Question: why odetest gives internal error when using _EnvAllSolutions := true:?

When solution was obtained using earlier call to solve with _EnvAllSolutions := true: set, then odetest givens internal error.

When _EnvAllSolutions := false: then no error.

Why? And is there a workaround so I can use _EnvAllSolutions := true: but have odetest still work?

interface(version);

`Standard Worksheet Interface, Maple 2025.1, Linux, June 12 2025 Build ID 1932578`

Physics:-Version();

`The "Physics Updates" version in the MapleCloud is 1881 and is the same as the version installed in this computer, created 2025, October 7, 16:4 hours Pacific Time.`

SupportTools:-Version();

`The Customer Support Updates version in the MapleCloud is 29 and is the same as the version installed in this computer, created June 23, 2025, 10:25 hours Eastern Time.`

 

Example fail when using _EnvAllSolutions := true:

 

restart;

kernelopts('assertlevel'=2):

ode:=diff(y(x),x) = ln(1+y(x)^2);
IC:=y(0)=0;
x0:=0;
sol:=y(x) = -sqrt(-1 + exp(RootOf(-Intat(-1/(2*tau*sqrt(-1 + exp(tau))*exp(-tau)), tau = _Z) + x + _C2)));

eq:=0=eval(rhs(sol),x=x0);
_EnvAllSolutions := true:
_EnvExplicit := true:
sol_C:=_C2=solve(eq,_C2);
sol:=eval(sol,sol_C);
odetest(%,[ode,IC])

diff(y(x), x) = ln(1+y(x)^2)

y(0) = 0

0

y(x) = -(-1+exp(RootOf(-Intat(-(1/2)/(tau*(-1+exp(tau))^(1/2)*exp(-tau)), tau = _Z)+x+_C2)))^(1/2)

0 = -(-1+exp(RootOf(-Intat(-(1/2)/(tau*(-1+exp(tau))^(1/2)*exp(-tau)), tau = _Z)+_C2)))^(1/2)

_C2 = Intat(-(1/2)*exp(tau)/(tau*(-1+exp(tau))^(1/2)), tau = (2*I)*Pi*_Z1)

y(x) = -(-1+exp(RootOf(-Intat(-(1/2)/(tau*(-1+exp(tau))^(1/2)*exp(-tau)), tau = _Z)+x+Intat(-(1/2)*exp(tau)/(tau*(-1+exp(tau))^(1/2)), tau = (2*I)*Pi*_Z1))))^(1/2)

Error, (in series/csgn) assertion failed

 

Example Works  when using _EnvAllSolutions := false:

 

restart;

kernelopts('assertlevel'=2):

ode:=diff(y(x),x) = ln(1+y(x)^2);
IC:=y(0)=0;
x0:=0;
sol:=y(x) = -sqrt(-1 + exp(RootOf(-Intat(-1/(2*tau*sqrt(-1 + exp(tau))*exp(-tau)), tau = _Z) + x + _C2)));

eq:=0=eval(rhs(sol),x=x0);
_EnvAllSolutions := false:
_EnvExplicit := true:
sol_C:=_C2=solve(eq,_C2);
sol:=eval(sol,sol_C);
odetest(%,[ode,IC])

diff(y(x), x) = ln(1+y(x)^2)

y(0) = 0

0

y(x) = -(-1+exp(RootOf(-Intat(-(1/2)/(tau*(-1+exp(tau))^(1/2)*exp(-tau)), tau = _Z)+x+_C2)))^(1/2)

0 = -(-1+exp(RootOf(-Intat(-(1/2)/(tau*(-1+exp(tau))^(1/2)*exp(-tau)), tau = _Z)+_C2)))^(1/2)

_C2 = Intat(-(1/2)*exp(tau)/(tau*(-1+exp(tau))^(1/2)), tau = 0)

y(x) = -(-1+exp(RootOf(-Intat(-(1/2)/(tau*(-1+exp(tau))^(1/2)*exp(-tau)), tau = _Z)+x+Intat(-(1/2)*exp(tau)/(tau*(-1+exp(tau))^(1/2)), tau = 0))))^(1/2)

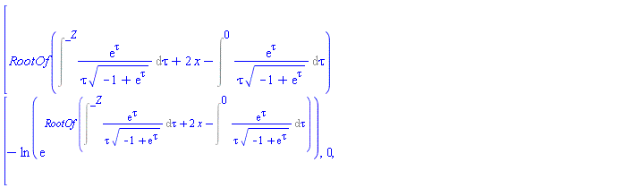
[RootOf(Intat(exp(tau)/(tau*(-1+exp(tau))^(1/2)), tau = _Z)+2*x-Intat(exp(tau)/(tau*(-1+exp(tau))^(1/2)), tau = 0))-ln(exp(RootOf(Intat(exp(tau)/(tau*(-1+exp(tau))^(1/2)), tau = _Z)+2*x-Intat(exp(tau)/(tau*(-1+exp(tau))^(1/2)), tau = 0)))), 0]

 

 


 

Download odetest_fail_when_using_envAllsol_maple_2025_1_oct_21_2025.mw

Please Wait...