Question: How to find the coefficients of a polynomial

I am trying to solve a differential equations with the periodic coefficients, which have the following form:

where 

 

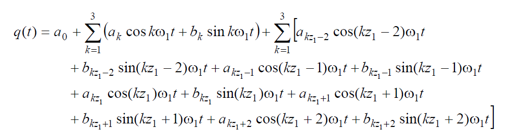
With harmonic balance method, based on the analytic form of the functions, a solution for q(t) is proposed,

 

 This estimates now is introduced back to original differential equation and its right-hand side is written as a sum of trigonometric functions. By settiing the coefficients in the sum of the trigonometric functions, equal to zero. This will result in 37 algebraic equatioins for the unknowns, as a's and b's.

 

Now my question is how to carry it out in MAPLE. I would like to find the analytic expressions for the coefficients with known functions.

Thanks in advance for your help.

 

 

Please Wait...