Ronan

1381 Reputation

16 Badges

13 years, 311 days
East Grinstead, United Kingdom

MaplePrimes Activity


These are answers submitted by Ronan

I can find integer values for the vertex coordinates and the angle bisector.  Could not find side lengths with integer values.

restart

with(LinearAlgebra); with(plots); with(plottools)

v1 := `<,>`(a, b)

Vector[column](%id = 36893489400601263868)

(1)

v2 := `<,>`(c, d)

Vector[column](%id = 36893489400601251100)

(2)

v3 := v2-v1

Vector[column](%id = 36893489400601245804)

(3)

v4 := `<,>`(e, f)

Vector[column](%id = 36893489400601240868)

(4)

Non*Isosceles

Eq1 := v1[1]^2+v1[2]^2 <> v2[1]^2+v2[2]^2

a^2+b^2 <> c^2+d^2

(5)

Eq2 := v1[1]^2+v1[2]^2 <> v3[1]^2+v3[2]^2

a^2+b^2 <> (c-a)^2+(d-b)^2

(6)

Eq3 := v2[1]^2+v2[2]^2 <> v3[1]^2+v3[2]^2

c^2+d^2 <> (c-a)^2+(d-b)^2

(7)

"Dot product of 2 vectors <>0 if they are not perpendicular  "

Eq4 := `assuming`([v1.v2 <> 0], [real])

a*c+b*d <> 0

(8)

Eq5 := `assuming`([simplify(v1.v3 <> 0)], [real])

-a^2+a*c-b^2+b*d <> 0

(9)

Eq6 := `assuming`([simplify(v2.v3 <> 0)], [real])

-a*c-b*d+c^2+d^2 <> 0

(10)

Angle*bisector

Eq7 := v1+alpha*(v2-v1) = v4

Vector[column](%id = 36893489400642032932) = Vector[column](%id = 36893489400601240868)

(11)

Eq8 := a+alpha*(a-c) = e

a+alpha*(a-c) = e

(12)

Eq9 := b+alpha*(b-d) = f

b+alpha*(b-d) = f

(13)

"dot product of two vectors = the magnitude times the cos of the angle between them.  angle between v1 and v4 = angle between v2 and v4  Here  I have squared the dot product to remove square roots  "

Eq10 := `assuming`([(v1.v4)^2 = ((v1[1]^2+v1[2]^2)*(v1[1]^2+v1[2]^2))*cos^2*theta], [real])

(a*e+b*f)^2 = (a^2+b^2)^2*cos^2*theta

(14)

Eq11 := `assuming`([(v2.v4)^2 = (v2[1]^2+v2[2]^2)*(v1[1]^2+v1[2]^2)*cos^2*theta], [real])

(c*e+d*f)^2 = (c^2+d^2)*(a^2+b^2)*cos^2*theta

(15)

"Eliminate cos^(2)theta from Eq10 and Eq11"

NULL

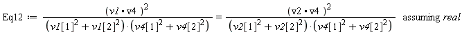
Eq12 := `assuming`([(v1.v4)^2/((v1[1]^2+v1[2]^2)*(v4[1]^2+v4[2]^2)) = (v2.v4)^2/((v2[1]^2+v2[2]^2)*(v4[1]^2+v4[2]^2))], [real])

(a*e+b*f)^2/((a^2+b^2)*(e^2+f^2)) = (c*e+d*f)^2/((c^2+d^2)*(e^2+f^2))

(16)

````

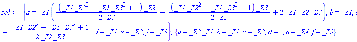
sol := isolve({Eq1, Eq12, Eq2, Eq3, Eq4, Eq5, Eq6})

{a = _Z1*((1/2)*(_Z1*_Z2^2-_Z1*_Z3^2+1)*_Z2/_Z3-(1/2)*(_Z1*_Z2^2-_Z1*_Z3^2+1)*_Z3/_Z2+2*_Z1*_Z2*_Z3), b = _Z1, c = (1/2)*(_Z1*_Z2^2-_Z1*_Z3^2+1)/(_Z2*_Z3), d = _Z1, e = _Z2, f = _Z3}, {a = _Z2*_Z1, b = _Z1, c = _Z2, d = 1, e = _Z4, f = _Z5}

(17)

NULL

"Pick some values for Z1, 2, 3  "

sol1 := eval(sol, [_Z1 = 1, _Z2 = 1, _Z3 = 1])

{a = 2, b = 1, c = 1/2, d = 1, e = 1, f = 1}, {a = 1, b = 1, c = 1, d = 1, e = _Z4, f = _Z5}

(18)

assign(sol1[1])

evala(v1)

Vector[column](%id = 36893489400647704572)

(19)

evala(v2)

Vector[column](%id = 36893489400647706492)

(20)

evala(v3)

Vector[column](%id = 36893489400647708412)

(21)

evala(v4)

Vector[column](%id = 36893489400647710348)

(22)

evala(Eq12)

9/10 = 9/10

(23)

"Scale the points by a factor of 2 to get integers"

display(line(`<,>`(0, 0), 2*evala(v1)), line(`<,>`(0, 0), 2*evala(v2)), line(2*evala(v1), 2*evala(v2)), line(`<,>`(0, 0), 2*evala(v4)), scaling = constrained)

 

Eq8

2+(3/2)*alpha = 1

(24)

"(->)"

alpha = -2/3

(25)

eval(evala(Eq7), alpha = -2/3)

Vector[column](%id = 36893489400647799740) = Vector[column](%id = 36893489400647799620)

(26)

``

Download 2025-11-22_A_Special_Triangle.mw

  This might help. In Maple 2024 under Format Styles  you can alter the font and other settings. Different Styles sets can be exported and imported using Manage Styles Sets.

I am not exactly sure frm you wording of "k consecutive random characters". Is this what you want?

restart

NULL

randomize

randomize

(1)

[seq(StringTools:-Char(i), i = 30 .. 128)]

["", "", " ", "!", """, "#", "$", "%", "&", "'", "(", ")", "*", "+", ",", "-", ".", "/", "0", "1", "2", "3", "4", "5", "6", "7", "8", "9", ":", ";", "<", "=", ">", "?", "@", "A", "B", "C", "D", "E", "F", "G", "H", "I", "J", "K", "L", "M", "N", "O", "P", "Q", "R", "S", "T", "U", "V", "W", "X", "Y", "Z", "[", "\", "]", "^", "_", "`", "a", "b", "c", "d", "e", "f", "g", "h", "i", "j", "k", "l", "m", "n", "o", "p", "q", "r", "s", "t", "u", "v", "w", "x", "y", "z", "{", "|", "}", "~", "", "�"]

(2)

num := rand(30 .. 128)

proc () (proc () option builtin = RandNumberInterface; end proc)(6, 99, 7)+30 end proc

(3)

k := 25

25

(4)

[seq(StringTools:-Char(num()), i = 1 .. k)]

["O", "L", "%", "K", "I", "&", "j", "X", "-", "", "c", "j", "D", "y", "d", "`", "k", "P", "R", ")", "0", "\", "E", "w", " "]

(5)

NULL

Download 2025-10-12_A_Random_Characters.mw

You can do this .

evalc(D11)

To get real part only.

evalc(Re(D11))

Or imaginary part only.

evalc(Im(D11))

It i seasiest to use Equal fr0m the LlinearAlgebra package for this.

V1 := <2, 3, -7>;
                             [    2     ]
                             [          ]
                       V1 := [    3     ]
                             [          ]
                             [&uminus0;7]

V2 := <2, 3, -7>;
                             [    2     ]
                             [          ]
                       V2 := [    3     ]
                             [          ]
                             [&uminus0;7]

Equal(V1, V2);
                              true

The is something to do with how maple evaluates Vectors and Matrices.  delay evaluation quotes  '...... help here. There may be nicer ways to do this though.

{'Matrix'([1])} union {'Matrix'([1])};
                         {Matrix([1])}

eval({'Matrix'([1])} union {'Matrix'([1])});
                             {[1]}



 

One of your simpler puzzles. 

restart

NULL

NULL

A := Matrix(4, 7, {(1, 1) = 343, (1, 2) = 0, (1, 3) = 15625, (1, 4) = 0, (1, 5) = 32, (1, 6) = 0, (1, 7) = 36, (2, 1) = 0, (2, 2) = x, (2, 3) = 0, (2, 4) = 15657, (2, 5) = 0, (2, 6) = 68, (2, 7) = 0, (3, 1) = 0, (3, 2) = 0, (3, 3) = 31625, (3, 4) = 0, (3, 5) = y, (3, 6) = 0, (3, 7) = 0, (4, 1) = 0, (4, 2) = 0, (4, 3) = 0, (4, 4) = z, (4, 5) = 0, (4, 6) = 0, (4, 7) = 0})

Matrix(%id = 36893489885763238716)

(1)

The rows appear to be sums of of pairs above.

x := A[1, 1]+A[1, 3]

15968

(2)

x+A[2, 4]

31625

(3)

y := A[2, 4]+A[2, 6]

15725

(4)

z := A[3, 3]+y

47350

(5)

evalm(A)

array( 1 .. 4, 1 .. 7, [( 4, 5 ) = (0), ( 1, 2 ) = (0), ( 2, 4 ) = (15657), ( 1, 5 ) = (32), ( 1, 6 ) = (0), ( 3, 6 ) = (0), ( 1, 3 ) = (15625), ( 3, 4 ) = (0), ( 3, 2 ) = (0), ( 2, 3 ) = (0), ( 4, 2 ) = (0), ( 4, 1 ) = (0), ( 1, 1 ) = (343), ( 3, 7 ) = (0), ( 2, 2 ) = (15968), ( 4, 6 ) = (0), ( 2, 1 ) = (0), ( 2, 6 ) = (68), ( 2, 5 ) = (0), ( 2, 7 ) = (0), ( 1, 7 ) = (36), ( 4, 3 ) = (0), ( 1, 4 ) = (0), ( 3, 1 ) = (0), ( 3, 5 ) = (15725), ( 4, 4 ) = (47350), ( 4, 7 ) = (0), ( 3, 3 ) = (31625)  ] )

(6)

NULL

Download 5-05-25_A_sums.mw

This works. Nothing fancy.

plot(rhs(sol_1),x=0.15..5)

If the file doesn't use new features it willl open with a warning that it was created in a newer version of Maple. It should run ok. I opened one from a 2025 answer earlier.

9/2=4.5   Gives a similar triangle to the yellow one

sqrt(4.5/2)=sqrt( 2.25)=1.5   square root of ratio of areas gives sides ratio

(1.5+1)^2*2=12.5 ( total ratio of side length to mid point)^2 times yellow area gives size of triangle to midpoint of side AD.

12.5+12.5-2 =23 (green area)  

For some reason I can't upload the worksheet.
It is just the 3,4,5 triangle.

restart

sph:=(x-3)^2+(y-7)^2+(z-4)^2-25

plxy:=z=0
plyz:=x=0
ctr:=[3,7,4]
R:=5
ctrplxy:=[3,7,0]
4^2+Rxy^2=5^2
fsolve( ?? );
Rxy:=3
ctrplyz:=[0,7,4]
3^2+Ryz^2=5^2

fsolve( ?? );
Ryz:=4
#Center  and Radius on xy plane
ctrplxy;
Rxy
#Center  and Radius on yz plane
ctrplyz;
Ryz

This is just a quick test. I drew it in a CAD system to see. And  another possible assumption is the side slopes are equal.

 

On my pc Maple docs are here. Or are you asking about windows File History?

If memory serves me correctly, I think I specified Home User. As I have a Personal Edition license.

Hope this is correct
 

restart

L:=1

1

(1)

E:=[0,0]

[0, 0]

(2)

A:=[-1/2*L,L*sqrt(3)/2]

 

[-1/2, (1/2)*3^(1/2)]

(3)

D1:=[L,0]

[1, 0]

(4)

C:=[L,L]

[1, 1]

(5)

AC:=C-A

[3/2, -(1/2)*3^(1/2)+1]

(6)

AB:=L

1

(7)

BC:=L

1

(8)

expn1:=2*L*cos(theta)=sqrt(AC[1]^2+AC[2]^2)

2*cos(theta) = (1/2)*(9+4*(-(1/2)*3^(1/2)+1)^2)^(1/2)

(9)

theta:=solve(expn1,theta)

arccos((1/4)*(9+4*(-(1/2)*3^(1/2)+1)^2)^(1/2))

(10)

b:=2*Pi-(Pi-2*theta)

Pi+2*arccos((1/4)*(9+4*(-(1/2)*3^(1/2)+1)^2)^(1/2))

(11)

simplify( (11) );

2*Pi-2*arcsin((1/2)*(4-3^(1/2))^(1/2))

(12)

expn2:=L-L*cos(c)=L*sin(2*Pi/3)-L*sin(a+Pi/3)

1-cos(c) = (1/2)*3^(1/2)-sin(a+(1/3)*Pi)

(13)

expn3:=L-L*sin(c)=L*cos(2*Pi/3)+L(a+Pi/3)

1-sin(c) = 1/2

(14)

c:=solve(expn3,c)

(1/6)*Pi

(15)

a:=solve(expn2,a)

-(1/3)*Pi+arcsin(3^(1/2)-1)

(16)

simplify( (16) );

-(1/3)*Pi+arcsin(3^(1/2)-1)

(17)

B[1]:=L-L*sin(c)

1/2

(18)

B[2]:=L-L*cos(c)

-(1/2)*3^(1/2)+1

(19)

B:=[B[1],B[2]]

[1/2, -(1/2)*3^(1/2)+1]

(20)


plots:-display(plottools:-polygon([E,D1,C,B,A]),colour=yellow)

1

 

 

 


 

Download Fun-Angles.mw

1 2 3 4 5 6 7 Page 1 of 8