MaplePrimes Questions

Search Questions:

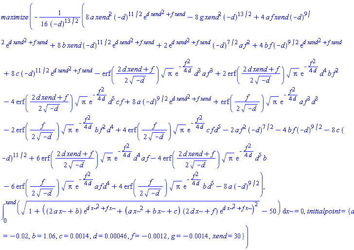
...and starting values. I want to reproduce the maximum in Maple using the solution structure in the attached file, similar to the old Mathcad method. Instead of using the Euler-Lagrange equation, I want to separately enter the objective function, then the boundary conditions, and finally the starting values ​​for an iteration (as was done in the old Mathcad solution block). I entered the latter into the "maximize" command using the Maple help text. But nothing is being calculated. What am I doing wrong? As I said, I only want a numerically generated approximate solution.test.mw
 

restart

kernelopts(version)

`Maple 2026.0, X86 64 WINDOWS, Mar 05 2026, Build ID 2001916`

(1)

interface(version)

`Standard Worksheet Interface, Maple 2026.0, Windows 11, March 05 2026 Build ID 2001916`

(2)

with(VariationalCalculus)

[ConjugateEquation, Convex, EulerLagrange, Jacobi, Weierstrass]

(3)

with(plots, implicitplot)

[implicitplot]

(4)

with(Optimization)

 

assume(x >= 0, y(x) >= 0)

"p(a,b,c,x):=a∗x^(2)+b∗x+c;"

proc (a, b, c, x) options operator, arrow, function_assign; a*x^2+b*x+c end proc

(5)

" q(d,f,x):=d∗x^(2)+f∗x;"

proc (d, f, x) options operator, arrow, function_assign; d*x^2+f*x end proc

(6)

"yn(a,b,c,d,f,g,x):=p(a,b,c,x)∗exp(q(d,f,x))+g;"

proc (a, b, c, d, f, g, x) options operator, arrow, function_assign; p(a, b, c, x)*exp(q(d, f, x))+g end proc

(7)

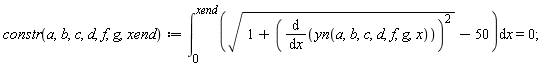
" wn(a,b,c,d,f,g,xend):=(∫)[0]^(xend)x∗yn(a,b,c,d,f,g,x)ⅆx;"

proc (a, b, c, d, f, g, xend) options operator, arrow, function_assign; int(x*yn(a, b, c, d, f, g, x), x = 0 .. xend) end proc

(8)

"constr(a,b,c,d,f,g,xend):=(∫)[0]^(xend)(sqrt(1+((ⅆ)/(ⅆx)(yn(a,b,c,d,f,g,x)))^(2))-50)ⅆx=0;"

proc (a, b, c, d, f, g, xend) options operator, arrow, function_assign; int(sqrt(1+(diff(yn(a, b, c, d, f, g, x), x))^2)-50, x = 0 .. xend) = 0 end proc

(9)

 

maximize(wn(a, b, c, d, f, g, xend), constr(a, b, c, d, f, g, xend), initialpoint = {a = -0.2e-1, b = 1.06, c = 0.14e-2, d = 0.46e-3, f = -0.12e-2, g = -0.14e-2, xend = 30})

maximize(-(1/16)*(8*a*xend^2*(-d)^(11/2)*exp(d*xend^2+f*xend)-8*g*xend^2*(-d)^(13/2)+4*a*f*xend*(-d)^(9/2)*exp(d*xend^2+f*xend)+8*b*xend*(-d)^(11/2)*exp(d*xend^2+f*xend)+2*exp(d*xend^2+f*xend)*(-d)^(7/2)*a*f^2+4*b*f*(-d)^(9/2)*exp(d*xend^2+f*xend)+8*c*(-d)^(11/2)*exp(d*xend^2+f*xend)-erf((1/2)*(2*d*xend+f)/(-d)^(1/2))*Pi^(1/2)*exp(-(1/4)*f^2/d)*d^3*a*f^3+2*erf((1/2)*(2*d*xend+f)/(-d)^(1/2))*Pi^(1/2)*exp(-(1/4)*f^2/d)*d^4*b*f^2-4*erf((1/2)*(2*d*xend+f)/(-d)^(1/2))*Pi^(1/2)*exp(-(1/4)*f^2/d)*d^5*c*f+8*a*(-d)^(9/2)*exp(d*xend^2+f*xend)+erf((1/2)*f/(-d)^(1/2))*Pi^(1/2)*exp(-(1/4)*f^2/d)*a*f^3*d^3-2*erf((1/2)*f/(-d)^(1/2))*Pi^(1/2)*exp(-(1/4)*f^2/d)*b*f^2*d^4+4*erf((1/2)*f/(-d)^(1/2))*Pi^(1/2)*exp(-(1/4)*f^2/d)*c*f*d^5-2*a*f^2*(-d)^(7/2)-4*b*f*(-d)^(9/2)-8*c*(-d)^(11/2)+6*erf((1/2)*(2*d*xend+f)/(-d)^(1/2))*Pi^(1/2)*exp(-(1/4)*f^2/d)*d^4*a*f-4*erf((1/2)*(2*d*xend+f)/(-d)^(1/2))*Pi^(1/2)*exp(-(1/4)*f^2/d)*d^5*b-6*erf((1/2)*f/(-d)^(1/2))*Pi^(1/2)*exp(-(1/4)*f^2/d)*a*f*d^4+4*erf((1/2)*f/(-d)^(1/2))*Pi^(1/2)*exp(-(1/4)*f^2/d)*b*d^5-8*a*(-d)^(9/2))/(-d)^(13/2), int((1+((2*a*x+b)*exp(d*x^2+f*x)+(a*x^2+b*x+c)*(2*d*x+f)*exp(d*x^2+f*x))^2)^(1/2)-50, x = 0 .. xend) = 0, initialpoint = {a = -0.2e-1, b = 1.06, c = 0.14e-2, d = 0.46e-3, f = -0.12e-2, g = -0.14e-2, xend = 30})

(10)

 

   
 

``


 

Download test.mw

 

I have troubles writing text passages including non-executable math with Maple 2026 in worksheet mode.

Since these "indicator switches" (or radio buttons) are not available any more, I have tried "toggling" between text and non-executable math by using F5. I am struggeling with too many use errors (changing mode, start writing in the wrong mode, deleting wrong text, toggling the mode with F5).

Is it normal that the cursor does not clearly indicate the entry mode state? Here is an example

There seems to be no difference between non-executable math and executable math. Only a small underline is visible. In document mode the cursor changes to grey for non-executable and to light blue for executable input. Was it allways like this (and I did not pay attention because of the above indicators switches) or is it something related to my local setting? Can someone confirm? Any other suggestions to speed up text editing.

Context: Commenting Maple worksheets with text mixed with nonexecutable math. I look for ways to speed up my workflow because the new quick access buttons do not provide quick access to change the entry mode. Too many clicks are needed. Usabilty has been degraded further with Maples 2026 version by shrinking the quick access button in size and moving them out of the user focus. They are now in the upper right corner of the screen but most user interactions happen on the left side of the screen. This is forcing me going back to shortcuts that I stopped using after the introduction of Maple 2021.

Insetr Table seems to default too test inpul in the cells. I am inserting it from this icon 

I can't figure out how to change the whole table to 1d or 2d math input without individually changing each cell..

What am I misssing here?

pdsolve is capable of numeric solution for a 1-D standing wave equation with a constant c:

diff(u(x, t), t, t) = c^2*diff(u(x, t), x, x)

In my problem, c is a function of lambda; both c and lambda has a common parameter H.  My problem has piecewise nonlinear function of c(H) and lambda(H) which cannot be reformulate as c(lambda) readily.  I therefore use a procedure based on fsolve to enter lambda and back out c.  In the example, I use piecewise linear function as demonstration.  I ran into a "(in fsolve) Can't handle expressions with typed procedures" error.

If I can overcome this, my input to the procedure also includes du/dx.  Can pdsolve handles such an equation?

Hi,

I am trying to generate an implicitplot command for a plot of two variables. The dummy code is as follows:

implicitplot([f1(x,y)=1, f2(x,y)=1, f3(x,y)=1], x=x1..x2, y=y1..y2, axes = boxed, view = [x1..x2, y1..y2], color=[yellow, green, black, khaki, magenta, green], linestyle=[solid, dash, dot, dashdot, longdash, spacedot], thickness=[2, 2, 2, 2, 2, 2], coloring=["SteelBlue", "DarkGreen", "Brown"], labels = [x, y], labeldirections=[horizontal, vertical], labelfont = ["TIMES New ROMAN", 13], legend = ["txt1", "txt2", "txt3"]);

The expressions f1(x,y), f2(x,y), and f3(x,y) are complex in form, and they are defined separately. 

For some instances, I get the implicitplot output. However, for many choices of x1 and x2, and y1 and y2, I get the following error message "`[Length of output exceeds limit of 1000000]`". I tried many options to fix the issue, e.g., using the options gridrefine=0, crossingrefine=0, grid=[50,50], numpoints=1000. No luck yet!

I would appreciate your input to resolve the issue. 

Regards,

Omkar

The command completion facility is real time saver. On the other hand, entering the colon dash is not fluent since it requires searching the keys on the key board.

I was wondering if there is a keyboard shortcut that enters both characters at once.

Hi

I want to add this rule to maple invlaplace:

invlaplace(Divide[exp(-s*a),b*Power[s,2] +c)]) - Wolfram|Alpha

It works on expressions that use "exp(-s*a)" but not on expressions with "e^(-s*a)". I do not know how to force maple to substitute the expressions and I do not know how to formulate this rule to make it stable. I need this functionality since maple returns results with e^(...) instead of exp(...). Can you please help me? I have attached a workbook example.

restart;with(inttrans)

[addtable, fourier, fouriercos, fouriersin, hankel, hilbert, invfourier, invhilbert, invlaplace, invmellin, laplace, mellin, savetable, setup]

(1)

addtable(invlaplace,exp(-s*a)/(b*s^2+c),Heaviside(t - a)*sin(sqrt(c)*(t-a)/sqrt(b))*1/(sqrt(b)*sqrt(c)),s,t,a,a::positive)

addtable(invlaplace,e^(-s*a)/(b*s^2+c),Heaviside(t - a)*sin(sqrt(c)*(t-a)/sqrt(b))*1/(sqrt(b)*sqrt(c)),s,t,a,a::positive)

 

assume(a_pos::positive)

invlaplace(exp(-s*a_pos)/(b*s^2 + c), s, t)

Heaviside(t-a_pos)*sin((c/b)^(1/2)*(t-a_pos))*(c/b)^(1/2)/c

(2)

invlaplace(e^(-s*a_pos)/(b*s^2 + c), s, t)

invlaplace(e^(-s*a_pos)/(b*s^2+c), s, t)

(3)

 

algsubs(e^=exp,e^c)

Error, symbol unexpected

 

NULL

Download inttrans_exponent_question.mw

Thanks!

edit: simplified example

Consider a soil moisture transport problem with parameters: a = 9.88\times10^{-5} m/s,  b = -0.0065\ m3/m3, and D = 3.51*10^{-7} m2/s. The length is L=0.08 m, and no-flux (outflow) is assumed, meaning q=0. In this case θ0= 0.355$ and θL = 0.10.

A solution is expressed as a contour integral involving a complex-valued function V(k,x,t) and evaluated numerically in Maple using parameterized contours k1(r),k2(r),k3(s).

However, when this code is executed, Maple takes an extremely long time and appears to run indefinitely.

Could you suggest an alternative numerical or analytical approach ( that could improve efficiency when evaluating this type of contour integral?

a := 988/10000000;
b := -65/10000;
d := 351/1000000000;
q := 0;
theta0 := 355/1000;
thetaL := 1/10;
L := 8/100;
mu := a*(theta0 + b)/d;
c := a*(thetaL + b)/d;

mu := a*(theta0 + b)/d;
c := a*(thetaL + b)/d;

V := 1/(2*Pi)*exp(-d*k^2*t)*((exp(k*x*I)(mu - k*I) - exp(-mu*L)*exp(k*(L - x)*I)*(mu + L*I))*k*cos(k*L)/(k^2 + mu^2) + c*sin(k*L) - exp(k*L*I)(k*I + c)*sin(k*x)*(1 - exp(-mu*L)*exp(-I*k*L))/(mu + k*I) - (k*cos(k(L - x)) + c*sin(k(L - x)))*(1 - exp(-mu*L)*exp(k*L*I))/(mu - k*I) + 2*I*k*d*(k*cos(k(L - x)) + c*sin(k(L - x)))/(d*k^2 + a*q/d))/(k*cos(k*L) + c*sin(k*L)):

l := 5;
k1 := r -> l + I + r*exp(1/6*I*Pi);
k2 := r -> -l + I + r*exp(5/6*I*Pi);
k3 := s -> s + I;

dk1 := D(k1);
dk2 := D(k2);
dk3 := D(k3);

integrand1 := Re(eval(V, k = k1(r))*dk1(r) + eval(V, k = k2(r))*dk2(r));
integrand3 := Re(eval(V, k = k3(s))*dk3(s));
integrand2 := simplify(evalc(integrand1));

integrand4 := simplify(evalc(integrand3));
approx_u := proc(x, t) local temp1, temp2; temp1 := Int(eval(integrand2, [:-x = x, :-t = t]), r = 0 .. infinity, method = _d01amc); temp2 := Int(eval(integrand4, [:-x = x, :-t = t]), s = -L .. L, method = _d01ajc); evalf(temp1 + temp2); end proc;

Dear power users,

In the attached document, I try to have DO2i in units of "mL/min/m²" on the Y-axis of my plot. I have tried to obtain this with "convert", but to no avail. Could anyone show me how to obtain the desired result?

Thank you for your timePlotQuestionMaplePrimes.mw

Can someone explain why the element selection inside Compare works differently for the second argument?

ode := diff(diff(y(x), x), x)+sin(y(x)) = 0; IC := y(infinity) = Pi; sol := [dsolve([ode, IC])]

diff(diff(y(x), x), x)+sin(y(x)) = 0

 

y(infinity) = Pi

 

[y(x) = RootOf(-(Int(1/(2*cos(_a)+RootOf(-(Int(1/(2*cos(_a)+_Z)^(1/2), _a = 0 .. Pi))+_a+c__2))^(1/2), _a = 0 .. _Z))+x+c__2), y(x) = RootOf(Int(1/(2*cos(_a)+RootOf(Int(1/(2*cos(_a)+_Z)^(1/2), _a = 0 .. Pi)+_a+c__2))^(1/2), _a = 0 .. _Z)+x+c__2)]

(1)

dsolve([ode, y(x__IC) = y__IC])

y(x) = RootOf(-(Int(1/(2*cos(_a)+RootOf(-(Int(1/(2*cos(_a)+_Z)^(1/2), _a = 0 .. y__IC))+x__IC+c__2))^(1/2), _a = 0 .. _Z))+x+c__2), y(x) = RootOf(Int(1/(2*cos(_a)+RootOf(Int(1/(2*cos(_a)+_Z)^(1/2), _a = 0 .. y__IC)+x__IC+c__2))^(1/2), _a = 0 .. _Z)+x+c__2)

(2)

ExpressionTools:-Compare(sol[1], [y(x) = RootOf(-(Int(1/(2*cos(_a)+RootOf(-(Int(1/(2*cos(_a)+_Z)^(1/2), _a = 0 .. y__IC))+x__IC+c__2))^(1/2), _a = 0 .. _Z))+x+c__2), y(x) = RootOf(Int(1/(2*cos(_a)+RootOf(Int(1/(2*cos(_a)+_Z)^(1/2), _a = 0 .. y__IC)+x__IC+c__2))^(1/2), _a = 0 .. _Z)+x+c__2)][1])

"([[y(x)=RootOf(-(∫)[0]^_Z1/(sqrt(2 cos(_a)+RootOf(-(∫)[0]^Pi1/(sqrt(2 cos(_a)+_Z)) ⅆ_a+_a+`c__2`))) ⅆ_a+x+`c__2`)],[[y(x)=RootOf(-(∫)[0]^_Z1/(sqrt(2 cos(_a)+RootOf(-(∫)[0]^`y__IC`1/(sqrt(2 cos(_a)+_Z)) ⅆ_a+`x__IC`+`c__2`))) ⅆ_a+x+`c__2`),y(x)=RootOf((∫)[0]^_Z1/(sqrt(2 cos(_a)+RootOf((∫)[0]^`y__IC`1/(sqrt(2 cos(_a)+_Z)) ⅆ_a+`x__IC`+`c__2`))) ⅆ_a+x+`c__2`)][1]]])"

(3)

whattype(y(x) = RootOf(-(Int(1/(2*cos(_a)+RootOf(-(Int(1/(2*cos(_a)+_Z)^(1/2), _a = 0 .. y__IC))+x__IC+c__2))^(1/2), _a = 0 .. _Z))+x+c__2), y(x) = RootOf(Int(1/(2*cos(_a)+RootOf(Int(1/(2*cos(_a)+_Z)^(1/2), _a = 0 .. y__IC)+x__IC+c__2))^(1/2), _a = 0 .. _Z)+x+c__2))

exprseq

(4)

ExpressionTools:-Compare(sol[1], (y(x) = RootOf(-(Int(1/(2*cos(_a)+RootOf(-(Int(1/(2*cos(_a)+_Z)^(1/2), _a = 0 .. y__IC))+x__IC+c__2))^(1/2), _a = 0 .. _Z))+x+c__2), y(x) = RootOf(Int(1/(2*cos(_a)+RootOf(Int(1/(2*cos(_a)+_Z)^(1/2), _a = 0 .. y__IC)+x__IC+c__2))^(1/2), _a = 0 .. _Z)+x+c__2))[1])

"([[y(x)=RootOf(-(∫)[0]^_Z1/(sqrt(2 cos(_a)+RootOf(-(∫)[0]^Pi1/(sqrt(2 cos(_a)+_Z)) ⅆ_a+_a+`c__2`))) ⅆ_a+x+`c__2`)],[(y(x)=RootOf(-(∫)[0]^_Z1/(sqrt(2 cos(_a)+RootOf(-(∫)[0]^`y__IC`1/(sqrt(2 cos(_a)+_Z)) ⅆ_a+`x__IC`+`c__2`))) ⅆ_a+x+`c__2`),y(x)=RootOf((∫)[0]^_Z1/(sqrt(2 cos(_a)+RootOf((∫)[0]^`y__IC`1/(sqrt(2 cos(_a)+_Z)) ⅆ_a+`x__IC`+`c__2`))) ⅆ_a+x+`c__2`))[1]]])"

(5)

NULL

(y(x) = RootOf(-(Int(1/(2*cos(_a)+RootOf(-(Int(1/(2*cos(_a)+_Z)^(1/2), _a = 0 .. y__IC))+x__IC+c__2))^(1/2), _a = 0 .. _Z))+x+c__2), y(x) = RootOf(Int(1/(2*cos(_a)+RootOf(Int(1/(2*cos(_a)+_Z)^(1/2), _a = 0 .. y__IC)+x__IC+c__2))^(1/2), _a = 0 .. _Z)+x+c__2))[1]; ExpressionTools:-Compare(sol[1], %)

y(x) = RootOf(-(Int(1/sqrt(2*cos(_a)+RootOf(-(Int(1/sqrt(2*cos(_a)+_Z), _a = 0 .. y__IC))+x__IC+c__2)), _a = 0 .. _Z))+x+c__2)

(6)
 

NULL

Download Compare_and_indexing_output.mw

With thanks to @sand and @janhardo for their help in solving a variational problem using Maple, I'm presenting a puzzle worth remembering. It was originally published in an IBM competition over 20 years ago under simpler conditions than those presented here, and later posed in a more challenging form in private circles:

A farmer wants to buy a section of a large meadow/pasture for his sheep. He likes a lone, large oak tree on the meadow. This tree is to be the starting and ending point of the fence around the desired section. The fence is exactly 100 meters long. The farmer creates a sketch of the situation. He places the oak tree at the origin of a Cartesian coordinate system with a positive y-axis pointing north and sketches the estimated location of the desired meadow section east of the oak tree. The seller then stipulates that the price per square meter increases linearly eastward by a factor of 1/m³. An agreement is reached, and the farmer now considers the optimal route for the fence to maximize the return on his investment.

The fence route without corners and the value of the purchased meadow must be calculated.

Dear Maple users

I can easily draw a sphere with the following command:

plot3d(1, t = -Pi .. Pi, p = 0 .. Pi, coords = spherical)

Let's say I want to change the number of latitude circles so that there is one for every 10 degrees? Longitude circles are given for every 15 degrees, which is appropriate - corresponding to one for every hour! But in general: Is there a way to change the number of circles of both types? Or maybe you need to piece together a plot of several kinds of plots?

Erik

# The question is: how to get S knowing E?  All the attemps below after S assigned (suggested by Claude) fail factoring E.  

restart;

interface(showassumed = 0): 
assume(a>=0, b>=0, c>=0);
assume(x::real, y::real,z::real);

S := sqrt(x^2+(a+sqrt(y^2+(b+sqrt(z^2+c^2))^2))^2):
E := expand(S):
simplify(E,sqrt):
combine(E,sqrt):
simplify(combine(E, sqrt), sqrt):
evalindets(E, 'radical', f -> simplify(f, sqrt)):
simplify(radnormal(E), sqrt):

 My question concerns such situation:

 how to concatenate the following matrices:

Matrix([[-2, 1, 0, 0, 0, 0, 0, 0], [1, -2, 1, 0, 0, 0, 0, 0], [0, 1, -2, 1, 0, 0, 0, 0], [0, 0, 1, -2, 1, 0, 0, 0], [0, 0, 0, 1, -2, 1, 0, 0], [0, 0, 0, 0, 1, -2, 1, 0], [0, 0, 0, 0, 0, 1, -2, 1], [0, 0, 0, 0, 0, 0, 1, -2]])/(1/50)^2

Matrix([[0, 0, 0, 0, 0, 0, 0, 0], [1, -2, 1, 0, 0, 0, 0, 0], [0, 1, -2, 1, 0, 0, 0, 0], [0, 0, 1, -2, 1, 0, 0, 0], [0, 0, 0, 1, -2, 1, 0, 0], [0, 0, 0, 0, 1, -2, 1, 0], [0, 0, 0, 0, 0, 1, -2, 1], [0, 0, 0, 0, 0, 0, 1, -2]])

Matrix([[-2, 1, 0, 0, 0, 0, 0, 0], [1, -2, 1, 0, 0, 0, 0, 0], [0, 1, -2, 1, 0, 0, 0, 0], [0, 0, 1, -2, 1, 0, 0, 0], [0, 0, 0, 1, -2, 1, 0, 0], [0, 0, 0, 0, 1, -2, 1, 0], [0, 0, 0, 0, 0, 1, -2, 1], [0, 0, 0, 0, 0, 0, 1, -2]])/(1/25)^2

and

1/3*Matrix([[0, 0, 0, 0, 0, 0, 0, 0], [1, -2, 1, 0, 0, 0, 0, 0], [0, 1, -2, 1, 0, 0, 0, 0], [0, 0, 1, -2, 1, 0, 0, 0], [0, 0, 0, 1, -2, 1, 0, 0], [0, 0, 0, 0, 1, -2, 1, 0], [0, 0, 0, 0, 0, 1, -2, 1], [0, 0, 0, 0, 0, 0, 1, -2]])

????

Is there an easier or shorter way to do the following? Any handy package command?

RootOf(-(Int(1/sqrt(2*cos(_a)+RootOf(-(Int(1/sqrt(2*cos(_a)+_Z), _a = 0 .. Pi))+_a+c__2)), _a = 0 .. _Z))+x+c__2)

RootOf(-(Int(1/(2*cos(_a)+RootOf(-(Int(1/(2*cos(_a)+_Z)^(1/2), _a = 0 .. Pi))+_a+c__2))^(1/2), _a = 0 .. _Z))+x+c__2)

(1)

indets(RootOf(-(Int(1/(2*cos(_a)+RootOf(-(Int(1/(2*cos(_a)+_Z)^(1/2), _a = 0 .. Pi))+_a+c__2))^(1/2), _a = 0 .. _Z))+x+c__2), 'specfunc(anything, RootOf)')

{RootOf(-(Int(1/(2*cos(_a)+_Z)^(1/2), _a = 0 .. Pi))+_a+c__2), RootOf(-(Int(1/(2*cos(_a)+RootOf(-(Int(1/(2*cos(_a)+_Z)^(1/2), _a = 0 .. Pi))+_a+c__2))^(1/2), _a = 0 .. _Z))+x+c__2)}

(2)

subs(_a = _b, {RootOf(-(Int(1/(2*cos(_a)+_Z)^(1/2), _a = 0 .. Pi))+_a+c__2), RootOf(-(Int(1/(2*cos(_a)+RootOf(-(Int(1/(2*cos(_a)+_Z)^(1/2), _a = 0 .. Pi))+_a+c__2))^(1/2), _a = 0 .. _Z))+x+c__2)}[1])

RootOf(-(Int(1/(2*cos(_b)+_Z)^(1/2), _b = 0 .. Pi))+_b+c__2)

(3)

subs({RootOf(-(Int(1/(2*cos(_a)+_Z)^(1/2), _a = 0 .. Pi))+_a+c__2), RootOf(-(Int(1/(2*cos(_a)+RootOf(-(Int(1/(2*cos(_a)+_Z)^(1/2), _a = 0 .. Pi))+_a+c__2))^(1/2), _a = 0 .. _Z))+x+c__2)}[1] = RootOf(-(Int(1/(2*cos(_b)+_Z)^(1/2), _b = 0 .. Pi))+_b+c__2), RootOf(-(Int(1/(2*cos(_a)+RootOf(-(Int(1/(2*cos(_a)+_Z)^(1/2), _a = 0 .. Pi))+_a+c__2))^(1/2), _a = 0 .. _Z))+x+c__2))

RootOf(-(Int(1/(2*cos(_a)+RootOf(-(Int(1/(2*cos(_b)+_Z)^(1/2), _b = 0 .. Pi))+_b+c__2))^(1/2), _a = 0 .. _Z))+x+c__2)

(4)

NULL

Related question: Is that substitution mathematically correct or does the _a belong to the outermost RootOf?

Download parameters_in_nested_RootOf.mw

1 2 3 4 5 6 7 Last Page 1 of 2459