Andiguys

85 Reputation

5 Badges

1 years, 127 days

MaplePrimes Activity


These are replies submitted by Andiguys

@dharr I have solved it using KKT Condition, but lamda is zero. Is it right???


 

restart

with(Optimization); with(plots); with(LinearAlgebra)

_local(Pi)

Pi

(1)

NULL

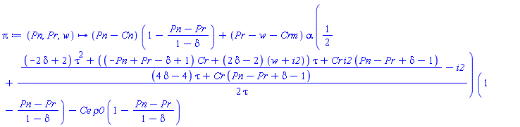
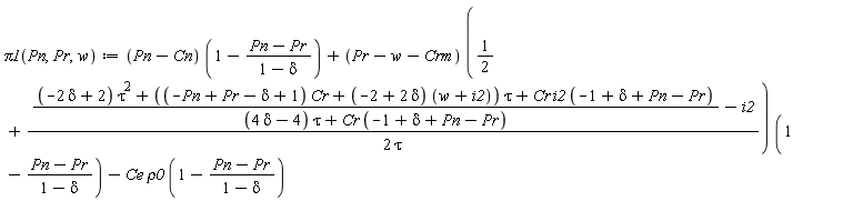
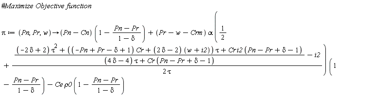
Pi := proc (Pn, Pr, w) options operator, arrow; (Pn-Cn)*(1-(Pn-Pr)/(1-delta))+(Pr-w-Crm)*alpha*(1/2+(1/2)*(((-2*delta+2)*tau^2+((-Pn+Pr-delta+1)*Cr+(2*delta-2)*(w+i2))*tau+Cr*i2*(Pn-Pr+delta-1))/((4*delta-4)*tau+Cr*(Pn-Pr+delta-1))-i2)/tau)*(1-(Pn-Pr)/(1-delta))-Ce*rho0*(1-(Pn-Pr)/(1-delta)) end proc

proc (Pn, Pr, w) options operator, arrow; (Pn-Cn)*(1-(Pn-Pr)/(1-delta))+(Pr-w-Crm)*alpha*(1/2+(1/2)*(((-2*delta+2)*tau^2+((-Pn+Pr-delta+1)*Cr+(2*delta-2)*(w+i2))*tau+Cr*i2*(Pn-Pr+delta-1))/((4*delta-4)*tau+Cr*(Pn-Pr+delta-1))-i2)/tau)*(1-(Pn-Pr)/(1-delta))-Ce*rho0*(1-(Pn-Pr)/(1-delta)) end proc

(2)

NULL

NULL

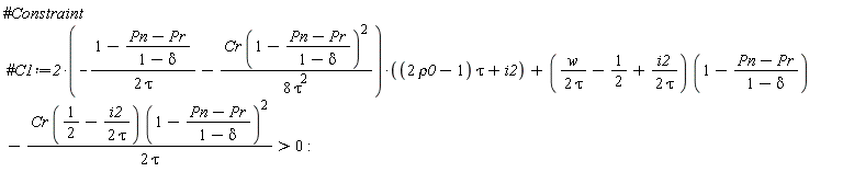
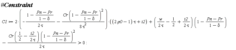
C1 := (((Cr+4*tau)*delta-4*tau+(Pn-Pr-1)*Cr)*rho0+(delta-1)*(i2-tau))/(delta-1) <= w

(((Cr+4*tau)*delta-4*tau+(Pn-Pr-1)*Cr)*rho0+(delta-1)*(i2-tau))/(delta-1) <= w

(3)

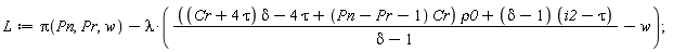
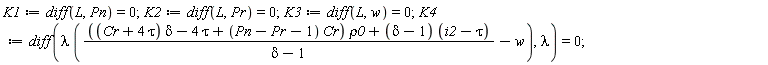
L := Pi(Pn, Pr, w)-lambda*((((Cr+4*tau)*delta-4*tau+(Pn-Pr-1)*Cr)*rho0+(delta-1)*(i2-tau))/(delta-1)-w)

(Pn-Cn)*(1-(Pn-Pr)/(1-delta))+(Pr-w-Crm)*alpha*(1/2+(1/2)*(((-2*delta+2)*tau^2+((-Pn+Pr-delta+1)*Cr+(2*delta-2)*(w+i2))*tau+Cr*i2*(Pn-Pr+delta-1))/((4*delta-4)*tau+Cr*(Pn-Pr+delta-1))-i2)/tau)*(1-(Pn-Pr)/(1-delta))-Ce*rho0*(1-(Pn-Pr)/(1-delta))-lambda*((((Cr+4*tau)*delta-4*tau+(Pn-Pr-1)*Cr)*rho0+(delta-1)*(i2-tau))/(delta-1)-w)

(4)

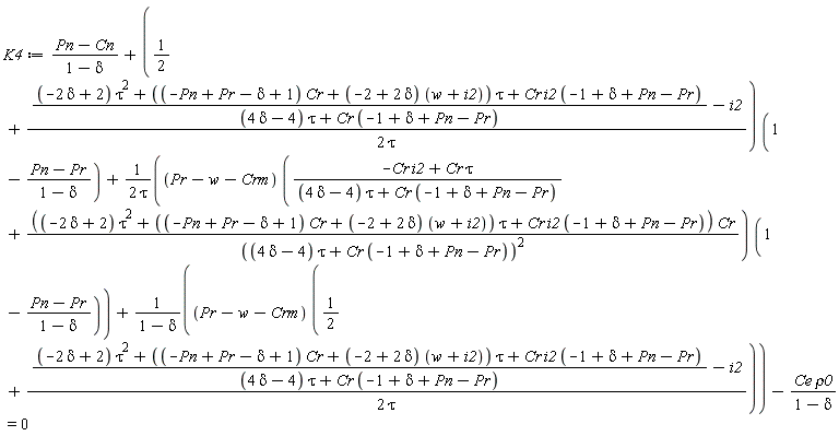
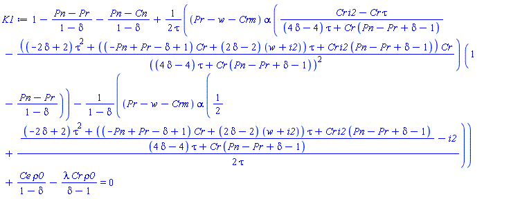
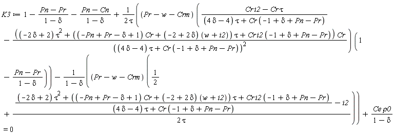
K1 := diff(L, Pn) = 0; K2 := diff(L, Pr) = 0; K3 := diff(L, w) = 0; K4 := diff(lambda*((((Cr+4*tau)*delta-4*tau+(Pn-Pr-1)*Cr)*rho0+(delta-1)*(i2-tau))/(delta-1)-w), lambda) = 0

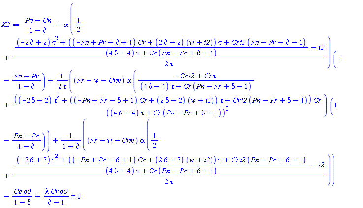
1-(Pn-Pr)/(1-delta)-(Pn-Cn)/(1-delta)+(1/2)*(Pr-w-Crm)*alpha*((Cr*i2-Cr*tau)/((4*delta-4)*tau+Cr*(Pn-Pr+delta-1))-((-2*delta+2)*tau^2+((-Pn+Pr-delta+1)*Cr+(2*delta-2)*(w+i2))*tau+Cr*i2*(Pn-Pr+delta-1))*Cr/((4*delta-4)*tau+Cr*(Pn-Pr+delta-1))^2)*(1-(Pn-Pr)/(1-delta))/tau-(Pr-w-Crm)*alpha*(1/2+(1/2)*(((-2*delta+2)*tau^2+((-Pn+Pr-delta+1)*Cr+(2*delta-2)*(w+i2))*tau+Cr*i2*(Pn-Pr+delta-1))/((4*delta-4)*tau+Cr*(Pn-Pr+delta-1))-i2)/tau)/(1-delta)+Ce*rho0/(1-delta)-lambda*Cr*rho0/(delta-1) = 0

 

(Pn-Cn)/(1-delta)+alpha*(1/2+(1/2)*(((-2*delta+2)*tau^2+((-Pn+Pr-delta+1)*Cr+(2*delta-2)*(w+i2))*tau+Cr*i2*(Pn-Pr+delta-1))/((4*delta-4)*tau+Cr*(Pn-Pr+delta-1))-i2)/tau)*(1-(Pn-Pr)/(1-delta))+(1/2)*(Pr-w-Crm)*alpha*((-Cr*i2+Cr*tau)/((4*delta-4)*tau+Cr*(Pn-Pr+delta-1))+((-2*delta+2)*tau^2+((-Pn+Pr-delta+1)*Cr+(2*delta-2)*(w+i2))*tau+Cr*i2*(Pn-Pr+delta-1))*Cr/((4*delta-4)*tau+Cr*(Pn-Pr+delta-1))^2)*(1-(Pn-Pr)/(1-delta))/tau+(Pr-w-Crm)*alpha*(1/2+(1/2)*(((-2*delta+2)*tau^2+((-Pn+Pr-delta+1)*Cr+(2*delta-2)*(w+i2))*tau+Cr*i2*(Pn-Pr+delta-1))/((4*delta-4)*tau+Cr*(Pn-Pr+delta-1))-i2)/tau)/(1-delta)-Ce*rho0/(1-delta)+lambda*Cr*rho0/(delta-1) = 0

 

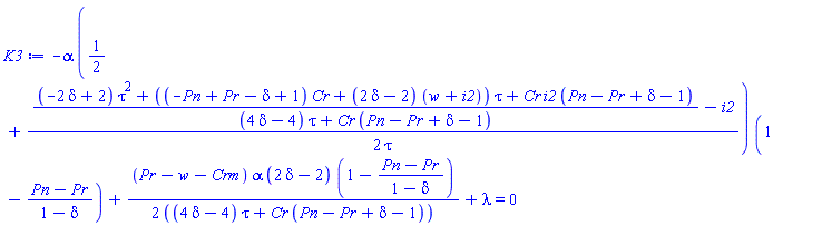
-alpha*(1/2+(1/2)*(((-2*delta+2)*tau^2+((-Pn+Pr-delta+1)*Cr+(2*delta-2)*(w+i2))*tau+Cr*i2*(Pn-Pr+delta-1))/((4*delta-4)*tau+Cr*(Pn-Pr+delta-1))-i2)/tau)*(1-(Pn-Pr)/(1-delta))+(1/2)*(Pr-w-Crm)*alpha*(2*delta-2)*(1-(Pn-Pr)/(1-delta))/((4*delta-4)*tau+Cr*(Pn-Pr+delta-1))+lambda = 0

 

(((Cr+4*tau)*delta-4*tau+(Pn-Pr-1)*Cr)*rho0+(delta-1)*(i2-tau))/(delta-1)-w = 0

(5)

sol := solve({K1, K2, K3, K4}, {Pn, Pr, lambda, w})

{Pn = (4*alpha*rho0^2*tau+Crm*alpha*rho0-alpha*delta*rho0+alpha*i2*rho0-alpha*rho0*tau+Ce*rho0+alpha*rho0+Cn)/(alpha*rho0+1), Pr = (4*alpha*rho0^2*tau+Crm*alpha*rho0+alpha*i2*rho0-alpha*rho0*tau+Ce*rho0+Cn+delta-1)/(alpha*rho0+1), lambda = 0, w = 4*rho0*tau+i2-tau}

(6)

``


 

Download Q_1.mw


 

@dharr 

The above solution was obtained when I solved the following objective function with a constraint, but it appears to be incorrect.

Could you please help me solve the objective function under the condition that the constraint is binding? I would also like to know the KKT condition under which the objective function is maximized and the optimal values of Pn, Pr, and w are obtained.


 

restart

with(Optimization); with(plots); with(LinearAlgebra)

_local(Pi)

Pi

(1)

``

Pi := proc (Pn, Pr, w) options operator, arrow; (Pn-Cn)*(1-(Pn-Pr)/(1-delta))+(Pr-w-Crm)*alpha*(1/2+(1/2)*(((-2*delta+2)*tau^2+((-Pn+Pr-delta+1)*Cr+(2*delta-2)*(w+i2))*tau+Cr*i2*(Pn-Pr+delta-1))/((4*delta-4)*tau+Cr*(Pn-Pr+delta-1))-i2)/tau)*(1-(Pn-Pr)/(1-delta))-Ce*rho0*(1-(Pn-Pr)/(1-delta)) end proc

proc (Pn, Pr, w) options operator, arrow; (Pn-Cn)*(1-(Pn-Pr)/(1-delta))+(Pr-w-Crm)*alpha*(1/2+(1/2)*(((-2*delta+2)*tau^2+((-Pn+Pr-delta+1)*Cr+(2*delta-2)*(w+i2))*tau+Cr*i2*(Pn-Pr+delta-1))/((4*delta-4)*tau+Cr*(Pn-Pr+delta-1))-i2)/tau)*(1-(Pn-Pr)/(1-delta))-Ce*rho0*(1-(Pn-Pr)/(1-delta)) end proc

(2)

``

NULL

C1 := (((Cr+4*tau)*delta-4*tau+(Pn-Pr-1)*Cr)*rho0+(delta-1)*(i2-tau))/(delta-1) <= w

(((Cr+4*tau)*delta-4*tau+(Pn-Pr-1)*Cr)*rho0+(delta-1)*(i2-tau))/(delta-1) <= w

(3)

``


 

Download Q_1.mw

@dharr 

How can we simultaneously solve three equations of the form:
w=f(Pn,Pr)
Pn=g(w,Pr)
Pr=h(Pn,w)

so that we obtain standalone expressions for w, Pn and Pr?

restart

with(Optimization); with(plots); with(LinearAlgebra)

_local(D)

D

(1)
 

D := 1-(Pn-Pr)/(1-delta)

1-(Pn-Pr)/(1-delta)

(2)

N := 2*delta*tau*(i2-tau+w)-2*tau*(i2-tau+w)+Cr*(i2-tau)*(Pn-Pr+delta-1); M := (4*delta-4)*tau+Cr*(Pn-Pr+delta-1)

2*delta*tau*(i2-tau+w)-2*tau*(i2-tau+w)+Cr*(i2-tau)*(Pn-Pr+delta-1)

 

(4*delta-4)*tau+Cr*(Pn-Pr+delta-1)

(3)

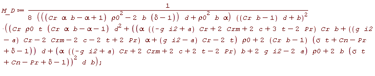
A := Cr*(M*(i2-tau)-N)/(tau*M^2); B := (delta-1)/M; lambda := alpha*D*(rho0*M/(1-delta)-Pr+w+Crm)

Cr*(((4*delta-4)*tau+Cr*(Pn-Pr+delta-1))*(i2-tau)-2*delta*tau*(i2-tau+w)+2*tau*(i2-tau+w)-Cr*(i2-tau)*(Pn-Pr+delta-1))/(tau*((4*delta-4)*tau+Cr*(Pn-Pr+delta-1))^2)

 

(delta-1)/((4*delta-4)*tau+Cr*(Pn-Pr+delta-1))

 

alpha*(1-(Pn-Pr)/(1-delta))*(rho0*((4*delta-4)*tau+Cr*(Pn-Pr+delta-1))/(1-delta)-Pr+w+Crm)

(4)

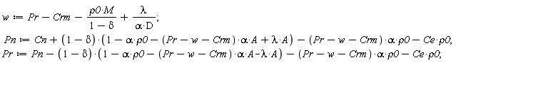
w := Pr-Crm-rho0*M/(1-delta)+lambda/(alpha*D); Pn := Cn+(1-delta)*(1-alpha*rho0-(Pr-w-Crm)*alpha*A+lambda*A)-(Pr-w-Crm)*alpha*rho0-Ce*rho0; Pr := Pn-(1-delta)*(1-alpha*rho0-(Pr-w-Crm)*alpha*A-lambda*A)-(Pr-w-Crm)*alpha*rho0-Ce*rho0

w

 

Error, recursive assignment

 

Error, recursive assignment

 
 

``

Download Simultaneously_solve.mw

@sand15 Thank you for the detailed clarification. I now understand that the FOC applies regardless of whether the maximum lies on the boundary or not, and that in constrained problems the maximum may occur at the boundary even if the FOC is not satisfied there. Your explanation cleared up my confusion.

@sand15 

I agree that there is no interior maximum.

However, after rearranging the constraint by isolating w on one side, I obtain the following form of the constraint.


C1:=  -w < -(((Cr + 4*tau)*rho0 + i2 - tau)*delta + (-4*tau + (-1 + Pn - Pr)*Cr)*rho0 - i2 + tau)/(-1 + delta)

 In this case, when the constraint is binding, what would be the optimal values of Pn,Pr, and w that maximize the objective function? could you please indicate the analytical equations?

@sand15 
 

Apologies, i1 = (2*rho0 - 1)*tau + i2,   i1 is between [0,1]

If I understand correctly, the maximum occurs on the boundary. In that case, what are the analytical first-order/optimality equations for Pn, Pr​, and w?

                                                        OR 

In the unconstrained case, the Hessian has a zero in one of its principal minors and Determinant zero

When the constraint is binding, the Lagrangian Hessian also has a zero in one of the minors, and its determinant is zero.

So, does this imply that in both cases there is no maximum solution?

 

@sand15 
I am working on maximizing an objective function with three decision variables: Pn, Pr and w. I want to understand the difference between cases where the constraint is binding versus not binding. Specifically, when the constraint is binding, what are the analytical optimal values of Pn​, Pr and w? Also, under what conditions do we get optimal values, and what will be the value of the KKT multiplier μ?

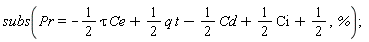
 Data = [C0 = 0.02, Ce = 0.05, Cr = 0.05, alpha=0.9, delta = 0.7, i2 = 0.1, rho0 = 0.5, tau = 0.05, Cn=0.1, Crm=0.05] Any missing DATA you can assume.

Note: Pn, Pr and w should be between 0 and 1

@sand15 

Thank you for pointing that out. I understand your concern and I apologize for mixing different problems together earlier.
Below is a clean worksheet with only the objective function and constraints so it’s clearer.

Also, I’m sorry if my way of following up seemed inconsiderate. I truly appreciate the time and effort you put into answering my queries, and I’ll make sure to acknowledge the solutions properly before moving on to new questions.

The last syntax you shared worked well and its correct.

restart

_local(Pi)

Pi

(1)

``

NULL

Pi := proc (Pn, Pr, w) options operator, arrow; (Pn-Cn)*(1-(Pn-Pr)/(1-delta))+(Pr-w-Crm)*alpha*rho0*(1-(Pn-Pr)/(1-delta))-Ce*rho0*(1-(Pn-Pr)/(1-delta)) end proc

C1 := (2*(-(1-(Pn-Pr)/(1-delta))/(2*tau)-Cr*(1-(Pn-Pr)/(1-delta))^2/(8*tau^2)))*((2*rho0-1)*tau+i2)+(w/(2*tau)-1/2+i2/(2*tau))*(1-(Pn-Pr)/(1-delta))-Cr*(1/2-i2/(2*tau))*(1-(Pn-Pr)/(1-delta))^2/(2*tau) > 0

 

 

Download Proposal_follow_up.mw

@sand15 Thankyou for the syntax. Just one more question.

If I have three decision variables and one constraint, can I still solve it using the same syntax? How would that work?

restart

with(Optimization); with(plots); with(LinearAlgebra)

_local(Pi)

Pi

(1)

NULL

NULL

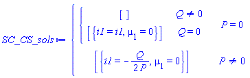
SC_CS_sols := solve(
  {
    diff(?????) - mu[1] = 0,
    mu[1]*(-2*(-(1 - (Pn - Pr)/(1 - delta))/(2*tau) - Cr*(1 - (Pn - Pr)/(1 - delta))^2/(8*tau^2))*((2*rho0 - 1)*tau + i2) + (w/(2*tau) - 1/2 + i2/(2*tau))*(1 - (Pn - Pr)/(1 - delta)) - Cr*(1/2 - i2/(2*tau))*(1 - (Pn - Pr)/(1 - delta))^2/(2*tau)) = 0
   
  }
  ,
  {i1, mu[1]}
  , 'parametric'='full', 'parameters'={P, Q, A, B}
)

SC_CS_sols := piecewise(P = 0, piecewise(Q <> 0, [], Q = 0, [{i1 = i1, mu[1] = 0}]), P <> 0, [{i1 = -Q/(2*P), mu[1] = 0}])

(2)

pi__m := (Pn - Cn)*(1 - (Pn - Pr)/(1 - delta)) + (Pr - w - Crm)*alpha*(1/2 + (i1 - i2)/(2*tau))*(1 - (Pn - Pr)/(1 - delta)) - Ce*rho0*(1 - (Pn - Pr)/(1 - delta)):

collect(pi__m, [Pn,Pr,w]):
PQR := [R, Q, P] =~ [coeffs(%, i1)]:

print~(PQR):

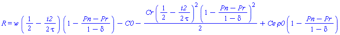
R = w*(1/2-(1/2)*i2/tau)*(1-(Pn-Pr)/(1-delta))-C0-(1/2)*Cr*(1/2-(1/2)*i2/tau)^2*(1-(Pn-Pr)/(1-delta))^2+Ce*rho0*(1-(Pn-Pr)/(1-delta))

 

Q = ((1/2)*w/tau-1/2+(1/2)*i2/tau)*(1-(Pn-Pr)/(1-delta))-(1/2)*Cr*(1/2-(1/2)*i2/tau)*(1-(Pn-Pr)/(1-delta))^2/tau

 

P = -(1/2)*(1-(Pn-Pr)/(1-delta))/tau-(1/8)*Cr*(1-(Pn-Pr)/(1-delta))^2/tau^2

(3)

AB := [A = `2*`(-(1 - (Pn - Pr)/(1 - delta))/(2*tau) - Cr*(1 - (Pn - Pr)/(1 - delta))^2/(8*tau^2))*((2*rho0 - 1)*tau + i2) + (w/(2*tau) - 1/2 + i2/(2*tau))*(1 - (Pn - Pr)/(1 - delta)) - Cr*(1/2 - i2/(2*tau))*(1 - (Pn - Pr)/(1 - delta))^2/(2*tau) ]

[A = (2*rho0-1)*tau+i2, B = tau+i2]

(4)

ind  := indets(rhs~(PQR)) union indets(rhs~(AB));

{C0, Ce, Cr, Pn, Pr, delta, i2, rho0, tau, w}

(5)

randomize();
data:=[C0 = 0.02, Ce = 0.05, Cr = 0.05, Pn = 0.603882321, Pr = 0.45, delta = 0.7, i2 = 0.1, rho0 = 0.5, tau = 0.05, w = 0.243374];

PQRAB := { eval(PQR, data)[], eval(AB, data)[] };

all_solutions := allvalues~(eval(SC_CS_sols, PQRAB)):
all_pi        := map(s -> eval(eval(pi__m, data), s), all_solutions):
here          := ListTools:-Search(min(all_pi), all_pi):
SOLUTION      := [all_pi[here], all_solutions[here]];


plot(eval(pi__m, data), i1=eval(eval(A..B, AB), data), gridlines=true)

Download Proposal_follow_up.mw

@sand15 

Thank you very much for your detailed and helpful comments

You’re right , I’ll substitute the solved expression for K2 (the w solution) into {K3,K4} and solve it to simplify Maple’s task.

Point well taken, I will carefully check feasibility and not assume any solution is correct without verifying it myself.

Thanks again for the clear, constructive feedback.

 rcorless 750,  @sand15 and @dharr Thankyou for the reply.

I have modified my objective function and, as before, I am simultaneously solving three equations with three variables and multiple parameters. This process is giving me three different solution sets, and I am unsure which one is correct or should be considered.

Note: All parameters are positive and greater than zero. All decision variable Pn, Pr and w should be positive equal to or greater than zero.

restart

with(Optimization); with(plots); with(LinearAlgebra)

``

"Pi1(Pn,Pr,w):=(Pn-Cn) (1-(Pn-Pr)/(1-delta))+(Pr-w-Crm) (1/2+(((-2 delta+2) tau^2+((-Pn+Pr-delta+1) Cr+(-2+2 delta) (w+i2)) tau+Cr i2 (-1+delta+Pn-Pr))/((4 delta-4) tau+Cr (-1+delta+Pn-Pr))-i2)/(2 tau)) (1-(Pn-Pr)/(1-delta))-Ce rho0 (1-(Pn-Pr)/(1-delta))"

 

(1)

K2 := diff(Pi1(Pn, Pr, w), w) = 0

 

(2)

solve(K2, w)

-(1/2)*Crm+(1/2)*Pr+(1/2)*i2-(1/2)*tau

(3)

NULL

K3 := 1-(Pn-Pr)/(1-delta)-(Pn-Cn)/(1-delta)+(Pr-w-Crm)*((Cr*i2-Cr*tau)/((4*delta-4)*tau+Cr*(-1+delta+Pn-Pr))-((-2*delta+2)*tau^2+((-Pn+Pr-delta+1)*Cr+(-2+2*delta)*(w+i2))*tau+Cr*i2*(-1+delta+Pn-Pr))*Cr/((4*delta-4)*tau+Cr*(-1+delta+Pn-Pr))^2)*(1-(Pn-Pr)/(1-delta))/(2*tau)-(Pr-w-Crm)*(1/2+(((-2*delta+2)*tau^2+((-Pn+Pr-delta+1)*Cr+(-2+2*delta)*(w+i2))*tau+Cr*i2*(-1+delta+Pn-Pr))/((4*delta-4)*tau+Cr*(-1+delta+Pn-Pr))-i2)/(2*tau))/(1-delta)+Ce*rho0/(1-delta) = 0

 

(4)

K4 := (Pn-Cn)/(1-delta)+(1/2+(((-2*delta+2)*tau^2+((-Pn+Pr-delta+1)*Cr+(-2+2*delta)*(w+i2))*tau+Cr*i2*(-1+delta+Pn-Pr))/((4*delta-4)*tau+Cr*(-1+delta+Pn-Pr))-i2)/(2*tau))*(1-(Pn-Pr)/(1-delta))+(Pr-w-Crm)*((-Cr*i2+Cr*tau)/((4*delta-4)*tau+Cr*(-1+delta+Pn-Pr))+((-2*delta+2)*tau^2+((-Pn+Pr-delta+1)*Cr+(-2+2*delta)*(w+i2))*tau+Cr*i2*(-1+delta+Pn-Pr))*Cr/((4*delta-4)*tau+Cr*(-1+delta+Pn-Pr))^2)*(1-(Pn-Pr)/(1-delta))/(2*tau)+(Pr-w-Crm)*(1/2+(((-2*delta+2)*tau^2+((-Pn+Pr-delta+1)*Cr+(-2+2*delta)*(w+i2))*tau+Cr*i2*(-1+delta+Pn-Pr))/((4*delta-4)*tau+Cr*(-1+delta+Pn-Pr))-i2)/(2*tau))/(1-delta)-Ce*rho0/(1-delta) = 0

 

(5)

sol := solve({K2, K3, K4}, {Pn, Pr, w})

 

(6)

Download Q_solve.mw

@acer I am optimizing a profit function with respect to three decision variables Pn,Pr, and w. When I solve the problem, I obtain conditions such as Pn(Pr,w), Pr​(Pn​,w), and w(Pn,Pr), which makes them appear dependent on each other. How can I simultaneuosly solve K2,K3 and K4 so that I can obtain the optimal values of Pn, Pr​, and w simultaneously as independent decision variables?

 

restart

``

Pi1 := proc (Pn, Pr, w) options operator, arrow; (Pn-Cn)*(1-(Pn-Pr)/(1-delta))+(Pr-w-Cr)*((Pn-Pr)/(1-delta)-(-beta*(-(1/2)*tau+(1/2)*i2+(1/2)*w)*upsilon+Pr)/delta)-Ce*rho0*(1-(Pn-Pr)/(1-delta)) end proc

proc (Pn, Pr, w) options operator, arrow; (Pn-Cn)*(1-(Pn-Pr)/(1-delta))+(Pr-w-Cr)*((Pn-Pr)/(1-delta)-(-beta*(-(1/2)*tau+(1/2)*i2+(1/2)*w)*upsilon+Pr)/delta)-Ce*rho0*(1-(Pn-Pr)/(1-delta)) end proc

(1)

K2 := diff(Pi1(Pn, Pr, w), w) = 0

-(Pn-Pr)/(1-delta)+(-beta*(-(1/2)*tau+(1/2)*i2+(1/2)*w)*upsilon+Pr)/delta+(1/2)*(Pr-w-Cr)*beta*upsilon/delta = 0

(2)

diff(Pi1(Pn, Pr, w), `$`(w, 2))

-beta*upsilon/delta

(3)

solve(K2, w)

-(1/2)*(Cr*beta*delta*upsilon-Pr*beta*delta*upsilon+beta*delta*i2*upsilon-beta*delta*tau*upsilon-Cr*beta*upsilon+Pr*beta*upsilon-beta*i2*upsilon+beta*tau*upsilon-2*Pn*delta+2*Pr)/((-1+delta)*beta*upsilon)

(4)

K3 := diff(Pi1(Pn, Pr, w), Pn) = 0

1-(Pn-Pr)/(1-delta)-(Pn-Cn)/(1-delta)+(Pr-w-Cr)/(1-delta)+Ce*rho0/(1-delta) = 0

(5)

diff(Pi1(Pn, Pr, w), `$`(Pn, 2))

-2/(1-delta)

(6)

solve(K3, Pn)

(1/2)*Ce*rho0+(1/2)*Cn-(1/2)*Cr+Pr-(1/2)*delta-(1/2)*w+1/2

(7)

K4 := diff(Pi1(Pn, Pr, w), Pr) = 0

(Pn-Cn)/(1-delta)+(Pn-Pr)/(1-delta)-(-beta*(-(1/2)*tau+(1/2)*i2+(1/2)*w)*upsilon+Pr)/delta+(Pr-w-Cr)*(-1/(1-delta)-1/delta)-Ce*rho0/(1-delta) = 0

(8)

diff(Pi1(Pn, Pr, w), `$`(Pr, 2))

-2/(1-delta)-2/delta

(9)

solve(K4, Pr)

-(1/4)*beta*delta*i2*upsilon+(1/4)*beta*delta*tau*upsilon-(1/4)*beta*delta*upsilon*w-(1/2)*Ce*rho0*delta+(1/4)*beta*upsilon*i2-(1/4)*beta*upsilon*tau+(1/4)*beta*upsilon*w-(1/2)*delta*Cn+delta*Pn+(1/2)*Cr+(1/2)*w

(10)

``

``

``

``


 

Download Simultaneously_solve.mw

@acer
I had shared the complete details of the substitutions and their explanations in my message last week. Could you please confirm if you were able to review that? I can resend the details if needed. Thankyou. 

@sand15 Thankyou so much.

@sand15 The z-axis values are still shown only up to zero—how can I extend it to display positive values? Also, how can I display the z-value at point P?

1 2 3 4 5 6 7 Last Page 1 of 10