MaplePrimes Questions

Hi all,

I'm currently running a parameter space search via Maple scripting. The pseudo-code goes something like this:

 

fopen text file to write data to;

initialize parameters (variable) x, y, and z;

for x number of iterations

   A:-Simulate(model.msim, with [parameters]);

   Update parameters with new values;

   Write to text file;

end do;

fclose(text file)

I use Maple 15 and I want to take the real and the imaginary part of a simple expression e.g. 5*Dirac(x)+3*I, having already assumed x a real value. However, Maple seems to have problem with the Dirac function. The output looks like this:

> assume(x, 'real');
> Re(5*Dirac(x)+3*I);
5 Re(Dirac(x))
> Im(5*Dirac(x)+3*I);
3 + 5 Im(Dirac(x))
 
Any thoughts on how to overcome this are welcomed.

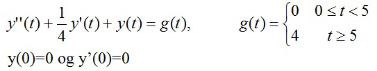
Hi I'm new to maple and have to solve this:



Find the transferfunction

I beleve the answer should be:
H(s) = Y(s)/G(s)  =  1/(s^2+(1/4)s+1)   (correct me if I'm wrong)
but i have to show how to do it in Maple in a scool project


please help me have tried for several hours now, but cant get it right

Hi,

Can someone please tell me why I am getting this error (in bold):

> ODE := diff(y(x), x)+3*y(x) = x^2
                                     
> ics := y(0) = 1

> dsolve({ode,ics})

Error, (in dsolve) not an ODE system with respect to the unknowns {y(0)}

restart; with(plots); Eq1 := diff(f(eta), `$`(eta, 3))-(diff(f(eta), eta))^2+m*f(eta)*(diff(f(eta), `$`(eta, 2)))-(M^2+lambda*P)*(diff(f(eta), eta)) = 0; Eq2 := diff(theta(eta), `$`(eta, 2))+m*pr*f(eta)*(diff(theta(eta), eta))-lambda1*pr*theta(eta)*(diff(f(eta), eta)) = 0; bcs1 := f(0) = s, (D(f))(0) = -1, (D(f))(10) = 1; pr := .72; M := 1; m := 2; lambda := 1; lambda1 := 1; bcs2 := theta(10) = 0, theta(0) = 1; L := [0.5e-1, .1, .2, .4, .6, .8, 1, 5, 10, 20]; for k to 10 do R := dsolve...

Hi everyone, I am getting this error message in maple can i get any help

Error, (in DynamicSystems:-RouthTable:-RouthTable) the polynomial must not contain complex values

Hi all

Can anyone suggest ways of speeding up this code ?

div_vec := proc(a::Vector,b::Vector)
# procedure returns the element-byelement
# division of vector a by vector b
local i,c:
c:=Vector(Dimension(a)):
for i from 1 to Dimension(a) do
c[i]:= a[i]/b[i]:
end do:
return c:
end proc:
Thanks
LR

Let G be an undirected graph having the vertices V={1,...,n}. A subset {i,j,k} is said to be a triangle of G if the complete graph with these vertices is a subgraph of G.
How to find the number of all triangles of G in an optimal way? The code should work with RandomGraph(400,1000).

I am plotting a curve generated from odeplot and I would like to fill the area under this curve.  I have tried filled=true and filled=[color="Blue",transparency=0.5] in the call to odeplot but it only plots the curve with no underfill.  Please advise on how to shade the area under a curve generated from odeplot.  Thanks very much.

Is there a simple way to have Maple re-formulate an expression like:

  r^2 * sum(A(j)*r^(n+j))

to :

  sum(A(j)*r^(n+j+2)

 

simplity, collect doesn't seem to do it.

Is there a simple function, or does one have to revert to the subsop procesure reported in a 2008 post.

 


Thanks.

Hi

 

I am working with mapleSim in two different computers, one in my school and another that is mine. I am using dropbox to keep the mapleSim documents and the costum component that i am creating synchronized in both PC´s. But i have noticed that mapleSim store the file that i attacht in another folder, so when i change the components equations in one document, on the other PC there are no changes. Is it possible to change the folder where the...

I want maple 15 to show me how it works out the formula (transposition) from N = 40^(1.5t) to t = 0.666..7(ln(1/40)*N)
 
I want to know how it transposes this formula from N to t I want the steps the actual working, I can't seem to figure it out as I'm using maple 15 as a learning tool, I have all the student modules installed but have no idea what I'm doing here
 
> N = 40*exp(1.5*t);
N = 40 exp(1.5 t)
 

Hello

I need some help on a problem which seems simple...

I'm doing as follows:

restart; with(LinearAlgebra); with(plots):

II[C] := proc (delta) options operator, arrow; 230/(84192.96489-230*cos(delta)+(-1)*4128.950345*sin(delta)) end proc

(sorry for the formatting)

plot(II[C](delta), delta = -Pi .. Pi)

(This works just fine and produces a nice plot, then I continue)

f1 := plot(II[C](delta), delta = -Pi .. Pi)

Hi guys,

I tried many days but cannot find where to download or buy MapleNet 15. Please help me I am so appriciated.

Hi all,

I wonder if it makes sense to use tables as datatype for efficient maple code. I need this datatype to pass parameters to a procedure which is called many times.

In particular, I have the following criteria:

* efficient (fast) to access for read and write.

* potentially thread save ( I can also imagine having individual copies for each thread)

* present in future Maple versions

* easy to transform into C-code later

First 1784 1785 1786 1787 1788 1789 1790 Last Page 1786 of 2459