Question: PDE dchange example

I want to ask a question, but I cannot submit it using the link below. I tried several times, but it didn’t work. I wrote it like this, but I didn’t get the desired answer.

http://www.mapleprimes.com/questions/231499-Changing-The-Variables-

NULL

restart:
with(PDEtools):
tr1:={x=xi- lambda*t - delta,u(x,t)=Theta(xi) };


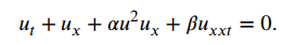
PDE := diff(u(x,t),t) + diff(u(x,t),x) + alpha*u(x,t)^2*diff(u(x,t),x)
      + beta*diff(u(x,t), t, x$2);

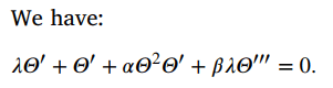
ode := dchange(tr1,PDE,[xi,Theta(xi)]);

{x = -lambda*t-delta+xi, u(x, t) = Theta(xi)}

 

diff(u(x, t), t)+diff(u(x, t), x)+alpha*u(x, t)^2*(diff(u(x, t), x))+beta*(diff(diff(diff(u(x, t), t), x), x))

 

diff(Theta(xi), xi)+alpha*Theta(xi)^2*(diff(Theta(xi), xi))

(1)

NULL NULL

Download 963.mw

Please Wait...