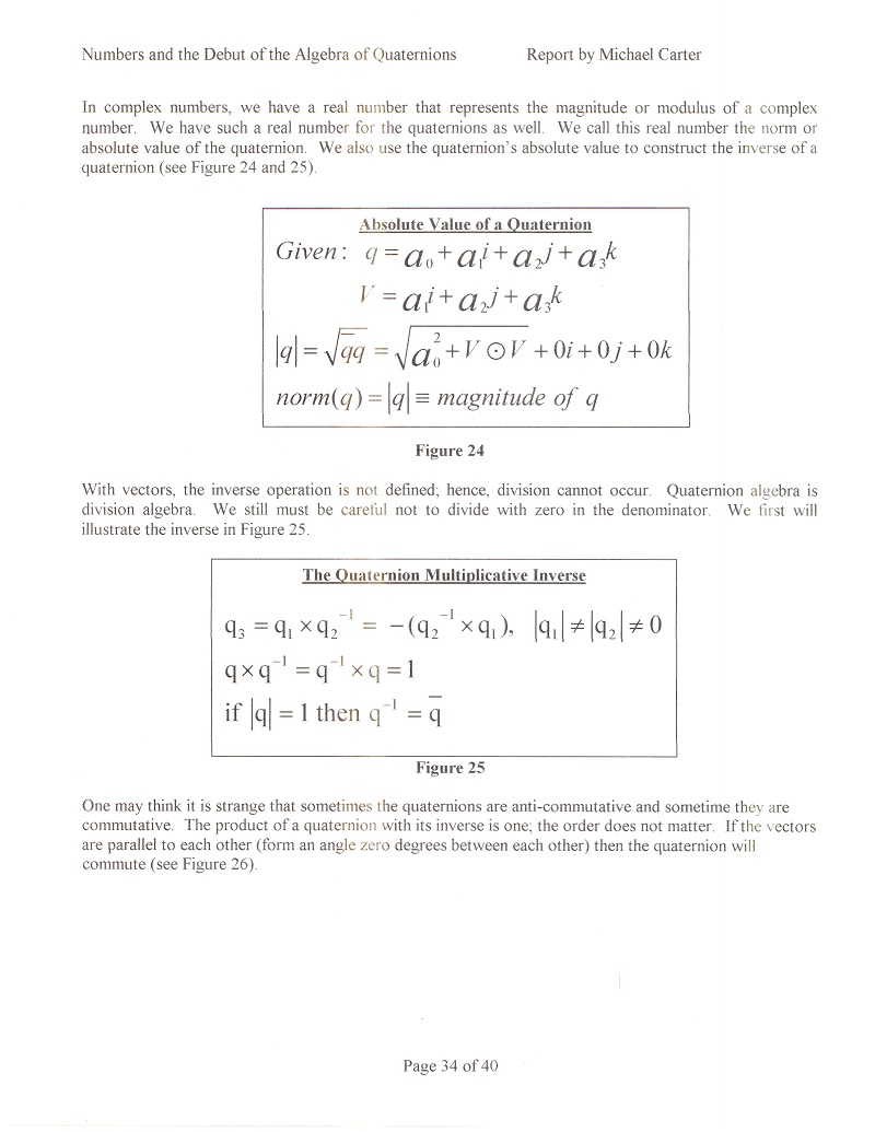
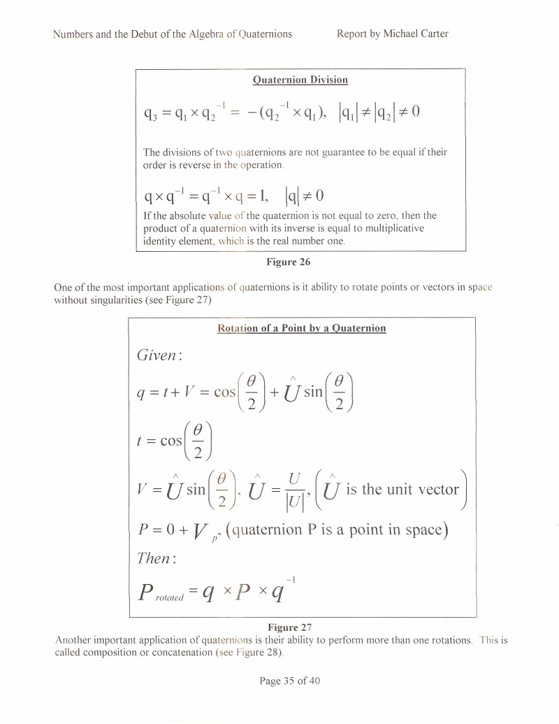
Michael Carter

http://BookOfMichael.com


Please Wait...