Question: Solving Three Equations?

How can we simultaneously solve three equations of the form:
w = f(Pn,Pr)
Pn = g(w,Pr)
Pr = h(Pn,w)

so that we obtain standalone expressions for w, Pn, and Pr?


 

restart

with(Optimization); with(plots); with(LinearAlgebra)

_local(D)

D

(1)

``

``

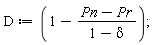
D := 1-(Pn-Pr)/(1-delta)

1-(Pn-Pr)/(1-delta)

(2)

N := 2*delta*tau*(i2-tau+w)-2*tau*(i2-tau+w)+Cr*(i2-tau)*(Pn-Pr+delta-1); M := (4*delta-4)*tau+Cr*(Pn-Pr+delta-1)

2*delta*tau*(i2-tau+w)-2*tau*(i2-tau+w)+Cr*(i2-tau)*(Pn-Pr+delta-1)

 

(4*delta-4)*tau+Cr*(Pn-Pr+delta-1)

(3)

A := Cr*(M*(i2-tau)-N)/(tau*M^2); B := (delta-1)/M; lambda := alpha*D*(rho0*M/(1-delta)-Pr+w+Crm)

Cr*(((4*delta-4)*tau+Cr*(Pn-Pr+delta-1))*(i2-tau)-2*delta*tau*(i2-tau+w)+2*tau*(i2-tau+w)-Cr*(i2-tau)*(Pn-Pr+delta-1))/(tau*((4*delta-4)*tau+Cr*(Pn-Pr+delta-1))^2)

 

(delta-1)/((4*delta-4)*tau+Cr*(Pn-Pr+delta-1))

 

alpha*(1-(Pn-Pr)/(1-delta))*(rho0*((4*delta-4)*tau+Cr*(Pn-Pr+delta-1))/(1-delta)-Pr+w+Crm)

(4)

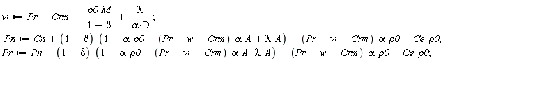
w := Pr-Crm-rho0*M/(1-delta)+lambda/(alpha*D); Pn := Cn+(1-delta)*(1-alpha*rho0-(Pr-w-Crm)*alpha*A+lambda*A)-(Pr-w-Crm)*alpha*rho0-Ce*rho0; Pr := Pn-(1-delta)*(1-alpha*rho0-(Pr-w-Crm)*alpha*A-lambda*A)-(Pr-w-Crm)*alpha*rho0-Ce*rho0

w

 

Error, recursive assignment

 

Error, recursive assignment

 

``


 

Download Simultaneously_solve.mw

Please Wait...