Kitonum

21952 Reputation

26 Badges

17 years, 305 days

MaplePrimes Activity


These are replies submitted by Kitonum

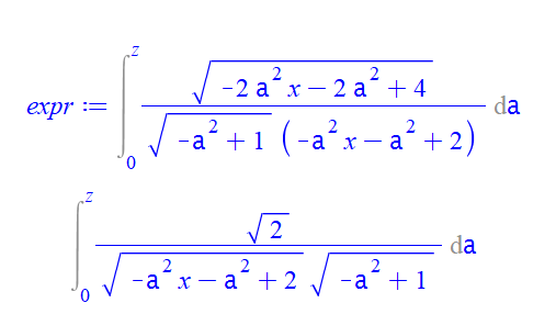
Maple also fails with much simpler examples.

Example:

restart;
S:=(a+sqrt(b))^2;
E:=expand(S);
simplify(E) assuming a>0,b>0;
combine(E) assuming a>0,b>0;
factor(E) assuming a>0,b>0;

                            

@jalal  It will be clearer if we reduce the coordinate ranges and use different colors. The plot below clearly shows that the red vector is parallel to the red line, the blue vector is parallel to the blue line, and the green vector (the cross-product of the red and blue vectors) is perpendicular to each line.

l1 := plots:-spacecurve([1+t, t, 1], t = -10 .. 10, color = red, thickness = 4): 
l2 := plots:-spacecurve([1, s, s], s = -10 .. 10, color = blue, thickness = 4): 
u1 := plots:-arrow([[0, 0, 0], [1, 1, 0]], color = black, width = 0.3e-1, color = red): 
u2 := plots:-arrow([[0, 0, 0], [0, 1, 1]], color = black, width = 0.3e-1, color = blue): 
n := plots:-arrow([[0, 0, 0], [1, -1, 1]], color = blue, width = 0.3e-1, color = green): 
plots:-display(l1, l2, u1, u2, n, scaling = constrained, view = [-10 .. 10, -10 .. 10, -10 .. 10], axes = box, orientation = [100, 80], labels = [x, y, z], view = [-1.5 .. 2, -2 .. 2, -.5 .. 2], axes = normal, orientation = [60, 80], scaling = constrained);

            

 

@Andiguys My answer is the last command from your worksheet (display), where I added three commands (implicitplot) for plotting implicit lines. Below is theRegional_new1.mw link to the full worksheet:

Regional_new1.mw

@janhardo  Everything works correctly. I just repeated each frame 10 times, so it lasted about 1 second. This way, all 12 Hamiltonian cycles can be clearly seen.

restart;
with(GraphTheory):with(combinat):
G := CompleteGraph(5):
# Genereer alle permutaties van {2,3,4,5}
P := permute([2,3,4,5]):
# Houd slechts één richting (vermijd spiegeling)
HCs := [seq([1,op(p),1],p in P)]:
HCs := select(p->p[2]<p[5],HCs);
# 12 kleuren (Maple-kleurnamen)
Colors := [red, blue, green, magenta, cyan, gold,
           violet, orange, brown, pink, navy, black]:
# Highlight elk circuit met andere kleur
Frames := [seq(DrawGraph(HighlightTrail(G,HCs[i],inplace=false),
   stylesheet=[edgethickness=4,edgehighlightcolor=Colors[i],
               edgecolor=grey,edgehighlightthickness=4]
                         )$10,
               i=1..nops(HCs))]:
# Animatie
plots:-display(Frames, insequence);

                    

@janhardo  This is an animation of an Euler cycle in a graph. An Euler cycle (or circuit) in a graph is a trail that visits every edge (not vertex) exactly once and returns to the starting vertex. For an undirected, connected graph to have an Euler cycle, every vertex must have an even degree.

In my opinion, if you're animating something related to graphs, it's more interesting to take a specific graph and illustrate some interesting property of it. Below is an animation of the Euler cycle  (each edge is traversed exactly once)  in a complete graph with 5 vertices.

restart;
with(GraphTheory):
G:=CompleteGraph(5):
IsEulerian(G,'T'):
T; # Euler cycle in the graph G
H:=[seq([op(T)][1..i], i=2..11)]:
L:=[seq(HighlightTrail(G,h, inplace=false), h=H)]:
plots:-display(seq(DrawGraph(t,stylesheet=[edgethickness=4,edgecolor=grey,edgehighlightcolor=red,edgehighlightthickness=4])$10, t=L), insequence);

                            Trail(1, 2, 3, 1, 4, 2, 5, 3, 4, 5, 1)

            

 

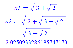
@ Alfred_F 465  You asked why the (6) command doesn't work. But the  identify  command isn't omnipotent and isn't always capable of determining the symbolic nature of a float. For example, it recognizes algebraic numbers of order up to 6, but it doesn't recognize numbers of higher order.

Examples:

restart;
a1:=sqrt(3+sqrt(2));
a2:=sqrt(2+sqrt(3+sqrt(2)));
identify(evalf[20](a1));
identify(evalf[20](a2));

                  

 

 

 

@yangtheary It may be necessary to find the osculating circle (see the wiki  https://en.wikipedia.org/wiki/Osculating_circle)  at the point (-1,-1).  See the solution below:

restart;
f:=x->x+2+4/(x-1):
with(Student[VectorCalculus]):
simplify(Curvature(<x,f(x)>,x)) assuming real; # The curvature at an arbitrary point
R:=simplify(1/eval(%,x=-1));
x0,y0:=-1,-1;
P1:=plot(x+2+4/(x-1), x=-4..1, color=blue):
P2:=plottools:-circle([x0,y0-R],R, color=red):
P3:=plottools:-disk([x0,y0], 0.05, color=red):
plots:-display(P1,P2,P3, scaling=constrained, view=[-5..0.5,-4..0.5], size=[500,500]);

          

 

@Jean-Michel  
The  ListTools:-Search command allows you to find the positions of only the first-level operands in a certain list.
Your example:

restart;
with(ListTools):
M := [[1, a], a, [[3 + a]], 2*a - 1]:
Search(a, M);
Search(a, M[1]);
Search(2*a-1, M);

@nm  Your method doesn't work in older versions of Maple (like my Maple 2018.2). However, the following method works successfully:

restart;
a, b, c, d := Matrix([[1,2],[3,4]]), Matrix([[1,2,3],[4,5,6],[7,8,9]]),
Matrix([[1,2,3,4],[5,6,7,8],[9,10,11,12],[13,14,15,16]]),
Matrix([[1,2,3,4,5],[6,7,8,9,10],[11,12,13,14,15],[16,17,18,19,20],[21,22,23,24,25]]);
A:=Matrix(2,2,{(1,1)=a,(1,2)=b,(2,1)=c,(2,2)=d});

        

@nm The code uses coloring using the options provided by  plots:-densityplot  command. Individual coloring of each line is not provided. All lines are colored with the same color (black by default). Implementing your wishes would require significant changes to the procedure code.

@Jean-Michel  Should be an ordered range, but may be  -sin(x) > cos(x) , for example -sin(-Pi/2) .. cos(-Pi/2) = 1 .. 0

Correction:

restart;
with(RandomTools):
l := x -> Generate(float(range = min(-sin(x),cos(x)) .. max(-sin(x),cos(x)))):
randomize():
plot([-sin(x),cos(x),'l(x)'], x = -Pi .. Pi);

                       

 

@nm  Try just increasing those indents in  the_legend  a little. Or, while maintaining the same spaces, slightly reduce the size of the plot, for example, add the option  size=[350, 350]

The logic behind all these decisions is that both legends would not fit in length, being located on one line.

 @Matt C Anderson  
Your method for constructing the set of desired objects using  b := `union`(b, {a}) construction is extremely inefficient. This isn't particularly evident in your example of finding twin primes, as they are quite rare, but in other cases, the difference compared to other methods would be very significant.

The examples below compare the construction of the set of all odd primes less than 1,000,000 using your method and another method:

restart;
primes:=proc(N) # First way (your method)
local a,b;
b:={};
for a by 2 to N do
if isprime(a)  then b:=`union`(b,{a})
end if;
end do;
return b;
end proc:

primes1:=proc(N) # Second way
local a,b,k;
k:=0:
for a by 2 to N do
if isprime(a)  then k:=k+1; b[k]:=a 
end if;
end do;
return convert(b,set);
end proc:
CodeTools:-Usage(primes(1000000)):

#  memory used=23.16GiB, alloc change=28.49MiB, cpu time=91.33s, real time=96.09s, gc time=3.86s
 

CodeTools:-Usage(primes1(1000000)):

#  memory used=217.08MiB, alloc change=40.00MiB, cpu time=2.28s, real time=2.38s, gc time=171.88ms

1 2 3 4 5 6 7 Last Page 1 of 134