allmon84

0 Reputation

2 Badges

13 years, 331 days

MaplePrimes Activity


These are questions asked by allmon84

I am really struggeling with these 2 questions.. 
need to plot this in maple

Fourier: 


This is my last 2 questions on my school report that i need to deliver tomorrow


I'm trying to solve this in maple 15:

FOURIER:

 



how do i solve this?

> restart:
> with(plots):
> Int(sin(n*Pi*t/L)*sin(m*Pi*t/L), t = -L .. L);

 

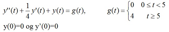
Hi I'm new to maple and have to solve this:



Find the transferfunction

I beleve the answer should be:
H(s) = Y(s)/G(s)  =  1/(s^2+(1/4)s+1)   (correct me if I'm wrong)
but i have to show how to do it in Maple in a scool project


please help me have tried for several hours now, but cant get it right

Page 1 of 1