Question: Substituting for radical expression

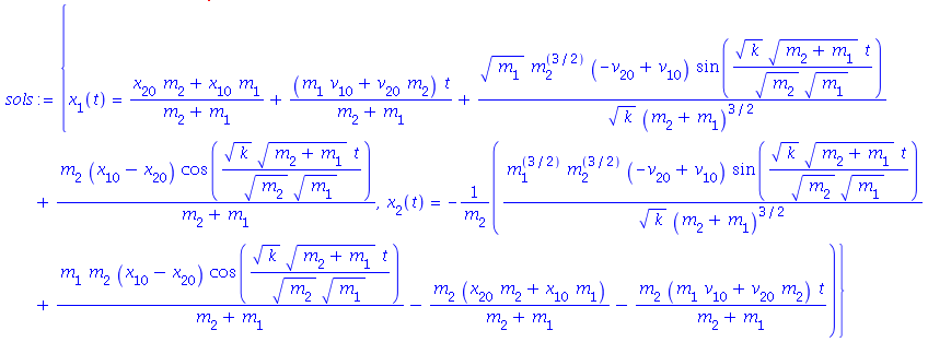
In the solution set linked to above, I would like to replace each instance of the constant sqrt(k*(m[2]+m[1])/(m[2]*m[1])) with ω. I feel that this should be possible with algsubs, but cannot figure out the proper way to make it happen. Any help is appreciated! Thanks,

Leo

Please Wait...