MaplePrimes Questions

I have to evaluate several complex integrals involving square roots. Maple automatically assume the branch cut is all negative reals. Is there a way to change this? This would make my life alot easier! thanks!

I want to get the formula for frequency at resonance peak (   ωn=ω*sqrt(1 - 2*ζ2)   ) in Maple 15, starting from the transfer function


                      G(s) := 1/(1+2*zeta*s/omega[n]+(1/(omega[n])^2)*s^2);


I wrote these lines but I haven't obtained the results I wanted:

                    'abs(G(j*omega))'=subs(s=i*omega,abs(G(s)));

I have a problem.

I don´t know how can i do for working with a dynamic model equation was done in maple in Maplesim?

Help me please

At one point in earlier versions of Maple I was able to plot expressions such as y=4*a*x and the y axis would be incremented in units of a. Is there a way to do this in Maple 14?

> restart:
with(DynamicSystems):
> sys := TransferFunction(1/((1+0.1*s)(1+0.002*s+0.0001*s^2)));
> BodePlot(sys,range=10^(-1)..10^(3));

I get the following warning:
 
             Warning, transfer-function(s) are not rational-polynomial(s) in s



Why?.. How can I make it work without any warning?

Thanks everybody for help!
 
 

I'm running this numerical integration 14 hours continuously,without result.

The problem is the numerical integration

 evalf(int(F(q)*sin(q*Theta)/q)) assuming(0

This is taking forever.

Now,this is already done using Fortran (not time consuming at all),but the choice is not mandatory,so I'm using Maple 13.

Now,I think, to do this I have to do the integral using any other numerical method, evalf(int(,)) isn't good enough.

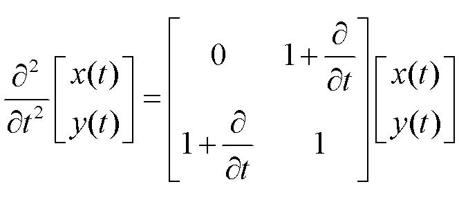
how to rewritten the PDEs to the matrix form like the following in Maple

 

 

Thank you for suggestions. The system in matrix form looks like z(k+1)=Az(k). The solution to that is z(k)=A^kz(0). Now, phase planes of the system would look different for different matrix A (specifically, eigenvalues of A). For example, for complex eigenvalues phase plane would look like a spiral. I'm having difficulties plotting those phase planes. It's easy for differential equation, but I'm not sure how to work with system of difference equation in Maple.

 

 

I have attempted making a translation the Wolfram Mathematic's document: Singular Value Decomposition.
I present Problems in showing the arches of angles. Besides result do not correspond .

Plot_singular_value_.mw

Gracias

 

Hi,

with(OrthogonalExpansions) not working in Maple 15 (work in Maple 14). What is the equivalent package for FourierSeries calculations?

Thanks in advance

Kamel Boughrara

 I have the following equation that I want to plot for theta and t with other parameter values in the equation fixed as below. But when I try to animate the solution I get an 'unable to plot' error message. What can I do to plot the equation, U(theta, t) below.

 

 

 

 

 U(theta, t) := 1/2/Pi+Q*sin(k*theta)+P*sin(m*theta)+1/4*(-I*Q*exp(1/2*k*(-sigma^2*k+2*I*theta...

Hello,

does anybody have any idea how to simplify

> t:=5^(-n)*2^n;

to 

> s:=(2/5)^n;

Pavel

I have Maple 15. I am trying to calculate the limit of this function

 

((x^3-2x^2+sin(x))^(1/3))/(6x+2)

 

for x tend to +infinity. As you can get it with a rapid manual calculus, this limit is 1/6. But Maple returns undefined for this very simple limit. Why? How can i get Maple to calculate limits correctly? Derive 6 return the correct answer 

 

Hi,

How can i delete a row in a (2D) Matrix?

 

Thanks,   (Mohsen)

evolf := proc(f);
h1 := z + f(x);
h2 := z - f(x);
h3 := z*f(x);
h4 := f(x)/z;
h5 := z+diff(f(x),x);
h6 := z-diff(f(x),x);
h7 := z*diff(f(x),x);
h8 := diff(f(x),x)/z;
h9 := subs(x=z, f(x));
test := [h1, h2, h3, h4, h5, h6, h7, h8, h9];
F = 0;
for i from 1 to 9 do
    F = F + 1/(1+exp(subs(x=0,test[i])-subs(x=0,f(x))));
end proc;            

First 1878 1879 1880 1881 1882 1883 1884 Last Page 1880 of 2457