These are current collections of Maple bugs before I lose track of them. I put them all in one post. Hopefully these can be fixed in Maple 2025.2. For each problem, I post separate worksheet, so there are few worksheets here.

This is all on Linux using 2025.1 and latest SupportTools and latest Physics.

1. Random crashes. This one is very strange. The crash happens randomly. You might need to try few times to see it or close the worksheet and reopen it.
 

restart;

Example . RANDOM CRASHES

 

restart;

sol:=y(t) = (-25*sin(t+arctan(sin(4)*cos(4)/(sin(4)^2-1)))^2+25)^(1/2);
ode:=diff(y(t),t) = (25-y(t)^2)^(1/2);
IC:=y(4)=-5;
odetest(sol,[ode,IC],y(t)) assuming t>1;

y(t) = (-25*sin(t+arctan(sin(4)*cos(4)/(sin(4)^2-1)))^2+25)^(1/2)

diff(y(t), t) = (25-y(t)^2)^(1/2)

y(4) = -5

[(5/2)*2^(1/2)*(-(1-sin(2*t)*sin(8)-cos(2*t)*cos(8))^(1/2)*(1+sin(2*t)*sin(8)+cos(2*t)*cos(8))^(1/2)-sin(2*t)*cos(8)+sin(8)*cos(2*t))/(1+sin(2*t)*sin(8)+cos(2*t)*cos(8))^(1/2), -10]

restart;

sol:=y(t) = (-25*sin(t+arctan(sin(4)*cos(4)/(sin(4)^2-1)))^2+25)^(1/2);
ode:=diff(y(t),t) = (25-y(t)^2)^(1/2);
IC:=y(4)=-5;
odetest(sol,[ode,IC],y(t)) assuming t>1;

y(t) = (-25*sin(t+arctan(sin(4)*cos(4)/(sin(4)^2-1)))^2+25)^(1/2)

diff(y(t), t) = (25-y(t)^2)^(1/2)

y(4) = -5

Error, (in anonymous procedure called from cos) too many levels of recursion

restart;

sol:=y(t) = (-25*sin(t+arctan(sin(4)*cos(4)/(sin(4)^2-1)))^2+25)^(1/2);
ode:=diff(y(t),t) = (25-y(t)^2)^(1/2);
IC:=y(4)=-5;
odetest(sol,[ode,IC]) assuming t>1;

y(t) = (-25*sin(t+arctan(sin(4)*cos(4)/(sin(4)^2-1)))^2+25)^(1/2)

diff(y(t), t) = (25-y(t)^2)^(1/2)

y(4) = -5

[-(5/2)*2^(1/2)*((1-sin(2*t)*sin(8)-cos(2*t)*cos(8))^(1/2)*(1+sin(2*t)*sin(8)+cos(2*t)*cos(8))^(1/2)-sin(8)*cos(2*t)+sin(2*t)*cos(8))/(1+sin(2*t)*sin(8)+cos(2*t)*cos(8))^(1/2), -10]

restart;

sol:=y(t) = (-25*sin(t+arctan(sin(4)*cos(4)/(sin(4)^2-1)))^2+25)^(1/2);
ode:=diff(y(t),t) = (25-y(t)^2)^(1/2);
IC:=y(4)=-5;
odetest(sol,[ode,IC]) assuming t>1;

y(t) = (-25*sin(t+arctan(sin(4)*cos(4)/(sin(4)^2-1)))^2+25)^(1/2)

diff(y(t), t) = (25-y(t)^2)^(1/2)

y(4) = -5

[-(5/2)*2^(1/2)*((1-sin(2*t)*sin(8)-cos(2*t)*cos(8))^(1/2)*(1+sin(2*t)*sin(8)+cos(2*t)*cos(8))^(1/2)-sin(8)*cos(2*t)+sin(2*t)*cos(8))/(1+sin(2*t)*sin(8)+cos(2*t)*cos(8))^(1/2), -10]

restart;

sol:=y(t) = (-25*sin(t+arctan(sin(4)*cos(4)/(sin(4)^2-1)))^2+25)^(1/2);
ode:=diff(y(t),t) = (25-y(t)^2)^(1/2);
IC:=y(4)=-5;
odetest(sol,[ode,IC]) assuming t>1;

y(t) = (-25*sin(t+arctan(sin(4)*cos(4)/(sin(4)^2-1)))^2+25)^(1/2)

diff(y(t), t) = (25-y(t)^2)^(1/2)

y(4) = -5

Error, (in signum) too many levels of recursion

restart;

sol:=y(t) = (-25*sin(t+arctan(sin(4)*cos(4)/(sin(4)^2-1)))^2+25)^(1/2);
ode:=diff(y(t),t) = (25-y(t)^2)^(1/2);
IC:=y(4)=-5;
odetest(sol,[ode,IC],y(t)) assuming t>1;

y(t) = (-25*sin(t+arctan(sin(4)*cos(4)/(sin(4)^2-1)))^2+25)^(1/2)

diff(y(t), t) = (25-y(t)^2)^(1/2)

y(4) = -5

Error, (in anonymous procedure called from cos) too many levels of recursion

restart

sol:=y(t) = (-25*sin(t+arctan(sin(4)*cos(4)/(sin(4)^2-1)))^2+25)^(1/2);
ode:=diff(y(t),t) = (25-y(t)^2)^(1/2);
IC:=y(4)=-5;
odetest(sol,[ode,IC],y(t)) assuming t>1;

y(t) = (-25*sin(t+arctan(sin(4)*cos(4)/(sin(4)^2-1)))^2+25)^(1/2)

diff(y(t), t) = (25-y(t)^2)^(1/2)

y(4) = -5

[(5/2)*2^(1/2)*(-(1-sin(2*t)*sin(8)-cos(2*t)*cos(8))^(1/2)*(1+sin(2*t)*sin(8)+cos(2*t)*cos(8))^(1/2)+sin(8)*cos(2*t)-sin(2*t)*cos(8))/(1+sin(2*t)*sin(8)+cos(2*t)*cos(8))^(1/2), -10]

restart;

sol:=y(t) = (-25*sin(t+arctan(sin(4)*cos(4)/(sin(4)^2-1)))^2+25)^(1/2);
ode:=diff(y(t),t) = (25-y(t)^2)^(1/2);
IC:=y(4)=-5;
odetest(sol,[ode,IC],y(t)) assuming t>1;

y(t) = (-25*sin(t+arctan(sin(4)*cos(4)/(sin(4)^2-1)))^2+25)^(1/2)

diff(y(t), t) = (25-y(t)^2)^(1/2)

y(4) = -5

[-(5/2)*2^(1/2)*((1-sin(2*t)*sin(8)-cos(2*t)*cos(8))^(1/2)*(1+sin(2*t)*sin(8)+cos(2*t)*cos(8))^(1/2)+sin(2*t)*cos(8)-sin(8)*cos(2*t))/(1+sin(2*t)*sin(8)+cos(2*t)*cos(8))^(1/2), -10]

restart;

sol:=y(t) = (-25*sin(t+arctan(sin(4)*cos(4)/(sin(4)^2-1)))^2+25)^(1/2);
ode:=diff(y(t),t) = (25-y(t)^2)^(1/2);
IC:=y(4)=-5;
odetest(sol,[ode,IC]) assuming t>1;

y(t) = (-25*sin(t+arctan(sin(4)*cos(4)/(sin(4)^2-1)))^2+25)^(1/2)

diff(y(t), t) = (25-y(t)^2)^(1/2)

y(4) = -5

[-(5/2)*2^(1/2)*((1-sin(2*t)*sin(8)-cos(2*t)*cos(8))^(1/2)*(1+sin(2*t)*sin(8)+cos(2*t)*cos(8))^(1/2)+sin(2*t)*cos(8)-sin(8)*cos(2*t))/(1+sin(2*t)*sin(8)+cos(2*t)*cos(8))^(1/2), -10]

 

 

 

 

Download random_crashes_sept_8_2025.mw

 

2. collection of bugs from solve(identity) (another one related to solve(identity at end)

interface(version);

`Standard Worksheet Interface, Maple 2025.1, Linux, June 12 2025 Build ID 1932578`

SupportTools:-Version();

`The Customer Support Updates version in the MapleCloud is 29 and is the same as the version installed in this computer, created June 23, 2025, 10:25 hours Eastern Time.`

Physics:-Version();

`The "Physics Updates" version in the MapleCloud is 1877 and is the same as the version installed in this computer, created 2025, July 11, 19:24 hours Pacific Time.`

 

Example 1

 

restart;

eq:=1/8*A^2*exp(2*theta*(B+I))+1/8*exp(2*theta*(B-I))*A^2-1/4*A^2*exp(2*B*theta)-1/4*exp(theta*(B-2*I))*A*B-1/4*exp(theta*(B+2*I))*A*B+1/2*A*B*exp(B*theta)+1/4*exp(theta*(B-2*I))*A*C+1/4*exp(theta*(B+2*I))*A*C-1/2*A*C*exp(B*theta)-1/4*I*exp(theta*(B-2*I))*A+1/4*I*exp(theta*(B+2*I))*A+1/4*C^2*cos(2*theta)-1/4*C^2-1/2*C*sin(2*theta)-1/2*cos(2*theta)-1=0:
the_vars:=[A, B, C]:
solve(identity(eq,theta),the_vars);

Error, (in gcd/doit) too many levels of recursion

 

Example 2

 

restart;

eq:=-x^(1/2)-1/2*x*A^2+A*B*sinh(B*x)-1/2*x*A^2*cosh(2*B*x)=0;
the_vars:=[A, B]:
solve(identity(eq,x),the_vars);

-x^(1/2)-(1/2)*x*A^2+A*B*sinh(B*x)-(1/2)*x*A^2*cosh(2*B*x) = 0

Error, (in gcd/doit) too many levels of recursion

 

 

Example 3

 

restart;

eq:=1 = X*(2*cos(X)*cos(x0)-X*sin(X)*cos(x0)-2*sin(X)*sin(x0)-X*cos(X)*sin(x0)-x0*sin(X)*cos(x0)-x0*cos(X)*sin(x0))*(2*Y*ln(Y+y0)+Y+2*y0*ln(Y+y0)+y0)/Y/(X*cos(X)*cos(x0)-X*sin(X)*sin(x0)+x0*cos(X)*cos(x0)-x0*sin(X)*sin(x0)+sin(X)*cos(x0)+cos(X)*sin(x0))/(2*ln(Y+y0)+2*Y/(Y+y0)+1+2*y0/(Y+y0));

1 = X*(2*cos(X)*cos(x0)-X*sin(X)*cos(x0)-2*sin(X)*sin(x0)-X*cos(X)*sin(x0)-x0*sin(X)*cos(x0)-x0*cos(X)*sin(x0))*(2*Y*ln(Y+y0)+Y+2*y0*ln(Y+y0)+y0)/(Y*(X*cos(X)*cos(x0)-X*sin(X)*sin(x0)+x0*cos(X)*cos(x0)-x0*sin(X)*sin(x0)+sin(X)*cos(x0)+cos(X)*sin(x0))*(2*ln(Y+y0)+2*Y/(Y+y0)+1+2*y0/(Y+y0)))

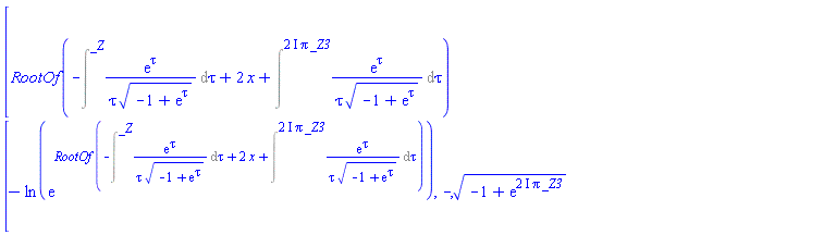
solve(identity(eq,X),[x0,y0]);

Error, (in signature) too many levels of recursion

solve(identity(eq,X),[x0,y0,Y]);

Error, (in signature) too many levels of recursion

 

 


 

Download collection_of_maple_internal_errors_sept_6_2025.mw

 

3. Adding Physics:-Setup(assumingusesAssume = true): make combine fail

interface(version);

`Standard Worksheet Interface, Maple 2025.1, Linux, June 12 2025 Build ID 1932578`

SupportTools:-Version();

`The Customer Support Updates version in the MapleCloud is 29 and is the same as the version installed in this computer, created June 23, 2025, 10:25 hours Eastern Time.`

Physics:-Version();

`The "Physics Updates" version in the MapleCloud is 1877 and is the same as the version installed in this computer, created 2025, July 11, 19:24 hours Pacific Time.`

restart

Physics:-Setup(assumingusesAssume = true):

A:=1/6*ln(u^2+1)+1/3*arctan(u)+1/6*ln(u^2-3^(1/2)*u+1)-1/3*arctan(2*u-3^(1/2))+1/6*ln(u^2+3^(1/2)*u+1)-1/3*arctan(2*u+3^(1/2));
combine(A,ln) assuming real;

(1/6)*ln(u^2+1)+(1/3)*arctan(u)+(1/6)*ln(u^2-3^(1/2)*u+1)-(1/3)*arctan(2*u-3^(1/2))+(1/6)*ln(u^2+3^(1/2)*u+1)-(1/3)*arctan(2*u+3^(1/2))

Error, (in assuming) when calling 'is'. Received: 'invalid input: (u^2+1)^(1/6)*(u^2-3^(1/2)*u+1)^(1/6) <> 0'

Physics:-Setup(assumingusesAssume = false):

combine(A,ln) assuming real;

ln((u^2+1)^(1/6)*(u^2-3^(1/2)*u+1)^(1/6))+ln((u^2+3^(1/2)*u+1)^(1/6))+(1/3)*arctan(u)-(1/3)*arctan(2*u-3^(1/2))-(1/3)*arctan(2*u+3^(1/2))

 


 

Download adding_Phsyics_makes_combine_fail_sept_6_2025.mw

 

4. odetest internal error when adding assuming

interface(version);

`Standard Worksheet Interface, Maple 2025.1, Linux, June 12 2025 Build ID 1932578`

SupportTools:-Version();

`The Customer Support Updates version in the MapleCloud is 29 and is the same as the version installed in this computer, created June 23, 2025, 10:25 hours Eastern Time.`

Physics:-Version();

`The "Physics Updates" version in the MapleCloud is 1877 and is the same as the version installed in this computer, created 2025, July 11, 19:24 hours Pacific Time.`

restart;

sol:=y(x) = 6*x/(3*x-2*LambertW(-3/2*exp(5/2*x+5/6*_C2)))+1/2*x+1/3;
ode:=x-2*y(x)-1+(3*x-6*y(x)+2)*diff(y(x),x) = 0;
odetest(sol,ode,y(x)) assuming positive;

y(x) = 6*x/(3*x-2*LambertW(-(3/2)*exp((5/2)*x+(5/6)*_C2)))+(1/2)*x+1/3

x-2*y(x)-1+(3*x-6*y(x)+2)*(diff(y(x), x)) = 0

Error, (in depends) too many levels of recursion

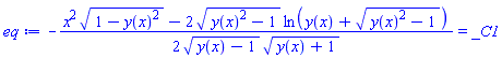
odetest(sol,ode,y(x)); #removing positive it now works

-(40/3)*LambertW(-(3/2)*exp((5/2)*x+(5/6)*c__2))^4/((-3*x+2*LambertW(-(3/2)*exp((5/2)*x+(5/6)*c__2)))^3*(1+LambertW(-(3/2)*exp((5/2)*x+(5/6)*c__2))))+180*LambertW(-(3/2)*exp((5/2)*x+(5/6)*c__2))^3*x/((-3*x+2*LambertW(-(3/2)*exp((5/2)*x+(5/6)*c__2)))^3*(1+LambertW(-(3/2)*exp((5/2)*x+(5/6)*c__2))))-450*LambertW(-(3/2)*exp((5/2)*x+(5/6)*c__2))^2*x^2/((-3*x+2*LambertW(-(3/2)*exp((5/2)*x+(5/6)*c__2)))^3*(1+LambertW(-(3/2)*exp((5/2)*x+(5/6)*c__2))))+315*LambertW(-(3/2)*exp((5/2)*x+(5/6)*c__2))*x^3/((-3*x+2*LambertW(-(3/2)*exp((5/2)*x+(5/6)*c__2)))^3*(1+LambertW(-(3/2)*exp((5/2)*x+(5/6)*c__2))))-(40/3)*LambertW(-(3/2)*exp((5/2)*x+(5/6)*c__2))^3/((-3*x+2*LambertW(-(3/2)*exp((5/2)*x+(5/6)*c__2)))^3*(1+LambertW(-(3/2)*exp((5/2)*x+(5/6)*c__2))))-252*LambertW(-(3/2)*exp((5/2)*x+(5/6)*c__2))^2*x/((-3*x+2*LambertW(-(3/2)*exp((5/2)*x+(5/6)*c__2)))^3*(1+LambertW(-(3/2)*exp((5/2)*x+(5/6)*c__2))))+630*LambertW(-(3/2)*exp((5/2)*x+(5/6)*c__2))*x^2/((-3*x+2*LambertW(-(3/2)*exp((5/2)*x+(5/6)*c__2)))^3*(1+LambertW(-(3/2)*exp((5/2)*x+(5/6)*c__2))))+315*x^3/((-3*x+2*LambertW(-(3/2)*exp((5/2)*x+(5/6)*c__2)))^3*(1+LambertW(-(3/2)*exp((5/2)*x+(5/6)*c__2))))-432*x*LambertW(-(3/2)*exp((5/2)*x+(5/6)*c__2))/((-3*x+2*LambertW(-(3/2)*exp((5/2)*x+(5/6)*c__2)))^3*(1+LambertW(-(3/2)*exp((5/2)*x+(5/6)*c__2))))

 


 

Download internal_odetest_error_sept_6_2025.mw

 

5. solve(identity,..  gives internal error when one variable is missing

interface(version);

`Standard Worksheet Interface, Maple 2025.1, Linux, June 12 2025 Build ID 1932578`

SupportTools:-Version();

`The Customer Support Updates version in the MapleCloud is 29 and is the same as the version installed in this computer, created June 23, 2025, 10:25 hours Eastern Time.`

Physics:-Version();

`The "Physics Updates" version in the MapleCloud is 1877 and is the same as the version installed in this computer, created 2025, July 11, 19:24 hours Pacific Time.`

restart;

eq:=-A^2*exp(2*B*x)+A*B*exp(B*x)-2*A*C*exp(B*x)-C^2-a*cos(b*x)^m*(A*exp(B*x)+C+1)=0;

-A^2*exp(2*B*x)+A*B*exp(B*x)-2*A*C*exp(B*x)-C^2-a*cos(b*x)^m*(A*exp(B*x)+C+1) = 0

the_vars:=[A, B, C,m]: #all variables are listed
solve(identity(eq,x),the_vars);

[[A = 0, B = B, C = -(1/2)*a-(1/2)*(a^2-4*a)^(1/2), m = 0], [A = 0, B = B, C = -(1/2)*a+(1/2)*(a^2-4*a)^(1/2), m = 0], [A = -C-(1/2)*a-(1/2)*(a^2-4*a)^(1/2), B = 0, C = C, m = 0], [A = -C-(1/2)*a+(1/2)*(a^2-4*a)^(1/2), B = 0, C = C, m = 0]]

the_vars:=[A, B, C]:   #forget to add m variable to list, now it gives internal error variables are listed
solve(identity(eq,x),the_vars);

Error, (in depends) too many levels of recursion

 


 

Download missing_variable_solve_sept_6_2025.mw

 

6. odesteps gives internal error (was question before, moved it to here, so all in one place)
 

interface(version);

`Standard Worksheet Interface, Maple 2025.1, Linux, June 12 2025 Build ID 1932578`

SupportTools:-Version();

`The Customer Support Updates version in the MapleCloud is 29 and is the same as the version installed in this computer, created June 23, 2025, 10:25 hours Eastern Time.`

restart;

ode:=x^2*diff(y(x),x$2)+(x^2-5*x)*diff(y(x),x)+(5-6*x)*y(x)=0; #22942.  

x^2*(diff(diff(y(x), x), x))+(x^2-5*x)*(diff(y(x), x))+(5-6*x)*y(x) = 0

sol:=dsolve(ode);

y(x) = c__1*x^5*(x+5)+c__2*x*(x^4*(x+5)*Ei(1, x)+(-x^4-4*x^3+3*x^2-4*x+6)*exp(-x))

Student:-ODEs:-ODESteps(ode)

Warning, cannot verify that the given particular solution, y(x) = 1+1/5*x, actually solves the corresponding homogeneous ODE, diff(diff(y(x),x),x)+1/x*(x-5)*diff(y(x),x)-(-5+6*x)/x^2*y(x) = 0

Error, (in Student:-ODEs:-ChangeVariables) the ODE, diff(diff(U(T),T),T) = 5*(T^2+6*T-5)/T^2/(5+T)*U(T)-diff(U(T),T)*(T^2+2*T-25)/T/(5+T), contains the undifferentiated dependent variable, U(T), but the transformation %3, does not

 


 

Download internal_error_ODESteps_sept_2_2025.mw


Please Wait...