Question: A plot within a plot

Dear Maple user, please help me to show two legends inside the plot. Here is the codes attached. restart:
h:=z->1-(delta2/2)*(1 + cos(2*(Pi/L1)*(z - d1 - L1))):
K1:=((4/h(z)^4)-(sin(alpha)/F)-h(z)^2+Nb*h(z)^4):
T1:=Int(K1,z=0..1):
L1:=0.2: F:=10:
d1:=0.2:
T2:=evalf(T1):
T3:=unapply(T2,alpha,Nb,delta2):
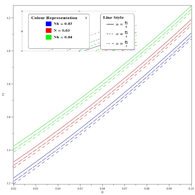
plot([seq(seq(T3(alpha, Nb, delta2), Nb in [0.1, 0.2,0.3]), alpha in [Pi/6, Pi/4, Pi/3])], delta2 = 0.02.. 0.1,  titlefont = ["ROMAN", 15], labels = ["δ1", "T3"], labeldirections = ["horizontal", "vertical"], labelfont = ["SYMBOL", 11], linestyle = [solid, solid,solid,longdash, longdash,longdash, spacedash,spacedash, spacedash], symbol = [BOX, CROSS, CIRCLE, BOX, CROSS, CIRCLE, BOX, CROSS, CIRCLE], color = [blue,red, green, blue,red, green,blue,red, green], axes = boxed,size = [1000, 1000]);

Please Wait...