Cezary

5 Reputation

2 Badges

15 years, 110 days

MaplePrimes Activity


These are answers submitted by Cezary

Hi, Thanks for your help. I will try to implement your recommendations and as soon as possible I will let you know about results. Many thanks again

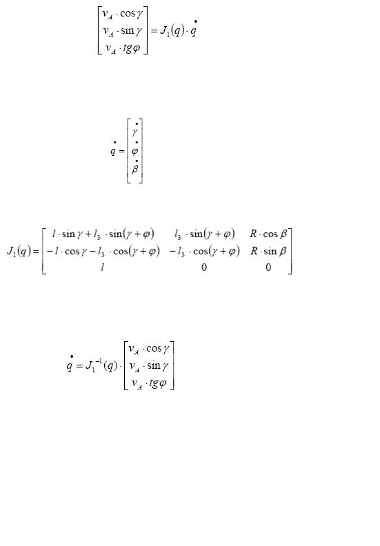
Hi,
These equations describe kinematics of three wheel mobile robot. There is a general robotics theory. Apologizes, because I do not have any electronic source of that.  (Please, see attachment with mathematical model of robot. In the first post on MaplePrimes I gave steps to calculate inverse jacobian, etc).
Previous curves were produced in Matlab/Simulink 6.5. Initial conditions for each differential equation are zero. In this case robot is moving on circle with R radius – but of course mathematical model is the same for other trajectories

Can you recommend (do you know) other way to solve these equations?
 

Many thanks again.

Page 1 of 1