleArgs = new String[] { "java" }; // some versions require this
            com.maplesoft.openmaple.Engine engine = null;
            try
            {
                System.out.println("Creating Engine...");
                engine = new com.maplesoft.openmaple.Engine(
                    mapleArgs,
                    new com.maplesoft.openmaple.EngineCallBacksDefault(),
                    null,
                    null
                );

                // assign with ":" to suppress printing (should avoid large marshalled result)
                String assignSuppressed = "u_test := sum(B[n]*sin(n*Pi*x/L)*exp(-alpha*(n*Pi/L)^2*t), n=1..100):";
                System.out.println("Evaluating (suppressed): " + assignSuppressed);
                engine.evaluate(assignSuppressed);
                System.out.println("Assigned (suppressed) OK");

                System.out.println("Done.");
            } catch (Throwable t)
            {
                System.err.println("Unexpected throwable (may be native crash):");
                t.printStackTrace();
                // If a SIGSEGV occurs, JVM may abort before this runs; look for hs_err_pid*.log
            } finally
            {
                // no stop() method available
            }
        }
    }

    Observed Behavior

    * JVM aborts with SIGSEGV in native code (libmaple.dylib). The hs_err log shows frames in:
        * libmaple.dylib : errorJmp(_ThreadLocalData*) / extIsNumeric
        * libjopenmaple.jnilib : newAlgebraic / Java_com_maplesoft_openmaple_Engine_evaluate

    * Using B(n) (function form) instead of B[n] or substituting numeric coefficients avoids the crash.

    Attached crash evidence

    * hs_err_pid34602.log is available: email me to receive it.
    * Please use the full hs_err file for diagnostics; it contains native frames, thread state and loaded libraries.

    Suggested quick tests to run (please include pass/fail for each):

    1. Replace indexed form with function form:
        * B := n -> b^n: u := sum(B(n)*sin(...), n=1..100): — does this crash?
    2. Reduce N (small upper bound):
        * sum(B[n]*sin(...), n=1..10): — crash or not?
    3. Use a table in place of indexed name: Btab := table():  
    4. for k from 1 to 100 do Btab[k] := b || k od:  
    5. sum(Btab[n]*sin(...), n=1..100):  
    6. Pre-substitute a simple expression for B[n] before summing:
        * sum(subs(B[n]=1/n, B[n]*sin(...)), n=1..100):
    7. Try same reproducer on a non-Apple-Silicon mac or Linux (if available) and with JDK 17.

    Suggested cause (based on hs_err frames):

    * Crash appears to occur in native routines that check numeric-ness / build algebraic objects (functions such as extIsNumeric and newAlgebraic). This indicates a bug in Maple’s native handling/conversion of indexed symbolic objects in sum/convert/evaluate code paths.

    Temporary workarounds
    * Use function form: B := n -> ... and B(n) in sums rather than B[n].
    * Substitute definitions for B[n] before summation (client-side or via subs) so that the sum does not carry an indexed symbolic name into the conversion step.
    * Build sums client-side (Java/Clojure) or use explicit truncated numeric sums when possible.

    Files to attach (recommended)
    * hs_err_pid*.log (full file)
    * MinimalSumTest.java (the Java reproducer above)
    * README_cmd.txt (contains exact javac and java commands used)
    * java_version.txt (output of java --version)
    * maplesoft_jars_list.txt (paths to jopenmaple.jar and externalcall.jar used)

    =========================================
    Suggested actions for Maplesoft engineers
    =========================================

    * Email me to receive the error log file produced for the crash.
    * Reproduce on macOS Apple Silicon using the provided reproducer and command line.
    * Inspect handling of indexed name objects inside summation/conversion code paths — particularly code interacting with extIsNumeric, newAlgebraic, and conversion routines invoked by Engine.evaluate.
    * Check whether this regression is present on other platforms (x86 mac, Linux) and JDK versions.
    * Provide either a patch that prevents this conversion path from dereferencing invalid memory, or return a safe Maple-level error for unsupported symbolic forms.

    Thank-you.
     

    Maplesoft Open Maple Java Programming Interface : Bug Report 1

    Subject

    -------------------------------------------------------------
    FATAL ERROR in native method: Using JNIEnv in non-Java thread
    -------------------------------------------------------------

    Unexpected and apparently inconsistent threading behaviour.

    Perhaps due to default callback semantics ?

    Hello Maplesoft Support team,

    Environment

    * Maple: Maple 2024.2 (build used in our tests) Build ID #18723373
    * OS: macOS (Apple Silicon / arm64) Sequoia 15.7.1 32 GB
    * uname output from the failing machine: Darwin Mac-Mini.local 24.6.0 Darwin Kernel Version 24.6.0: Mon Aug 11 21:16:30 PDT 2025; root:xnu-11417.140.69.701.11~1/RELEASE_ARM64_T8132 arm64  
    * JDK: openjdk 21.0.8 2025-07-15 LTS (Temurin 21.0.8+9)  
     
    * Maple Java jars in use:
        * /Library/Frameworks/Maple.framework/Versions/2024/java/jopenmaple.jar
        * /Library/Frameworks/Maple.framework/Versions/2024/java/externalcall.jar
    * Native libraries loaded from:
        * /Library/Frameworks/Maple.framework/Versions/2024/bin.APPLE_ARM64_MACOS

    Exact java command used to run OpenMapleBug1:

    java -Xcheck:jni --enable-native-access=ALL-UNNAMED -Xrs \  
      -cp .:/Library/Frameworks/Maple.framework/Versions/2024/java/jopenmaple.jar:/Library/Frameworks/Maple.framework/Versions/2024/java/externalcall.jar \  
      -Djava.library.path=/Library/Frameworks/Maple.framework/Versions/2024/bin.APPLE_ARM64_MACOS \  
      OpenMapleBug1  

    Minimal Java reproducer:

    import com.maplesoft.openmaple.*;
    import com.maplesoft.externalcall.MapleException;
    import java.util.*;

    public class OpenMapleBug1
    {
        public static void main(String[] args) throws Exception
        {
            String[] mapleArgs = { "java" };

            try
            {
                Engine engine = new Engine(mapleArgs, new EngineCallBacksDefault(), null, null);
                String expr1 = "diff( tan( x )/exp( x ), x );";
                String expr2 = "u_general := sum(B[n] * sin(n*Pi*x/L) * exp(-alpha*(n*Pi/L)^2*t), n=1..infinity);";
                System.out.println("Evaluating: " + expr1);
                engine.evaluate(expr1);
                System.out.println("Evaluating: " + expr2);
                engine.evaluate(expr2);
                System.out.println("Success");
            }
            catch (MapleException e)
            {
                System.out.println("Error: " + e);
                e.printStackTrace();
            }
        }
    }

    Observed Behaviour

    Two calls are made to OpenMaple. The first succeeds:

    Evaluating: diff( tan( x )/exp( x ), x );
    (1+tan(x)^2)/exp(x)-tan(x)/exp(x)

    The second fails (cf. OpenMapleBug2 (which is actually my main line of investigation); also submitted).

    Evaluating: u_general := sum(B[n] * sin(n*Pi*x/L) * exp(-alpha*(n*Pi/L)^2*t), n=1..infinity);

    FATAL ERROR in native method: Using JNIEnv in non-Java thread
    zsh: abort      java -Xcheck:jni --enable-native-access=ALL-UNNAMED -Xrs -cp    OpenMapleBug1

    =========================================
    Suggested actions for Maplesoft engineers
    =========================================

    * Reproduce on macOS Apple Silicon using the provided reproducer and command line.
    * Check whether this regression is present on other platforms (x86 mac, Linux) and JDK versions.
    * Provide a fix for Maple 2024.2 (and Maple 2025.x if applicable).

    Thank-you.
     

    I was honored to give a talk about the MRB constant at the INTERNATIONAL 10th USBILIM APPLIED SCIENCES.

    If you're unfamiliar with the MRB constant, this is a solid introduction to it.

    (28) INTRODUCING THE MRB CONSTANT: CONVERGENCE, GEOMETRY, AND OPEN PROBLEMS

    [Edit: a general procedure based on these ideas is given below.]

    Maple's isolve can solve some but not all of the quadratic equations in two variables describing the conic sections. Here I show that by transforming the equations, Maple can then solve these missing cases.

    restart

    with(plots)

    I was recently surprised that isolve cannot solve the following simple Diophantine equation

    isolve(2*x^2+4*x*y+y^2 = 7)

    which has the obvious (to a human) solution {x = 1, y = 1}. This led me to think about the case of conic sections, which have the following general equation (= 0 implied), where I assume a, () .. (), f are integers.

    P := a*x^2+b*x*y+c*y^2+d*x+e*y+f

    a*x^2+b*x*y+c*y^2+d*x+e*y+f

    The above equation has discriminant -4*a*c+b^2 positive, indicating that is is a hyperbola.

    h_params := {a = 2, b = 4, c = 1, d = 0, e = 0, f = -7}; P__h := eval(P, h_params); disc := -4*a*c+b^2; eval(disc, h_params); plot__h := implicitplot(P__h, x = -10 .. 10, y = -10 .. 10, colour = red)

    {a = 2, b = 4, c = 1, d = 0, e = 0, f = -7}

    2*x^2+4*x*y+y^2-7

    -4*a*c+b^2

    8

    Here's a parabola case (discriminant = 0) that isolve also has trouble with

    p_params := {a = 2, b = 4, c = 2, d = 1, e = 2, f = 7}; eval(disc, p_params); P__p := eval(P, p_params); {isolve(P__p)}; plot__h := implicitplot(P__p, x = -10 .. 10, y = -10 .. 10, colour = red)

    {a = 2, b = 4, c = 2, d = 1, e = 2, f = 7}

    0

    2*x^2+4*x*y+2*y^2+x+2*y+7

    {}

    But this has at least one solution

    eval(P__p, {x = 7, y = -7})

    0

    Maple seems to do better in the elliptic case (discriminant negative) and finds two solutions. Examination of the plot suggests there are no other solutions.

    e_params := {a = 2, b = 4, c = 3, d = 1, e = 2, f = -7}; eval(disc, e_params); P__e := eval(P, e_params); {isolve(P__e)}; plot__e := implicitplot(P__e, x = -10 .. 10, y = -10 .. 10, colour = red)

    {a = 2, b = 4, c = 3, d = 1, e = 2, f = -7}

    -8

    2*x^2+4*x*y+3*y^2+x+2*y-7

    {{x = -3, y = 2}, {x = 2, y = -3}}

    I show that transformation of the general equation to the form -D*Y^2+X^2 = m, where D is the discriminant, allows Maple to solve the hyperbolic case, as well as the elliptic case it already knows how to solve; another transformation works for the parabolic case. Maple appears to be able to solve all (solvable) cases of the transformed equations, though this is not clear from the help page. The transformation is discussed in Bogdan Grechuk, Polynomial Diophantine Equations: A Systematic Approach, Springer, 2024, Sec. 3.1.7. doi: 10.1007/978-3-031-62949-5

     

    A complete classification of the conics, including degenerate cases, is given in https://en.wikipedia.org/wiki/Matrix_representation_of_conic_sections. If the determinant, delta, of the following matrix is zero, we have a degenerate case.

    A__Q := Matrix(3, 3, [a, (1/2)*b, (1/2)*d, (1/2)*b, c, (1/2)*e, (1/2)*d, (1/2)*e, f]); delta := LinearAlgebra:-Determinant(A__Q)

    Matrix(%id = 36893489963432522084)

    a*c*f-(1/4)*a*e^2-(1/4)*b^2*f+(1/4)*b*d*e-(1/4)*c*d^2

    The case of a = b and b = c and c = 0 is just the linear case, which Maple can solve, and is one case where D = delta and delta = 0. Other degenerate parabola cases are two coincident lines or two parallel lines. Degenerate hyperbolas are two intersecting lines, and degenerate ellipses are a single point. Maple can solve all these cases, e.g.,NULL

    expand((2*x+3*y+1)*(2*x+3*y)); {isolve(%)}; expand((2*x+3*y)*(2*x+3*y)); {isolve(%)}; expand((x-2)*(y-3)); {isolve(%)}; x^2+y^2 = 0; {isolve(%)}

    4*x^2+12*x*y+9*y^2+2*x+3*y

    {{x = -3*_Z1, y = 2*_Z1}, {x = -2-3*_Z1, y = 1+2*_Z1}}

    4*x^2+12*x*y+9*y^2

    {{x = -3*_Z1, y = 2*_Z1}}

    x*y-3*x-2*y+6

    {{x = _Z1, y = 3}}

    x^2+y^2 = 0

    {{x = 0, y = 0}}

    (The intersecting lines case above only finds one of the lines.) The transformation will consider only the case where at least one of a or c is non-zero. This misses hyperbolas with a = c and c = 0; Maple seems to handle these bilinear equations, e.g.,

    bl_params := {a = 0, b = 2, c = 0, d = 1, e = 1, f = 2}; P__bl := eval(P, bl_params); {isolve(P__bl)}

    {a = 0, b = 2, c = 0, d = 1, e = 1, f = 2}

    2*x*y+x+y+2

    {{x = -2, y = 0}, {x = -1, y = 1}, {x = 0, y = -2}, {x = 1, y = -1}}

    Transformation for non-zero discriminant
    At least one of a or c must be non-zero; if necessary exchange x and y to ensure a is non-zero.

    We multiply P by -4*a*(-4*a*c+b^2) and change to new variables X and Y.

    itr := {X = (-4*a*c+b^2)*y+b*d-2*a*e, Y = 2*a*x+b*y+d}; tr := solve(itr, {x, y})

    {X = (-4*a*c+b^2)*y+b*d-2*a*e, Y = 2*a*x+b*y+d}

    {x = (1/2)*(4*Y*a*c-Y*b^2+2*a*b*e-4*a*c*d+X*b)/((4*a*c-b^2)*a), y = -(2*a*e-b*d+X)/(4*a*c-b^2)}

    The transformed equation has the form -D*Y^2+X^2-m = 0 or -D*Y^2+X^2 = m, where D is the discriminant.

    Q := collect(normal(eval(-4*P*a*(-4*a*c+b^2), tr)), {X, Y}); m := -coeff(coeff(Q, X, 0), Y, 0)

    X^2+(4*a*c-b^2)*Y^2+16*a^2*c*f-4*a^2*e^2-4*a*b^2*f+4*a*b*d*e-4*a*c*d^2

    -16*a^2*c*f+4*a^2*e^2+4*a*b^2*f-4*a*b*d*e+4*a*c*d^2

    For positive discriminant D, this is a general Pell's equation, -D*Y^2+X^2 = m, which Maple knows how to solve. (The definition of Pell's equation requires that D is not a square, but Maple can also solve the simpler case where D is a square.) For the hyperbola above, we have an infinite number of solutions, parameterized by an arbitrary integer _Z1.

    Q__h := eval(Q, h_params); solXY__h := {isolve(Q__h)}

    X^2-8*Y^2+448

    {{X = -12*(1+2^(1/2))^(1+2*_Z1)-12*(1-2^(1/2))^(1+2*_Z1)-4*2^(1/2)*((1+2^(1/2))^(1+2*_Z1)-(1-2^(1/2))^(1+2*_Z1)), Y = -3*2^(1/2)*((1+2^(1/2))^(1+2*_Z1)-(1-2^(1/2))^(1+2*_Z1))-2*(1+2^(1/2))^(1+2*_Z1)-2*(1-2^(1/2))^(1+2*_Z1)}, {X = -12*(1+2^(1/2))^(1+2*_Z1)-12*(1-2^(1/2))^(1+2*_Z1)-4*2^(1/2)*((1+2^(1/2))^(1+2*_Z1)-(1-2^(1/2))^(1+2*_Z1)), Y = 3*2^(1/2)*((1+2^(1/2))^(1+2*_Z1)-(1-2^(1/2))^(1+2*_Z1))+2*(1+2^(1/2))^(1+2*_Z1)+2*(1-2^(1/2))^(1+2*_Z1)}, {X = -12*(1+2^(1/2))^(1+2*_Z1)-12*(1-2^(1/2))^(1+2*_Z1)+4*2^(1/2)*((1+2^(1/2))^(1+2*_Z1)-(1-2^(1/2))^(1+2*_Z1)), Y = -3*2^(1/2)*((1+2^(1/2))^(1+2*_Z1)-(1-2^(1/2))^(1+2*_Z1))+2*(1+2^(1/2))^(1+2*_Z1)+2*(1-2^(1/2))^(1+2*_Z1)}, {X = -12*(1+2^(1/2))^(1+2*_Z1)-12*(1-2^(1/2))^(1+2*_Z1)+4*2^(1/2)*((1+2^(1/2))^(1+2*_Z1)-(1-2^(1/2))^(1+2*_Z1)), Y = 3*2^(1/2)*((1+2^(1/2))^(1+2*_Z1)-(1-2^(1/2))^(1+2*_Z1))-2*(1+2^(1/2))^(1+2*_Z1)-2*(1-2^(1/2))^(1+2*_Z1)}, {X = 12*(1+2^(1/2))^(1+2*_Z1)+12*(1-2^(1/2))^(1+2*_Z1)-4*2^(1/2)*((1+2^(1/2))^(1+2*_Z1)-(1-2^(1/2))^(1+2*_Z1)), Y = -3*2^(1/2)*((1+2^(1/2))^(1+2*_Z1)-(1-2^(1/2))^(1+2*_Z1))+2*(1+2^(1/2))^(1+2*_Z1)+2*(1-2^(1/2))^(1+2*_Z1)}, {X = 12*(1+2^(1/2))^(1+2*_Z1)+12*(1-2^(1/2))^(1+2*_Z1)-4*2^(1/2)*((1+2^(1/2))^(1+2*_Z1)-(1-2^(1/2))^(1+2*_Z1)), Y = 3*2^(1/2)*((1+2^(1/2))^(1+2*_Z1)-(1-2^(1/2))^(1+2*_Z1))-2*(1+2^(1/2))^(1+2*_Z1)-2*(1-2^(1/2))^(1+2*_Z1)}, {X = 12*(1+2^(1/2))^(1+2*_Z1)+12*(1-2^(1/2))^(1+2*_Z1)+4*2^(1/2)*((1+2^(1/2))^(1+2*_Z1)-(1-2^(1/2))^(1+2*_Z1)), Y = -3*2^(1/2)*((1+2^(1/2))^(1+2*_Z1)-(1-2^(1/2))^(1+2*_Z1))-2*(1+2^(1/2))^(1+2*_Z1)-2*(1-2^(1/2))^(1+2*_Z1)}, {X = 12*(1+2^(1/2))^(1+2*_Z1)+12*(1-2^(1/2))^(1+2*_Z1)+4*2^(1/2)*((1+2^(1/2))^(1+2*_Z1)-(1-2^(1/2))^(1+2*_Z1)), Y = 3*2^(1/2)*((1+2^(1/2))^(1+2*_Z1)-(1-2^(1/2))^(1+2*_Z1))+2*(1+2^(1/2))^(1+2*_Z1)+2*(1-2^(1/2))^(1+2*_Z1)}}

    Transforming back to the original coordinates

    sol__h := {seq(eval(eval(tr, h_params), solXY), `in`(solXY, solXY__h))}

    {{x = -2*(1+2^(1/2))^(1+2*_Z1)-2*(1-2^(1/2))^(1+2*_Z1)-(5/4)*2^(1/2)*((1+2^(1/2))^(1+2*_Z1)-(1-2^(1/2))^(1+2*_Z1)), y = (3/2)*(1+2^(1/2))^(1+2*_Z1)+(3/2)*(1-2^(1/2))^(1+2*_Z1)+(1/2)*2^(1/2)*((1+2^(1/2))^(1+2*_Z1)-(1-2^(1/2))^(1+2*_Z1))}, {x = -2*(1+2^(1/2))^(1+2*_Z1)-2*(1-2^(1/2))^(1+2*_Z1)+(5/4)*2^(1/2)*((1+2^(1/2))^(1+2*_Z1)-(1-2^(1/2))^(1+2*_Z1)), y = (3/2)*(1+2^(1/2))^(1+2*_Z1)+(3/2)*(1-2^(1/2))^(1+2*_Z1)-(1/2)*2^(1/2)*((1+2^(1/2))^(1+2*_Z1)-(1-2^(1/2))^(1+2*_Z1))}, {x = -(1+2^(1/2))^(1+2*_Z1)-(1-2^(1/2))^(1+2*_Z1)-(1/4)*2^(1/2)*((1+2^(1/2))^(1+2*_Z1)-(1-2^(1/2))^(1+2*_Z1)), y = (3/2)*(1+2^(1/2))^(1+2*_Z1)+(3/2)*(1-2^(1/2))^(1+2*_Z1)-(1/2)*2^(1/2)*((1+2^(1/2))^(1+2*_Z1)-(1-2^(1/2))^(1+2*_Z1))}, {x = -(1+2^(1/2))^(1+2*_Z1)-(1-2^(1/2))^(1+2*_Z1)+(1/4)*2^(1/2)*((1+2^(1/2))^(1+2*_Z1)-(1-2^(1/2))^(1+2*_Z1)), y = (3/2)*(1+2^(1/2))^(1+2*_Z1)+(3/2)*(1-2^(1/2))^(1+2*_Z1)+(1/2)*2^(1/2)*((1+2^(1/2))^(1+2*_Z1)-(1-2^(1/2))^(1+2*_Z1))}, {x = (1+2^(1/2))^(1+2*_Z1)+(1-2^(1/2))^(1+2*_Z1)-(1/4)*2^(1/2)*((1+2^(1/2))^(1+2*_Z1)-(1-2^(1/2))^(1+2*_Z1)), y = -(3/2)*(1+2^(1/2))^(1+2*_Z1)-(3/2)*(1-2^(1/2))^(1+2*_Z1)-(1/2)*2^(1/2)*((1+2^(1/2))^(1+2*_Z1)-(1-2^(1/2))^(1+2*_Z1))}, {x = (1+2^(1/2))^(1+2*_Z1)+(1-2^(1/2))^(1+2*_Z1)+(1/4)*2^(1/2)*((1+2^(1/2))^(1+2*_Z1)-(1-2^(1/2))^(1+2*_Z1)), y = -(3/2)*(1+2^(1/2))^(1+2*_Z1)-(3/2)*(1-2^(1/2))^(1+2*_Z1)+(1/2)*2^(1/2)*((1+2^(1/2))^(1+2*_Z1)-(1-2^(1/2))^(1+2*_Z1))}, {x = 2*(1+2^(1/2))^(1+2*_Z1)+2*(1-2^(1/2))^(1+2*_Z1)-(5/4)*2^(1/2)*((1+2^(1/2))^(1+2*_Z1)-(1-2^(1/2))^(1+2*_Z1)), y = -(3/2)*(1+2^(1/2))^(1+2*_Z1)-(3/2)*(1-2^(1/2))^(1+2*_Z1)+(1/2)*2^(1/2)*((1+2^(1/2))^(1+2*_Z1)-(1-2^(1/2))^(1+2*_Z1))}, {x = 2*(1+2^(1/2))^(1+2*_Z1)+2*(1-2^(1/2))^(1+2*_Z1)+(5/4)*2^(1/2)*((1+2^(1/2))^(1+2*_Z1)-(1-2^(1/2))^(1+2*_Z1)), y = -(3/2)*(1+2^(1/2))^(1+2*_Z1)-(3/2)*(1-2^(1/2))^(1+2*_Z1)-(1/2)*2^(1/2)*((1+2^(1/2))^(1+2*_Z1)-(1-2^(1/2))^(1+2*_Z1))}}

    Evaluate for some _Z1 values, say _Z1=0 and _Z1=5.
    It is evident from tr above that integer solutions in X, Y may transform to non-integer solutions in x, y but that doesn't occur for these two cases

    sol__h0 := evala(eval(sol__h, _Z1 = 0)); sol__h5 := evala(eval(sol__h, _Z1 = 5))

    {{x = -9, y = 5}, {x = -3, y = 1}, {x = -1, y = -1}, {x = -1, y = 5}, {x = 1, y = -5}, {x = 1, y = 1}, {x = 3, y = -1}, {x = 9, y = -5}}

    {{x = -61181, y = 35839}, {x = -21979, y = 12875}, {x = -10497, y = 35839}, {x = -3771, y = 12875}, {x = 3771, y = -12875}, {x = 10497, y = -35839}, {x = 21979, y = -12875}, {x = 61181, y = -35839}}

    Check they are solutions to P__h

    map2(eval, P__h, `union`(sol__h0, sol__h5))

    {0}

    For negative discriminant and negative m, the equation -D*Y^2+X^2 = m has no solutions. In the classification scheme for the conics, the "imaginary ellipse" case (no real solutions) occurs when (a+c)*delta > 0. For negative discriminant, we must have a and c the same sign, and this is the case of negative m.

    factor(expand((16*(a+c))*delta)); factor(-m)

    4*(a+c)*(4*a*c*f-a*e^2-b^2*f+b*d*e-c*d^2)

    4*a*(4*a*c*f-a*e^2-b^2*f+b*d*e-c*d^2)

    . In this case Maple returns NULL for both the untransformed and transformed case, which can mean no solutions or just that isolve couldn't find any.

    ie_params := {a = 3, b = 0, c = 5, d = 0, e = 0, f = 8}; P__ie := eval(P, ie_params); {isolve(P__ie)}; Q__ie := eval(Q, ie_params); {isolve(Q__ie)}

    {a = 3, b = 0, c = 5, d = 0, e = 0, f = 8}

    3*x^2+5*y^2+8

    {}

    X^2+60*Y^2+5760

    {}

    For negative discriminant and positive m or (a+c)*delta < 0, the ellipse is real, and there are a finite number of solutions. Maple solves the untransformed and transformed equations.
    Here we need to filter out non-integer solutions

    P__e; {isolve(P__e)}; Q__e := eval(Q, e_params); solXY__e := {isolve(Q__e)}; {seq(eval(eval(tr, e_params), solXY), `in`(solXY, solXY__e))}; sol__e := select(proc (q) options operator, arrow; eval(x::integer, q) and eval(y::integer, q) end proc, %)

    2*x^2+4*x*y+3*y^2+x+2*y-7

    {{x = -3, y = 2}, {x = 2, y = -3}}

    X^2+8*Y^2-472

    {{X = -20, Y = -3}, {X = -20, Y = 3}, {X = 20, Y = -3}, {X = 20, Y = 3}}

    {{x = -3, y = 2}, {x = 2, y = -3}, {x = -3/2, y = 2}, {x = 7/2, y = -3}}

    {{x = -3, y = 2}, {x = 2, y = -3}}

    Transformation for zero discriminant
    For the case of zero discriminant (parabola), we need a different transformation.

    itr0 := {X = 2*a*x+b*y+d, Y = y}; tr0 := solve(itr0, {x, y})

    {X = 2*a*x+b*y+d, Y = y}

    {x = (1/2)*(-Y*b+X-d)/a, y = Y}

    The transformed equation is of the form A*Y+X^2+B = 0

    Q0 := collect(normal(eval(4*a*P, tr0)), {X, Y})

    X^2+(4*a*c-b^2)*Y^2+(4*a*e-2*b*d)*Y+4*f*a-d^2

    We consider the parabolic example above, for which Maple finds no solutions without transformation.

    P__p; {isolve(P__p)}

    2*x^2+4*x*y+2*y^2+x+2*y+7

    {}

    For the transformed problem, Maple finds an infinite number of solutions

    Q__p := eval(Q0, p_params); solXY__p := {isolve(Q__p)}; sol__p := {seq(eval(eval(tr0, p_params), solXY), `in`(solXY, solXY__p))}

    X^2+8*Y+55

    {{X = 1+8*_Z1, Y = -8*_Z1^2-2*_Z1-7}, {X = 3+8*_Z1, Y = -8*_Z1^2-6*_Z1-8}, {X = 5+8*_Z1, Y = -8*_Z1^2-10*_Z1-10}, {X = 7+8*_Z1, Y = -8*_Z1^2-14*_Z1-13}}

    {{x = 17/2+8*_Z1+8*_Z1^2, y = -8*_Z1^2-6*_Z1-8}, {x = 29/2+16*_Z1+8*_Z1^2, y = -8*_Z1^2-14*_Z1-13}, {x = 8*_Z1^2+4*_Z1+7, y = -8*_Z1^2-2*_Z1-7}, {x = 8*_Z1^2+12*_Z1+11, y = -8*_Z1^2-10*_Z1-10}}

    Two of the general solutions will not give integer solutions, so could be filtered out, but it is easier to filter after choosing some specific _Z1 values.

    eval(sol__p, _Z1 = 0); sol__p0 := select(proc (q) options operator, arrow; eval(x::integer, q) and eval(y::integer, q) end proc, %); eval(sol__p, _Z1 = 5); sol__p5 := select(proc (q) options operator, arrow; eval(x::integer, q) and eval(y::integer, q) end proc, %)

    {{x = 7, y = -7}, {x = 11, y = -10}, {x = 17/2, y = -8}, {x = 29/2, y = -13}}

    {{x = 7, y = -7}, {x = 11, y = -10}}

    {{x = 227, y = -217}, {x = 271, y = -260}, {x = 497/2, y = -238}, {x = 589/2, y = -283}}

    {{x = 227, y = -217}, {x = 271, y = -260}}

    Check they are solutions to P__p

    map2(eval, P__p, `union`(sol__p0, sol__p5))

    {0}

    NULL

    Download DiophantineConics2.mw

    There is still time to register for Maple Conference 2025, which takes place November 5-7, 2025.

    The free registration includes access to three full days of presentations from Maplesoft product directors and developers, two distinguished keynote speakers, contributed talks by Maple users, and opportunities to network with fellow users, researchers, and Maplesoft staff.

    The final day of the conference will feature three in-depth workshops presented by the R&D team. You'll get hands-on experience with creating professional documents in Maple, learn how to solve various differential equations more effectively using Maple's numerical solvers, and explore the power of the Maple programming language while solving interesting puzzles.

    Access to the workshops is included with the free conference registration.

    We hope to see you there!

    Kaska Kowalska
    Contributed Program Co-chair

    It's possible to carve a hole through a unit cube, without splitting it into pieces, so that another unit cube can pass through that hole.  This is know as the Prince Rupert problem and was first analyzed by John Wallis, a contemporary of Isaac Newton.  Here's what the result looks like:

    If your computer can play audio, have a look at  Ruperts Cube with music!

    Here is the worksheet that produced the cube and the animation: ruperts-cube.mw

    Hi again everybody,

    Made some easy Maple code to find some special prime numbers.

    Namely, positive prmie numbers p 
    such that p, p+2, and p+6 are all prime numbers

    see prime_triples_p_p_and_2__p_and_6.mw

    prime_triples_p_p_and_2__p_and_6.pdf

    for your viewing pleasure

    Have a good day.

    Matthew

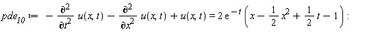
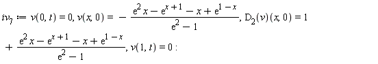
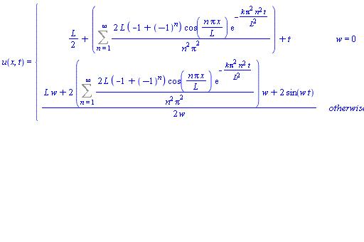
    The concept of an ode that has a function + integration variable as its solution is similar to that of a pde.

    A pde (with two variables as example here) that has a function as its solution + function integration variableIn ode, the shape of the solution curve is determined by the integration variable, and in a pde, the shape of the solution surface is determined by the function integration variable.

    "maple.ini in user"

    (1)

    NULL

     

     

    restart; with(plots); PlotPDEsurface := proc (Ct::procedure) local u_expr, FunsT; u_expr := rhs(pdsolve(diff(u(x, t), x) = 2*x+3*t)); FunsT := select(proc (u) options operator, arrow; type(u, 'function') and has(u, t) and not has(u, x) end proc, indets(u_expr, 'function')); if 0 < nops(FunsT) then u_expr := subs(FunsT[1] = Ct(t), u_expr) end if; return plot3d(u_expr, x = -2 .. 2, t = -2 .. 2, axes = boxed, grid = [60, 60], color = gold, transparency = .2, labels = ["x", "t", "u(x,t)"], title = "Solution surface u(x,t)") end proc

    "maple.ini in user"

    (1.1)

    PlotPDEsurface(proc (t) options operator, arrow; 0 end proc)

     

    PlotPDEsurface(proc (t) options operator, arrow; sin(t) end proc)

     

    restart; with(PDEtools); eq := diff(u(x, t), x) = 2*x+3*t; bc := u(0, t) = sin(t); sol := pdsolve({bc, eq}); Output; u(x, t) = 3*tx+x^2+sin(t)

    "maple.ini in user"

     

    u(x, t) = 3*t*x+x^2+sin(t)

     

    u(x, t) = 3*tx+x^2+sin(t)

    (1.2)

    restart; with(plots); u_expr := rhs(pdsolve(diff(u(x, t), x) = 2*x+3*t)); Cforms := [proc (t) options operator, arrow; 0 end proc, proc (t) options operator, arrow; t^2 end proc, proc (t) options operator, arrow; exp(-t^2) end proc, proc (t) options operator, arrow; sin(t)+3*cos(t) end proc]; Colors := [gold, blue, green, red]; Titles := ["C(t)=0", "C(t)=t^2", "C(t)=exp(-t^2)", "C(t)=sin(t)+3cos(t)"]; plots_list := []; for i to nops(Cforms) do expr_i := subs(f__1(t) = Cforms[i](t), u_expr); surf := plot3d(expr_i, x = -2 .. 2, t = -2 .. 2, color = Colors[i], transparency = .25, grid = [50, 50], axes = boxed, labels = ["x", "t", "u(x,t)"], title = Titles[i]); plots_list := [op(plots_list), surf] end do; display(plots_list, title = "Comparison of different C(t) forms", orientation = [120, 45])

    "maple.ini in user"

     

     
     

    NULL

    Download intergatie_functie_variabele_pde_onderzoek-engesle_versie.mw

    Imagine standing 365 metres above Toronto on the CN Tower’s EdgeWalk and throwing a baseball. Could you actually land it on third base at Rogers Centre, about 263 metres away?

    Sportsnet raised this question, and we decided to put it to the test in Maple Learn, check out this document to see the answer.


     

     

    Also take a look at the Sportsnet video on the problem, to see why the answer may not be obvious.

    In the Maple Learn document, you can adjust the initial speed and angle at which to throw the ball and then visualize its trajectory (without having to throw as hard as Addison Barger).

     

    I was surprised that even in the simplified projectile motion model, that neglects air resistance, AND assuming I could throw at 60mph (a questionable assumption to say the least) I wouldn’t be able to hit the base myself.

    I then used Maple to build a more realistic model that would account for air resistance. The equations below model the position of the ball, where y(0) = h0 is the initial height of 365m and v0 is the initial speed.

     

    local h0, m, d, rho, g:
    	h0 := 365:
    	m := 0.145:
    	d := 0.072:
    	rho := 1.225:
    	g := 9.81:
    
    	local eqns, ics:
    	eqns := diff(x(t),t) = u(t), 
    		    diff(y(t), t) = v(t), 
    		    diff(u(t), t)= -Pi/16 * d^2 * rho/m * sqrt(u(t)^2 + v(t)^2) * u(t), 
    		    diff(v(t), t)= - g - Pi/16 * d^2 * rho/m * sqrt(u(t)^2 + v(t)^2) * v(t):
    	ics := x(0) = 0, y(0)=h0, u(0) = v_initial*cos(theta_initial), v(0) = v_initial * sin(theta_initial):
    
    	local ans, xpos, ypos:
    	ans := dsolve([eqns, ics], numeric, output=listprocedure):
    	xpos := subs(ans, x(t));
    	ypos := subs(ans, y(t));

     

    In the Maple Learn document, you can visualize the difference between the models by comparing the trajectories. The trajectory from the simple model is shown in blue, and the trajectory after accounting for air resistance is modelled in red.

     

     

     

    Accounting for air resistance, I’m no longer convinced even Addison Barger could accomplish this challenge.

    Check out the Maple Learn document to try for yourself!

     

    The full program for Maple Conference 2025 is now available. 

    The agenda includes two full days of keynote speakers, presentations from Maplesoft product directors and developers, and contributed talks by Maple users all around the world. There will be opportunities to network with fellow users, researchers, and Maplesoft staff.

    The final day of the conference will include three in-depth workshops presented by the R&D team.
    The workshops will explore how to:

    • Create papers and reports in Maple
    • Solve various differential equations more effectively using Maple's numerical solvers
    • Solve Advent of Code challenges using Maple

    Access to the workshops is included with the free conference registration.

    We hope to see you there!

    Kaska Kowalska
    Program Co-chair

    This post presents a work I did to answer this recent question by @AHSAN.

    I believe that the two procedures I developed could be of interest to Mapleprimes members. Here they are in their most recent forms. However, I think they can still be improved and completed, and I am open to your suggestions for developing them further in this direction.

    BarGraph_2_Categories.mw
    Illustration


    BarGraph_3_Categories.mw
    Illustration

     

    In addition to the discussion on the desirability of having % available as a unit, I have a need to develop quantities that numerically have a unit of 1, such as per unit (pu), with pu:=1, and 1 pu = 100%. It is straightforward to define custom unit pu. However, the problem is that I end up getting numbers such as 16.60% pu (see below, should be one unit or the other, pu or %, not both):

     

    Curiously, if I click on the pu designation at variable X__dppv , Maple Flow removes the pu duplication and somehow knows that % is the intended unit:

    Percent_Ex.zip

    For a document that extensively uses per unit and % quantities, it is a lot of extra work to have to evaluate the decimal quantities first, then changing to % in the context menu, and then manually correcting all of the display issues with % and pu conflicts. Maple Flow does not seem to "remember" the result of the manual unit selection described above between file editing sessions. It also does not remember several other things related to formatting, container placement and spacing, column vectors not retaining a manually adjusted width, and section layout, but those are different issues. 

    I have noticed other examples of not remembering the correct units. For example, I have calculations where Maple Flow automatically returned a unit of 1/S in an initial calculation evaluation and I changed this in the context menu to ohms. Similar to the above discussion, upon re-opening the file, 1/S units appear. I cannot get that issue to consistently repeat, so it is not in the example Maple Flow document attached to this post, but the end result is the same - lots of re-formatting of the document from editing session to editing session.

    It would be nice if Maple Flow could recognize units that are numerically 1 so that they can be defined for display/documentation, added as necessary, but the result computed such that it is multiplication by 1 with no extra unit added. For example, enter 0.166 pu such that it evaluates to 0.166, with the option of then displaying as a percentage or re-displaying as per unit using the context menu. It would also be nice if Maple Flow could consistently remember the last retained unit used in an editing session as well as all document formatting. 

    Thanks

    Just wanted to share test results of installation of my library.

    • Maple 2024: 1'42"
    • Maple 2025.1: 5"

    That is 20x faster, I am impressed.

    When we think about AI, most of us picture tools like ChatGPT or Gemini. However, the reality is that AI is already built into the tools we use every day, even something as familiar as a web search. And if AI is everywhere, then so are its mistakes.

    A Surprising Answer from Google

    Recently, I was talking with my colleague Paulina, Senior Architect at Maplesoft, who also manages the team that creates all the Maple Learn content. We were talking about Google’s AI Overview, and I said I liked it because it usually seemed accurate. She disagreed, saying she’d found plenty of errors. Naturally, I asked for an example.

    Her suggestion was simple: search “is x + y a polynomial.”

    So I did. Here’s what Google’s AI Overview told me:

    “No, x + y is not a polynomial”

    My reaction? HUH?!

    The explanation correctly defined what a polynomial is but still failed to recognize that both x and y each have an implicit exponent of 1. The logic was there, but the conclusion was wrong.

    Using It in the Classroom

    This makes a great classroom example because it’s quick and engaging. Ask your students first whether x + y is a polynomial, then show them the AI result. The surprise sparks discussion: why does the explanation sound right but end with the wrong conclusion?

    In just a few minutes, you’ve not only reviewed a basic concept but also reinforced the habit of questioning answers even when they look authoritative.

    Why This Matters

    As I said in a previous post, the real issue isn’t the math slip, it’s the habit of accepting answers without questioning them. It’s our responsibility to teach students how to use these tools responsibly, especially as AI use continues to grow. Critical thinking has always mattered, and now it’s essential.

     

    I must thank @Scot Gould for having asked this question more than a year ago and thus, without meaning to, having been the driving force behind this post.

    There is an enormous literature about Monte-Carlo integration (MCI for short) and you might legitimately ask "Why another one?".

    A personal experience.
    Maybe if I tell you about my experience you will better understand why I believe that something is missing in the traditional courses and textbooks, even the most renowned ones.

    For several years, I led training seminars in statistics for engineers working in the field of numerical simulation.

    At some point I always came to speak about MCI and (as anyone does today) I introduced the subject by presenting the estimation of the area of a disk by randomly picking points in its circumscribed square and assessing its area from the proportion of points it contained.



    Once done I switched (still as anybody does) to the Monte-Carlo summation formula (see Wikipedia for instance).

    One day an attendee asked me this question "Why do you say that this [1D] summation formula is the same thing that the [2D] counting of points in the [circle within a box] example you have just presented?"

    I have to say I was surprised by this question for it seemed to me quite evident that these two ways of assessing the area were nothing but two different points of view of, roughly, the same thing.

    So I gave a quick, mostly informal, explanation (that I am not proud of) and, because the clock was running, I kept teaching the class.

    But this question really puzzled me and I thought for a simple but rigourous way to prove these two approaches were (were they?) equivalent, at least in some reasonable sense.

    The thing is that trying to derive simple explanations based on couting is not enough, and that you have to resort to certain probabilistic arguments to get out of it. Indeed, sticking to the counting approach leads to the more reasonable position that these two approaches are not equivalent.

    The end of the story is that I spent more time on these two approaches of MCI during the trainings that followed.

    Saying that, yes, the summation formula seems to be the reference today, but that the old counting strategy still has some advantages and can even gives access to information that the summation formula cannot.

    About this post.
    This post focuses mainly on what I call the Historical viewpoint (counting points), and is aimed, in its first part, to answer the question "Is this point of view equivalent or not to the Modern (summation formula) one?" (And if it is, in what sense is it so?).

    Let me illustrate this with the example @Scot Gould  presented in its question. The brown bold curve on the left figure is the graph of the function  func(x) (whose expression has no interest here) and the brown area represents the area we want to assess using MCI.

    In the Historical approach I picked unifomly at random N=100 points within the gray box (of area 2.42), found 26 of them were in the brown region and said the area of this latter is 2.42 x 26/100 = 0.6292. The Modern approach consists in picking uniformly N random points in the range x= [0.8, 3],  and using the blue formula to get an estimation of this same area ((Lbox is the x-length of the gray box, here equal to 2.2).

    The quesion is: Am I assessing the same thing when I apply either method? And, perhaps more importantly, do my estimators have the same properties?


    And here apppears a first problem:

    • Whatever the number of times you repeat the Historical sampling method, even with different points, you will always get a number of points in the brown region between 0 and N included, meaning that if S is the area of the gray box, the estimation of the brown area is always one of these numbers {0, S/N, 2.S/N, ..., S}.
    • At the opposite repetitions of the Modern approach will lead to a continuum of values for this brown area.
    • So, saying the two approaches might be equivalent simply means that a discrete set is equivalent to a non countable one.

    If we remain at the elementary counting level, Historical and Modern viewpoints then are not equivalent.

    Towards a probabilistic model of the Historical Process:
    This goes against everything you may have heard or read: so, are the authors of these statements all wrong?

    Yes, from a strict Historical point of view, but happily not if we interpret the Historical approach in a more loose and probabilistic manner (although this still needs to be considered carefully as it is shown in the main worksheet).

    This probabilistic manner relies upon a probabilistic model of the Historical process, where the event "K points out of N belong to the brown area" is to be interpreted as the realization of a very special random variable named Poisson-Binomial (do not worry if you never heard about it: a lot of statisticians did not neither).

    In a few words, whereas a Binomial random variable is the sum of several independent and identically distributed Bernoulli random variables, a Poisson-Binomial random variable is the sum of several independent but not necessarily identically distributed Bernoulli random variables. Thus the Poisson-Binomial distribution generalizes the Binomial one.

    Using the properties of Poisson-Binomial random variables we must prove in a rigorous way that the expectations of the area estimators for both the Historical and Modern approaches are identical.

    So, given this "trick" the two methods are thus equivalent, are they not? And that settles it.

    In fact, no, the matter of equivalence still remains.

    When uncertainty enters the picture.
    Generally one cannot satisfy ourselves with the sole estimation of the area and we would like to have information about the reliability of this estimation. For instance if I find this value is 0.6292, am I ready to bet my salary that I am right? Of course not, unless I am insane, but the things would change if I were capable of saying for instance that "I am 95% sure that the true value of the area is between 0.6 and 0.67".

    For the Historical vewpoint the Poisson-Binomial model makes possible to assess an uncertainty (not the uncertainty!) of the area estimation. But things are subtle, because there are different ways to compute an uncertainty:

    • At the elementary level the height of the gray box is an essential parameter, but it does not necessarily gives a good estimation of this uncertainty (one can easily reduced this latter arbitrarily close to 0!).
    • To get reliable uncertainty estimation the call to a probability theory related to Extreme Value Theory (EVT for short) necessary (all of this is explained in the attached worksheet).


    For the Modern point of view it is enough to observe that there is no concept of "box height" and that it is then impossible to assess any uncertainty. Question: "If it is so, how can (all the) MCI procedures return an uncertainty value?"
    The answer is simple: they consider a virtual encapsulating box whose eight is the maximum of the 
    func(xi). This trick enables providing an uncertainty, but this is a non-conservative estimation (an over-optimistic one if you prefer, in other terms an estimation we must regard very carefully).

    So, at the end Historical and Modern approaches are equivalent only if we restrict to the estimation of the area, but no longer as soon as we are interested in the quality of this estimation.

    What does the attached file contain?
    The attached file speaks a lot to the estimation of the estimator uncertainty.
    The core theory is named (Right) EndPoint Theory (I found nothing on Wikipedia nor any easy-to-read papers about this theory, so I more or less arbitrarilly decided to refer to this one). Basically it enables assessing the (usually right) end-point of a distribution known only through (right) censored data.
    The simplest example is those of a New York pedestrian who looks to the taxi numbers and asks himself how to assess the highest number a taxi has. Here we know this number exists (meaning that some related distribution is bounded), but the situation can be more complex if one does not ever know if this distribution is bounded or not (in which cas one seeks for a right end-point whose probability to be overpassed is less than some small value).
    A conservative, and thus reliable, uncertainty on the area estimator  can only be derived in the framework of the end-point theory.

    Once the basis of this theory are understood it becomes relatively simple to enhance the Historical approach to get estimators with lessen uncertainties.
    I present different ways to do this: one (even if derived otherwise) is named Importance Sampling, and the other leads in a straightforward way to algorithms which are quite close to some used in the CUBA library (partially accessible through evalf/Int).

    The last important, if not fundamental, concept discussed in this article concerns the distinction between dispersion interval and confidence interval, concepts that are unfortunately not properly distinguished due to the imprecision of the English language (I apologize to native English speakers for these somewhat harsh words, but this is the reality here).

    Some references are provided in attached (main) worksheet, but please, if you don't want to end up even more confused than you were before, avoid Wikipedia.

    To sum up.
    This note is a non-orthodox presentation of MCI centered arround the Historical viewpoint which, I am convinced of that, deserves a little more attention than the disk-in-the-square picture commonly displayed in MCI courses and textbooks.
    An I am even more convinced of that then this old-fashion (antiquated?) approach is an open door to some high level probability theories such than the EndPoint and the EVT one.

    Of course this post is not an advocacy agaist the Modern approach, and does not mean that you have to ignore classical texts or that the Law of Large Numbers (LLN) or the Central limit theorms are useless stuff in MCI.

    Maple, but not just Maple.
    A part of the attached worksheet is devoted base presents results I got with R  (a programming language for statistical computing and data visualization), simply because Maple 2015 (and it is still true for Maple 2025) did not contain the functions I needed.

    For instance R implements the Cuba library in a far more complete way than Maple (I give a critical discussion about the way Maple does it), enabling for instance the change of the random seed.

    Main worksheet (I apologize in advance for typos that could remain in the texts)
    A_note_on_Monte-Carlo_Integration.mw

    The main worksheet refers to this one
    How_does_the_variance_of_f_impact_the_estimator_dispersion.mw

    Extra worksheet: An introduction to Importance Sampling
    Importance_Sampling.mw

    1 2 3 4 5 6 7 Last Page 1 of 307