J4James

355 Reputation

12 Badges

13 years, 283 days

MaplePrimes Activity


These are replies submitted by J4James

@Preben Alsholm 

I have to agree with you on this.

The graph has some visual resemblance with the original one.

Your proposed solution has this issue with the infinity = 9,

if I try to check for some thing less than 9 or greater than 9, then

I have to change the entires in the interval of study.

Anyway, it was a great effort on your behalf to come up with such

a robust way of handling such a complicated situation.

I am hoping that people are reading our posts, maybe some one has

a different idea and will come up with an elegant way to handle the problem.

 

Thanks

@Preben Alsholm

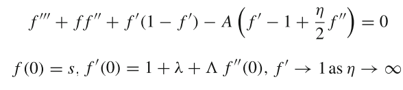
Well, the values of s, Omega, A in one case are given to be zero, respectively.

For a more clear info please see this image, where things are explained in details.

What, I am trying to do is to get the results in Fig. 2(a).

This image is taken from this paper, page number 6.

Unsteady_mixed_conve.pdf

 

@Preben Alsholm 

Thanks for point this out.

Actually, what I am trying to do is to solve this ODE using shooting method.

but the problem is that when I use the ICS in this form,

IC:={f(0)=s, G(0)=1+lambda+Omega*H(0)}:

I get an error and I do not know how to interpret such type of condition,

(G(0)=1+lambda+Omega*H(0)) in maple for shooting method.

So, to try my luck, I took H(0)=1 and considered the Omega = 0.

But you rightly pointed it out (my mistake).

Now, I do not where to go and from where to start.

I still need further assistance on this.

Thanks

If you ever try to read the maple code carefully then you will find

this

ShootLib := "C:/khan/Shoot9/":
which is asking for the file name Shoot9, which contains the library
for the shooting method.
Before you run your code, you need to put that file some where on your
computer and then give the path to that file.
Thanks
Shoot9.zip

If you ever try to read the maple code carefully then you will find

this

ShootLib := "C:/khan/Shoot9/":
which is asking for the file name Shoot9, which contains the library
for the shooting method.
Before you run your code, you need to put that file some where on your
computer and then give the path to that file.
Thanks
Shoot9.zip

Thanks

It worked, but I need to find a way to get the data in a .txt file,

which then can be used for further analysis.

Some thing like this

 Q     Dtheta[Q]

-1.5   3

-1     2

.      .

.     .

Thanks

It worked, but I need to find a way to get the data in a .txt file,

which then can be used for further analysis.

Some thing like this

 Q     Dtheta[Q]

-1.5   3

-1     2

.      .

.     .

@Markiyan Hirnyk 

 

The independent variables are (x1,x2,x3) and T is T(x1,x2,x3).


Thanks

First 19 20 21 Page 21 of 21