Question: Symbolic regression

By symbolic regression I mean an algorithm that determines a model (fit function) that fits best to a data set.

Are there any commands, packages, libraries or MaplesPrime post that are helpful in this regrad?

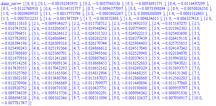
Edit: For the data set below a symbolic regression could ideally algortihm return "simple" models (formulas)  that use a "minimal" number of terms.

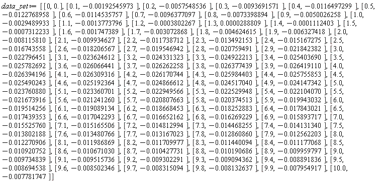
data_set := [[0, 0.], [.1, -0.192545973e-2], [.2, -0.57548536e-2], [.3, -0.93691571e-2], [.4, -0.116497299e-1], [.5, -0.122768958e-1], [.6, -0.114535757e-1], [.7, -0.96377097e-2], [.8, -0.73398894e-2], [.9, -0.50026258e-2], [1.0, -0.29489933e-2], [1.1, -0.13773796e-2], [1.2, -0.3802267e-3], [1.3, 0.288809e-4], [1.4, -0.1112403e-3], [1.5, -0.7312233e-3], [1.6, -0.1747389e-2], [1.7, -0.3072868e-2], [1.8, -0.4624615e-2], [1.9, -0.6327418e-2], [2.0, -0.8115810e-2], [2.1, -0.9934627e-2], [2.2, -0.11738712e-1], [2.3, -0.13492153e-1], [2.4, -0.15167275e-1], [2.5, -0.16743558e-1], [2.6, -0.18206567e-1], [2.7, -0.19546942e-1], [2.8, -0.20759491e-1], [2.9, -0.21842382e-1], [3.0, -0.22796451e-1], [3.1, -0.23624612e-1], [3.2, -0.24331323e-1], [3.3, -0.24922213e-1], [3.4, -0.25403690e-1], [3.5, -0.25782692e-1], [3.6, -0.26066441e-1], [3.7, -0.26262258e-1], [3.8, -0.26377439e-1], [3.9, -0.26419110e-1], [4.0, -0.26394196e-1], [4.1, -0.26309316e-1], [4.2, -0.26170744e-1], [4.3, -0.25984403e-1], [4.4, -0.25755853e-1], [4.5, -0.25490243e-1], [4.6, -0.25192364e-1], [4.7, -0.24866612e-1], [4.8, -0.24517040e-1], [4.9, -0.24147342e-1], [5.0, -0.23760880e-1], [5.1, -0.23360701e-1], [5.2, -0.22949566e-1], [5.3, -0.22529948e-1], [5.4, -0.22104070e-1], [5.5, -0.21673916e-1], [5.6, -0.21241260e-1], [5.7, -0.20807663e-1], [5.8, -0.20374513e-1], [5.9, -0.19943032e-1], [6.0, -0.19514256e-1], [6.1, -0.19089134e-1], [6.2, -0.18668453e-1], [6.3, -0.18252883e-1], [6.4, -0.17843021e-1], [6.5, -0.17439353e-1], [6.6, -0.17042293e-1], [6.7, -0.16652162e-1], [6.8, -0.16269229e-1], [6.9, -0.15893717e-1], [7.0, -0.15525760e-1], [7.1, -0.15165506e-1], [7.2, -0.14812994e-1], [7.3, -0.14468255e-1], [7.4, -0.14131340e-1], [7.5, -0.13802188e-1], [7.6, -0.13480766e-1], [7.7, -0.13167023e-1], [7.8, -0.12860860e-1], [7.9, -0.12562203e-1], [8.0, -0.12270906e-1], [8.1, -0.11986869e-1], [8.2, -0.11709977e-1], [8.3, -0.11440094e-1], [8.4, -0.11177068e-1], [8.5, -0.10920752e-1], [8.6, -0.10671030e-1], [8.7, -0.10427731e-1], [8.8, -0.10190686e-1], [8.9, -0.9959797e-2], [9.0, -0.9734839e-2], [9.1, -0.9515736e-2], [9.2, -0.9302291e-2], [9.3, -0.9094362e-2], [9.4, -0.8891836e-2], [9.5, -0.8694538e-2], [9.6, -0.8502346e-2], [9.7, -0.8315094e-2], [9.8, -0.8132637e-2], [9.9, -0.7954917e-2], [10.0, -0.7781747e-2]]

[[0, 0.], [.1, -0.192545973e-2], [.2, -0.57548536e-2], [.3, -0.93691571e-2], [.4, -0.116497299e-1], [.5, -0.122768958e-1], [.6, -0.114535757e-1], [.7, -0.96377097e-2], [.8, -0.73398894e-2], [.9, -0.50026258e-2], [1.0, -0.29489933e-2], [1.1, -0.13773796e-2], [1.2, -0.3802267e-3], [1.3, 0.288809e-4], [1.4, -0.1112403e-3], [1.5, -0.7312233e-3], [1.6, -0.1747389e-2], [1.7, -0.3072868e-2], [1.8, -0.4624615e-2], [1.9, -0.6327418e-2], [2.0, -0.8115810e-2], [2.1, -0.9934627e-2], [2.2, -0.11738712e-1], [2.3, -0.13492153e-1], [2.4, -0.15167275e-1], [2.5, -0.16743558e-1], [2.6, -0.18206567e-1], [2.7, -0.19546942e-1], [2.8, -0.20759491e-1], [2.9, -0.21842382e-1], [3.0, -0.22796451e-1], [3.1, -0.23624612e-1], [3.2, -0.24331323e-1], [3.3, -0.24922213e-1], [3.4, -0.25403690e-1], [3.5, -0.25782692e-1], [3.6, -0.26066441e-1], [3.7, -0.26262258e-1], [3.8, -0.26377439e-1], [3.9, -0.26419110e-1], [4.0, -0.26394196e-1], [4.1, -0.26309316e-1], [4.2, -0.26170744e-1], [4.3, -0.25984403e-1], [4.4, -0.25755853e-1], [4.5, -0.25490243e-1], [4.6, -0.25192364e-1], [4.7, -0.24866612e-1], [4.8, -0.24517040e-1], [4.9, -0.24147342e-1], [5.0, -0.23760880e-1], [5.1, -0.23360701e-1], [5.2, -0.22949566e-1], [5.3, -0.22529948e-1], [5.4, -0.22104070e-1], [5.5, -0.21673916e-1], [5.6, -0.21241260e-1], [5.7, -0.20807663e-1], [5.8, -0.20374513e-1], [5.9, -0.19943032e-1], [6.0, -0.19514256e-1], [6.1, -0.19089134e-1], [6.2, -0.18668453e-1], [6.3, -0.18252883e-1], [6.4, -0.17843021e-1], [6.5, -0.17439353e-1], [6.6, -0.17042293e-1], [6.7, -0.16652162e-1], [6.8, -0.16269229e-1], [6.9, -0.15893717e-1], [7.0, -0.15525760e-1], [7.1, -0.15165506e-1], [7.2, -0.14812994e-1], [7.3, -0.14468255e-1], [7.4, -0.14131340e-1], [7.5, -0.13802188e-1], [7.6, -0.13480766e-1], [7.7, -0.13167023e-1], [7.8, -0.12860860e-1], [7.9, -0.12562203e-1], [8.0, -0.12270906e-1], [8.1, -0.11986869e-1], [8.2, -0.11709977e-1], [8.3, -0.11440094e-1], [8.4, -0.11177068e-1], [8.5, -0.10920752e-1], [8.6, -0.10671030e-1], [8.7, -0.10427731e-1], [8.8, -0.10190686e-1], [8.9, -0.9959797e-2], [9.0, -0.9734839e-2], [9.1, -0.9515736e-2], [9.2, -0.9302291e-2], [9.3, -0.9094362e-2], [9.4, -0.8891836e-2], [9.5, -0.8694538e-2], [9.6, -0.8502346e-2], [9.7, -0.8315094e-2], [9.8, -0.8132637e-2], [9.9, -0.7954917e-2], [10.0, -0.7781747e-2]]

(1)

plots:-pointplot([[0, 0.], [.1, -0.192545973e-2], [.2, -0.57548536e-2], [.3, -0.93691571e-2], [.4, -0.116497299e-1], [.5, -0.122768958e-1], [.6, -0.114535757e-1], [.7, -0.96377097e-2], [.8, -0.73398894e-2], [.9, -0.50026258e-2], [1.0, -0.29489933e-2], [1.1, -0.13773796e-2], [1.2, -0.3802267e-3], [1.3, 0.288809e-4], [1.4, -0.1112403e-3], [1.5, -0.7312233e-3], [1.6, -0.1747389e-2], [1.7, -0.3072868e-2], [1.8, -0.4624615e-2], [1.9, -0.6327418e-2], [2.0, -0.8115810e-2], [2.1, -0.9934627e-2], [2.2, -0.11738712e-1], [2.3, -0.13492153e-1], [2.4, -0.15167275e-1], [2.5, -0.16743558e-1], [2.6, -0.18206567e-1], [2.7, -0.19546942e-1], [2.8, -0.20759491e-1], [2.9, -0.21842382e-1], [3.0, -0.22796451e-1], [3.1, -0.23624612e-1], [3.2, -0.24331323e-1], [3.3, -0.24922213e-1], [3.4, -0.25403690e-1], [3.5, -0.25782692e-1], [3.6, -0.26066441e-1], [3.7, -0.26262258e-1], [3.8, -0.26377439e-1], [3.9, -0.26419110e-1], [4.0, -0.26394196e-1], [4.1, -0.26309316e-1], [4.2, -0.26170744e-1], [4.3, -0.25984403e-1], [4.4, -0.25755853e-1], [4.5, -0.25490243e-1], [4.6, -0.25192364e-1], [4.7, -0.24866612e-1], [4.8, -0.24517040e-1], [4.9, -0.24147342e-1], [5.0, -0.23760880e-1], [5.1, -0.23360701e-1], [5.2, -0.22949566e-1], [5.3, -0.22529948e-1], [5.4, -0.22104070e-1], [5.5, -0.21673916e-1], [5.6, -0.21241260e-1], [5.7, -0.20807663e-1], [5.8, -0.20374513e-1], [5.9, -0.19943032e-1], [6.0, -0.19514256e-1], [6.1, -0.19089134e-1], [6.2, -0.18668453e-1], [6.3, -0.18252883e-1], [6.4, -0.17843021e-1], [6.5, -0.17439353e-1], [6.6, -0.17042293e-1], [6.7, -0.16652162e-1], [6.8, -0.16269229e-1], [6.9, -0.15893717e-1], [7.0, -0.15525760e-1], [7.1, -0.15165506e-1], [7.2, -0.14812994e-1], [7.3, -0.14468255e-1], [7.4, -0.14131340e-1], [7.5, -0.13802188e-1], [7.6, -0.13480766e-1], [7.7, -0.13167023e-1], [7.8, -0.12860860e-1], [7.9, -0.12562203e-1], [8.0, -0.12270906e-1], [8.1, -0.11986869e-1], [8.2, -0.11709977e-1], [8.3, -0.11440094e-1], [8.4, -0.11177068e-1], [8.5, -0.10920752e-1], [8.6, -0.10671030e-1], [8.7, -0.10427731e-1], [8.8, -0.10190686e-1], [8.9, -0.9959797e-2], [9.0, -0.9734839e-2], [9.1, -0.9515736e-2], [9.2, -0.9302291e-2], [9.3, -0.9094362e-2], [9.4, -0.8891836e-2], [9.5, -0.8694538e-2], [9.6, -0.8502346e-2], [9.7, -0.8315094e-2], [9.8, -0.8132637e-2], [9.9, -0.7954917e-2], [10.0, -0.7781747e-2]])

 

CurveFitting:-Interactive(data_set)

NULL

Download regression_dataset.mw

Please Wait...