Imagine standing 365 metres above Toronto on the CN Tower’s EdgeWalk and throwing a baseball. Could you actually land it on third base at Rogers Centre, about 263 metres away?

Sportsnet raised this question, and we decided to put it to the test in Maple Learn, check out this document to see the answer.


 

 

Also take a look at the Sportsnet video on the problem, to see why the answer may not be obvious.

In the Maple Learn document, you can adjust the initial speed and angle at which to throw the ball and then visualize its trajectory (without having to throw as hard as Addison Barger).

 

I was surprised that even in the simplified projectile motion model, that neglects air resistance, AND assuming I could throw at 60mph (a questionable assumption to say the least) I wouldn’t be able to hit the base myself.

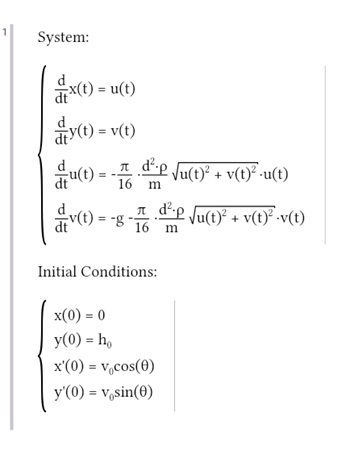
I then used Maple to build a more realistic model that would account for air resistance. The equations below model the position of the ball, where y(0) = h0 is the initial height of 365m and v0 is the initial speed.

 

local h0, m, d, rho, g:
	h0 := 365:
	m := 0.145:
	d := 0.072:
	rho := 1.225:
	g := 9.81:

	local eqns, ics:
	eqns := diff(x(t),t) = u(t), 
		    diff(y(t), t) = v(t), 
		    diff(u(t), t)= -Pi/16 * d^2 * rho/m * sqrt(u(t)^2 + v(t)^2) * u(t), 
		    diff(v(t), t)= - g - Pi/16 * d^2 * rho/m * sqrt(u(t)^2 + v(t)^2) * v(t):
	ics := x(0) = 0, y(0)=h0, u(0) = v_initial*cos(theta_initial), v(0) = v_initial * sin(theta_initial):

	local ans, xpos, ypos:
	ans := dsolve([eqns, ics], numeric, output=listprocedure):
	xpos := subs(ans, x(t));
	ypos := subs(ans, y(t));

 

In the Maple Learn document, you can visualize the difference between the models by comparing the trajectories. The trajectory from the simple model is shown in blue, and the trajectory after accounting for air resistance is modelled in red.

 

 

 

Accounting for air resistance, I’m no longer convinced even Addison Barger could accomplish this challenge.

Check out the Maple Learn document to try for yourself!

 

Please Wait...