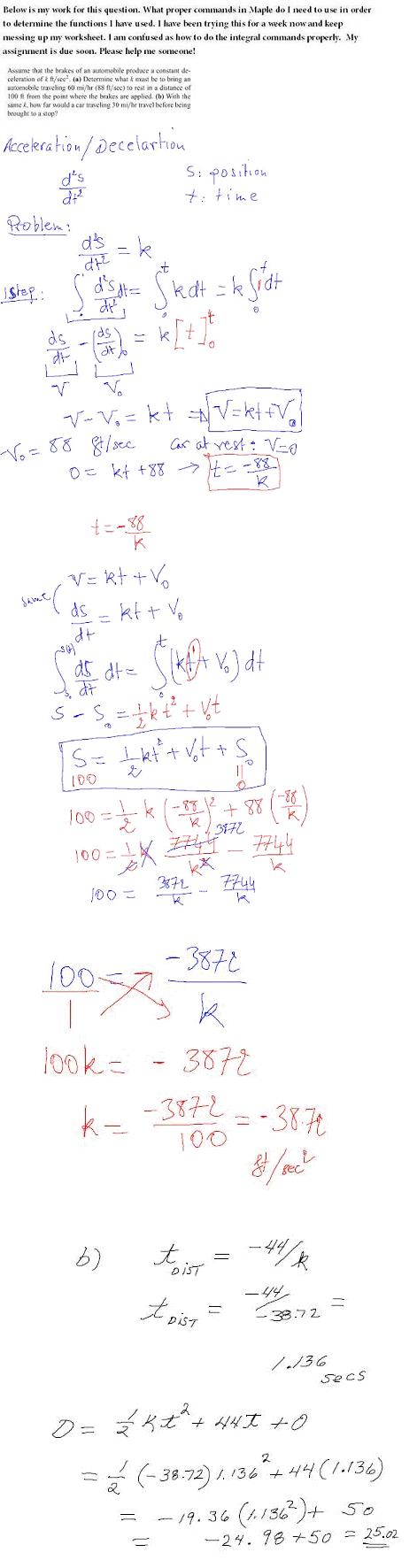
Question: Need help with Velocity and Deceleration Question please!

 


Please Wait...