Question: problem with solve

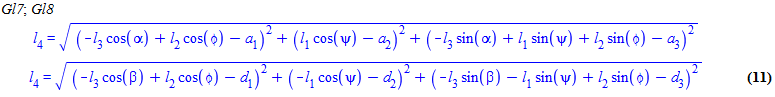
Hello! I have the task to calculate the two angles of an 3d linkage. now in step 11 i have these two equations:

I have to solve these for phi, that is the angle I'm looking for. But the solution for phi should be indepented of psi. alpha and beta are variables. Everything else are known constant values.
What I tried: I solved Gl7 for psi (step 12). Then I got two solutions (I only need the first one). Then I inserted my solution for psi into Gl8. The term is very long by then. Then I solve Gl8 for phi (last step) but it doesn't finish this step. It kept evaluating for 10 hours, then I cancelled the process. However the used memory doesn't increase.

Any help appreciated.

Linkage.mw

Please Wait...