Wang Gaoteng

173 Reputation

12 Badges

15 years, 175 days

MaplePrimes Activity


These are answers submitted by Wang Gaoteng

sumplot.mw

Another way: there is a procedure which I just quote from the "Maple Advanced Programming Guide" (for maple14, page:261) may help you to plot the progress of the two snails.

Hope it may help you.

I use rotate command to plot the vertical line, Something like this:

> sine := plot(sin(x), x = -2*Pi .. 2*Pi, color = blue);
> line1 := plot(Pi, x = -2*Pi .. 2*Pi, color = green);
> line := plottools:-rotate(line1, (1/2)*Pi, [Pi, Pi]);
> plots:-display(sine, line);

Use the third row to minus the last row will generate the first row, so A is a singular matrix.

Try to add an argument: method=pseudo, namely, moore-penrose pseudo-inverse.

MatrixInverse(A, method = pseudo)

Here is a maplesoft blog (Gem 4) may help you understand the problem.

Best regards.

I use the following command:

seq(diff(f[i](x), x) = k[i]*f[i](x), i = 1 .. 4)

It returns:

diff(f[1](x), x) = k[1]*f[1](x), diff(f[2](x), x) = k[2]*f[2](x), diff(f[3](x), x) = k[3]*f[3](x), diff(f[4](x), x) = k[4]*f[4](x)

Is this it?

 

I just add a supplementary, I think Mr. hirnyk's answer is appropriate, the information of mapleprimes is too large. And Mr. Christopher2222 's method is very convenient. The following  is another one to save some helpful pages as pdf format.

Some pages are helpful and want to download and save them, one way is:1, install adobe acrobat software, which is used to read pdf format files, and can be easily found in google to download. 2, click the "file" menu of the browser, and chose "print...", then a dialog box appeared, and chose the virtual printer named "Adobe PDF", finally, click print button in the bottom, then a pdf file will be generated and can be saved in your computer.

The appendant is a pdf file generated by this method.1.pdf

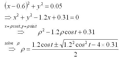
@Oliver K Thank you very much! I upload the derivation, actually, for some t, the polar radius may be negative. But is there any way to plot a circle which locats in (0.6,0) and its radius is sqrt(0.05) only use polarplot comand?

After reading the help document just a few minutes ago, I find an argument named axiscoordinates = polar may be helpful:

plot([.6+sqrt(0.5e-1)*cos(t), sqrt(0.5e-1)*sin(t), t = 0 .. 2*Pi], axiscoordinates = polar, filled = [color = red, transparency = .5])

But I'm still wondering about the polarplot...

Best regards!  

I hope the following URL can give you some advices about how to extract state space, or search for 'statespace' in help document.

http://www.mapleprimes.com/questions/97340-Is-There-Any-Way-To-Extract-The-Matrices

@Samir Khan 

By the way, are there some advanced materials about maplesim to study? In my country, no maplesim books published, and some materials which I download from website are too simple and too brief. Can you give me some advices how to learn maplesim deeply?

Best regards.

@Samir Khan 

Thank you very much. I hope maplesim will grow more stronger in the new year, these days I learn some information about here, but I am still confident in the outlook of maple and maplesim, it meets my study and research, and when I post a question in mapleprimes, the response is very timely, this is one of the reasons I choose maple.

Best regards.

I think it's simple,

product(i^k, k = 1 .. 2010)

yield which you want.

Page 1 of 1