Math-dashti

135 Reputation

4 Badges

0 years, 348 days

MaplePrimes Activity


These are replies submitted by Math-dashti

@sand15 this is new i want finish paper then send to journals, there is a lot part not just bifurcation ...

@sand15 all of that out come are new for me i don't know the range of  angel  epsilon  this system is come out from another ode and this ode come from a pde  i wish i know the ranges , also i want to plot every outcome if you need any other information please tell me which i don't think the ranges come from ode, even i did phase portrait for 3 cases let me show you in graph, i didn't finish the paper yet...

@dharr  yea it seems  not work for this equation when i did simplify that part you did i though i can find condition at there  which we can find one parameter  from paranthesis but when i replaced in system and hamiltonian in system one of them got zero and in hamiltonian denominator will be zero, i don't know how but must be a way for finding a condition for doing the phaseportrait of this equation but still i don't know how exactly find the condition which work and make or  simplify be zero 

@dharr  is clear what i am want you did a a good job, something remain and i  am not sure about hamiltonian part which is conserved quantity we found it but must satisfy that condition in top picture? i think it is not satosfy i am not sure to chekc can you check that part which i think in hamiltonian must remove the denominater in shape of parameter becuase first integral or counserved quantity must define in any domain so if there is a prameter in denominator it will make problem i think so can can we chak that part? also if i did any mistake please mentioned ?  i mentioned in red part which last time you did it and said  if it is zero then it is correct  but this time is not zero if i did not mistake again

Dr.D1.mw

@sand15 is been a while i am looking for solving this kind of ode which have singularity but  each time i got a new problem i solved last one but this is new and equation not build like i want also the hamiltonian not make the equation satisfy i don't know where is issue really i am stuck  , i just saw 3 paper which solved like that is not easy i think and in this problem i had a chance which fixed point is just 3 the other problem have 9, but  this is new and not solved yet

@dharr thus picture are from another problem but our problem is different i hope help 

 

@dharr i did find one case and used a lot step by hand please if you can make it more powerful 

systems.mw

again i think is not true becuase of this 

cons_eq := Physics:-diff(rhs(de1), V(xi)) + Physics:-diff(rhs(de2), Omega(xi));

@dharr  but i have issues again i don't know how fixed that i undrestand all topic one by one and i know issues i can do it by hand seperating one by one but i need to generate by coding, becuase we generating system as in picture mentioned there must be two function in my general ode is one function and when  change to Diff(V(xi),xi)=Omega(xi)  but in my ode again contain that Diff(V(xi),xi) so i have to change to it then i have to remove singularity but  in your file i see that singularity of system still is remain also in mine , the code not work i don't know how go further stuck very bad 

systems.mw

@sand15  no is not me but i got 2 or 3 mail about deleting my questions watch the last comment of moderator 

https://www.mapleprimes.com/questions/241989-Why-Cant-I-Solve-For-My-Parameters#comment313758

@sand15 your code need a lot of time ,  i did fixed i think i make it to worked but  in my next step i think problem come up check please if it is correct 

all-cases-done-.mw

 

@sand15  i write programing but have some issues which the condition are wrong watch case (4,7,8,12,13,14...) you will see some parameter not satisfy conditions

conditions.mw

@dharr i want to phase portrait but i have 16 cases if i take the parameter just bigger and smaller than zero  but for each cases  i have a different parameter in here i just take all parameter are positive(S[1],S[2],S[3],T[1]) but when i take thus by positive thus parameter are coming from some where becuase of that i want to find them ?also  i don't know why some point don't have any reaction in my phase portrait  i don't know why? really undrestanding and figur out of this is not easy i have to undrestand this is so importan and is a key point 

also is same problem of my last question i have two other problem like this which tomorow i will  try to solve them but is same as this if you look maybe undrestand  so how they did this phase portrait 

in here

find-all.mw

@dharr i have some free variable which make my equation not equal how hundle them if i  put them free but the equation is not equal like 1=1 or -1=-1

stuck badly 

restart

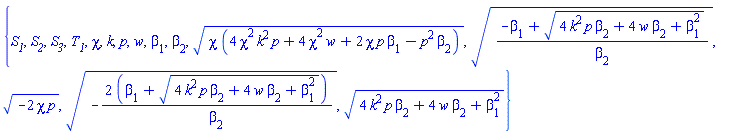
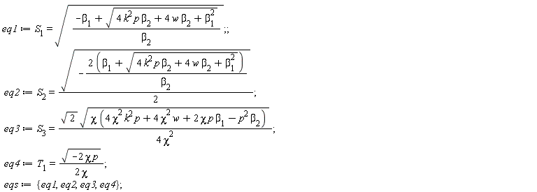
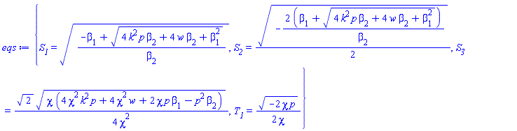
eq1 := S__1 = sqrt((-beta[1]+sqrt(4*k^2*p*beta[2]+4*w*beta[2]+beta[1]^2))/beta[2]); eq2 := S__2 = (1/2)*sqrt(-(2*(beta[1]+sqrt(4*k^2*p*beta[2]+4*w*beta[2]+beta[1]^2)))/beta[2]); eq3 := S__3 = sqrt(2)*sqrt(chi*(4*chi^2*k^2*p+4*chi^2*w+2*chi*p*beta[1]-p^2*beta[2]))/(4*chi^2); eq4 := T__1 = sqrt(-2*chi*p)/(2*chi); eqs := {eq1, eq2, eq3, eq4}

S__1 = ((-beta[1]+(4*k^2*p*beta[2]+4*w*beta[2]+beta[1]^2)^(1/2))/beta[2])^(1/2)

 

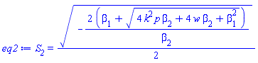
S__2 = (1/2)*(-2*(beta[1]+(4*k^2*p*beta[2]+4*w*beta[2]+beta[1]^2)^(1/2))/beta[2])^(1/2)

 

S__3 = (1/4)*2^(1/2)*(chi*(4*chi^2*k^2*p+4*chi^2*w+2*chi*p*beta[1]-p^2*beta[2]))^(1/2)/chi^2

 

T__1 = (1/2)*(-2*chi*p)^(1/2)/chi

 

{S__1 = ((-beta[1]+(4*k^2*p*beta[2]+4*w*beta[2]+beta[1]^2)^(1/2))/beta[2])^(1/2), S__2 = (1/2)*(-2*(beta[1]+(4*k^2*p*beta[2]+4*w*beta[2]+beta[1]^2)^(1/2))/beta[2])^(1/2), S__3 = (1/4)*2^(1/2)*(chi*(4*chi^2*k^2*p+4*chi^2*w+2*chi*p*beta[1]-p^2*beta[2]))^(1/2)/chi^2, T__1 = (1/2)*(-2*chi*p)^(1/2)/chi}

(1)

indets(eqs)

{S__1, S__2, S__3, T__1, chi, k, p, w, beta[1], beta[2], (chi*(4*chi^2*k^2*p+4*chi^2*w+2*chi*p*beta[1]-p^2*beta[2]))^(1/2), ((-beta[1]+(4*k^2*p*beta[2]+4*w*beta[2]+beta[1]^2)^(1/2))/beta[2])^(1/2), (-2*chi*p)^(1/2), (-2*(beta[1]+(4*k^2*p*beta[2]+4*w*beta[2]+beta[1]^2)^(1/2))/beta[2])^(1/2), (4*k^2*p*beta[2]+4*w*beta[2]+beta[1]^2)^(1/2)}

(2)

We have 4 eqns, so choose 4  variables to solve for

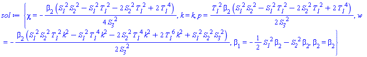
sol := solve(eqs, {chi, k, p, w, beta[1], beta[2]})

{chi = -(1/4)*beta[2]*(S__1^2*S__2^2-S__1^2*T__1^2-2*S__2^2*T__1^2+2*T__1^4)/S__3^2, k = k, p = (1/2)*T__1^2*beta[2]*(S__1^2*S__2^2-S__1^2*T__1^2-2*S__2^2*T__1^2+2*T__1^4)/S__3^2, w = -(1/2)*beta[2]*(S__1^2*S__2^2*T__1^2*k^2-S__1^2*T__1^4*k^2-2*S__2^2*T__1^4*k^2+2*T__1^6*k^2+S__1^2*S__2^2*S__3^2)/S__3^2, beta[1] = -(1/2)*S__1^2*beta[2]-S__2^2*beta[2], beta[2] = beta[2]}

(3)

Put values in - we see a problem

A := eval(sol, {S__1 = -1, S__2 = -1, S__3 = -1, T__1 = -2})

{chi = -(21/4)*beta[2], k = k, p = 42*beta[2], w = -(1/2)*beta[2]*(84*k^2+1), beta[1] = -(3/2)*beta[2], beta[2] = beta[2]}

(4)

For some other values it should work

eval(sol, {S__1 = 1, S__2 = 1, S__3 = 1, T__1 = 2})

{chi = -(21/4)*beta[2], k = k, p = 42*beta[2], w = -(1/2)*beta[2]*(84*k^2+1), beta[1] = -(3/2)*beta[2], beta[2] = beta[2]}

(5)

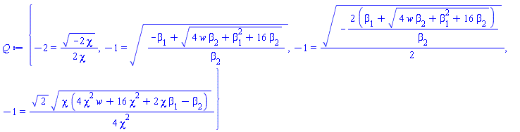
Q := subs(A1, eqs)

{-2 = (1/2)*(-2*chi)^(1/2)/chi, -1 = ((-beta[1]+(4*w*beta[2]+beta[1]^2+16*beta[2])^(1/2))/beta[2])^(1/2), -1 = (1/2)*(-2*(beta[1]+(4*w*beta[2]+beta[1]^2+16*beta[2])^(1/2))/beta[2])^(1/2), -1 = (1/4)*2^(1/2)*(chi*(4*chi^2*w+16*chi^2+2*chi*beta[1]-beta[2]))^(1/2)/chi^2}

(6)

k := 1; beta[2] := 1

1

 

1

(7)

simplify(subs(A, Q))

{-2 = -(1/21)*42^(1/2), -1 = (1/441)*710619^(1/2), -1 = (1/2)*(3-I*607^(1/2))^(1/2), -1 = (1/2)*(6+(2*I)*607^(1/2))^(1/2)}

(8)

NULL

Download find-p1.mw

@dharr  thank you so much let me go further if problem come up i will ask is helpfull really

@sand15  i will ask another question in following question is related to this also i will uploaded here for you  i have to do changing thus parameter i did by hand is no problem but i want make them be equal to (one,1) and then find each parameter , if randomly like you did i change the paramter i don't know howm many case i have it but if i change them to 4 exaclty parameter i can hundle all situation like that if i have S[1],S[2],S[3] and T[1] is clear for me how many case we have is like that S[1]>0,S[2]>0,S[3]>0,T[1]>0 this is one case 
S[1]>0,S[2]>0,S[3]>0,T[1]<0 this second one also for all other case we do that but what is easiest number for parameter S[1],S[2],S[3],T[1] is number (1,-1) so in thus S[1],S[2],S[3] and T[1] contain other parameter i have to set up them how they will give me one 

para1.mw

1 2 3 4 Page 1 of 4