Question: Non-trivial solution of a odes system.

I am new to maple. The problem I am facing is to get a non-trivial

solution of a system of odes. But maple gve me only trivial solution.

 

# The system of odequations I am trying to solve is (Please note that in the bcs phi is alpha.)

 

 

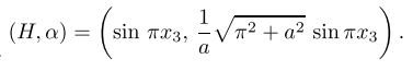
# The solution of the above sys of odes is of the form, (note x3=z, its just a typo)

ode1:=(diff(H(z),z,z)-a^2*H(z))^2=a^2*lambda*alpha(z);

ode2:=(diff(alpha(z),z$2)-a^2*alpha(z))=-lambda*H(z);

sys:={ode1,ode2};

bcs:=alpha(0)=0,alpha(1)=0,H(0)=0,H(1)=0,(D@@2)(H)(0)=0,(D@@2)(H)(1)=0;

dsolve({ode1,ode2,bcs});

 

 Thanks

Please Wait...