MaplePrimes Questions

Search Questions:

in this function contain another function which contain integral but when i replace is just take some of the function and other function is not acceptable i want ask  there is any way for plotting the function when i substitute all other function, is wor for csc,sec,cosh, and for other not work and infinity and some other  like t,sin,cos,tan,tanh,sinh, so on 

 t-plot.mw

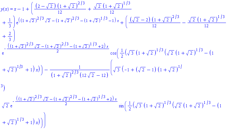
I would like to experiment with error estimation in the symbolic solution of ordinary differential equations. I've written a simple example in the attached file. I would now like to plot both the left side of the ODE and the solution y(x) together in the same coordinate system. I can't do this, and I'm asking for help. How can the cumbersome numerical terms in the solution y(x) be converted to floating-point numbers?

As I said, this is a recreational experiment ;-) .DGL_test.mw
 

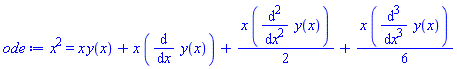
restart

ode := x^2 = sum(x*(diff(y(x), [`$`(x, i)]))/factorial(i), i = 0 .. 3)

x^2 = x*y(x)+x*(diff(y(x), x))+(1/2)*x*(diff(diff(y(x), x), x))+(1/6)*x*(diff(diff(diff(y(x), x), x), x))

(1)

``

``

ics := y(0) = 0, (D(y))(0) = 0, ((D@@2)(y))(0) = 0

y(0) = 0, (D(y))(0) = 0, ((D@@2)(y))(0) = 0

(2)

dsolve({ics, ode})

y(x) = x-1+((1/12)*(2-2^(1/2))*(1+2^(1/2))^(2/3)+(1/12)*2^(1/2)*(1+2^(1/2))^(1/3)+1/3)*exp(((1+2^(1/2))^(2/3)*2^(1/2)-(1+2^(1/2))^(2/3)-(1+2^(1/2))^(1/3)-1)*x)+((1/12)*(2^(1/2)-2)*(1+2^(1/2))^(2/3)-(1/12)*2^(1/2)*(1+2^(1/2))^(1/3)+2/3)*exp(-(1/2)*((1+2^(1/2))^(2/3)*2^(1/2)-(1+2^(1/2))^(2/3)-(1+2^(1/2))^(1/3)+2)*x)*cos((1/2)*3^(1/2)*(1+2^(1/2))^(1/3)*(2^(1/2)*(1+2^(1/2))^(1/3)-(1+2^(1/2))^(1/3)+1)*x)-3^(1/2)*(-1+(2^(1/2)-1)*(1+2^(1/2))^(1/3))*2^(1/2)*exp(-(1/2)*((1+2^(1/2))^(2/3)*2^(1/2)-(1+2^(1/2))^(2/3)-(1+2^(1/2))^(1/3)+2)*x)*sin((1/2)*3^(1/2)*(1+2^(1/2))^(1/3)*(2^(1/2)*(1+2^(1/2))^(1/3)-(1+2^(1/2))^(1/3)+1)*x)/((1+2^(1/2))^(2/3)*(12*2^(1/2)-12))

(3)

NULL

``


 

Download DGL_test.mw

 

I have a lot of maple code for analysing electronic design uncertainties and would like to place a clip from the schematic before outputing the analysis results.  I have been working for hours on this with no success but I'm sure it must be simple.

I see that ImageTools,Preview kind of works but it outputs a very small, blurry image.  Is there just a simple command that I can read in my .png image and output it to the display?

Hello,

I have full access on .../.../version.txt but Maple tells me I have no write access...

Sorry for the previous post, thank you.

If I try with the install command I get the same error.

Kind regards to all

Jean-Michel

PS: have a look on the two inserted screenshots

I'm not sure of the Maple function I have to use to represent the modified Bessel function of the third kind with index 1.

The Bessel function of the third kind is also named the Hankel function.

I mistakenly started to use HankelH1 or HankelH2 but quickly realized they are both complex-valued functions while the paper I'm working on uses a real-valued modified Bessel function of the third kind: finally, does this latter exist in Maple 2015?

Thanks in advance

undesired_textplot_format.mw

When using textplot() AND display(), how do I ensure that the expression I want in the figure is not modified by display()? See my attached spreadsheet where I demostrate this undesired behaviour. 

NULL

Evaluation with `ϕ__0`subscripted

-t(0)+t(`ϕ`(t)) = Int(1/sqrt(2*C*cos(`ϕ`)-2*C*cos(`ϕ__0`)), `ϕ` = 0 .. `ϕ`(t), continuous)

-t(0)+t(varphi(t)) = Int(1/(2*C*cos(varphi)-2*C*cos(varphi__0))^(1/2), varphi = 0 .. varphi(t), continuous)

(1)

t(0) = 0, `ϕ`(t) = `ϕ__0`, t(`ϕ__0`) = (1/4)*T

t(0) = 0, varphi(t) = varphi__0, t(varphi__0) = (1/4)*T

(2)

subs(t(0) = 0, varphi(t) = varphi__0, t(varphi__0) = (1/4)*T, -t(0)+t(varphi(t)) = Int(1/(2*C*cos(varphi)-2*C*cos(varphi__0))^(1/2), varphi = 0 .. varphi(t), continuous))

(1/4)*T = Int(1/(2*C*cos(varphi)-2*C*cos(varphi__0))^(1/2), varphi = 0 .. varphi__0, continuous)

(3)

isolate(`assuming`([simplify(value((1/4)*T = Int(1/(2*C*cos(varphi)-2*C*cos(varphi__0))^(1/2), varphi = 0 .. varphi__0, continuous)))], [C > 0, 0 < `&varphi;__0` and `&varphi;__0` < Pi]), T)

T = 4*InverseJacobiAM((1/2)*varphi__0, csc((1/2)*varphi__0))*csc((1/2)*varphi__0)/C^(1/2)

(4)

NULL

NULL

Replacing now in the above varphi__0 by varphi[0]

NULL

Evaluation with `&varphi;`[0] indexed

-t(0)+t(`&varphi;`(t)) = Int(1/sqrt(2*C*cos(`&varphi;`)-2*C*cos(`&varphi;`[0])), `&varphi;` = 0 .. `&varphi;`(t), continuous)

-t(0)+t(varphi(t)) = Int(1/(2*C*cos(varphi)-2*C*cos(varphi[0]))^(1/2), varphi = 0 .. varphi(t), continuous)

(5)

t(0) = 0, `&varphi;`(t) = `&varphi;`[0], t(`&varphi;`[0]) = (1/4)*T

t(0) = 0, varphi(t) = varphi[0], t(varphi[0]) = (1/4)*T

(6)

subs(t(0) = 0, varphi(t) = varphi[0], t(varphi[0]) = (1/4)*T, -t(0)+t(varphi(t)) = Int(1/(2*C*cos(varphi)-2*C*cos(varphi[0]))^(1/2), varphi = 0 .. varphi(t), continuous))

(1/4)*T = Int(1/(2*C*cos(varphi)-2*C*cos(varphi[0]))^(1/2), varphi = 0 .. varphi[0], continuous)

(7)

isolate(`assuming`([simplify(value((1/4)*T = Int(1/(2*C*cos(varphi)-2*C*cos(varphi[0]))^(1/2), varphi = 0 .. varphi[0], continuous)))], [C > 0, 0 < `&varphi;`[0] and `&varphi;`[0] < Pi]), T)

T = 4*2^(1/2)*(-(limit(((-cos(varphi)+cos(varphi[0]))/(-1+cos(varphi[0])))^(1/2)*InverseJacobiAM((1/2)*varphi, csgn(sin((1/2)*varphi[0]))*csc((1/2)*varphi[0]))/(cos(varphi)-cos(varphi[0]))^(1/2), varphi = 0, right))*(cos(varphi[0])-cos(varphi[0][0]))^(1/2)+((-cos(varphi[0])+cos(varphi[0][0]))/(-1+cos(varphi[0][0])))^(1/2)*InverseJacobiAM((1/2)*varphi[0], csgn(sin((1/2)*varphi[0][0]))*csc((1/2)*varphi[0][0])))/(C^(1/2)*(cos(varphi[0])-cos(varphi[0][0]))^(1/2))

(8)

NULL


The double indices in the above limit do not make sense.

In case this is a bug: Is there any workaround for indexed names? I want to use them to have numbers in indices in roman which seems to be not possible with subscripts. 


 

Download Evaluation_of_elliptic_integrals.mw

Is the absence of up/down arrows at the ends of the vertical scroll bar in Maple 2025's worksheet window a bug or by design?

These up/down arrows are helpful for small-increment navigation with the vertical scroll bar.  I hope Maple's designers restore the up/down arrows at the ends of the vertical scroll bar in Maple's worksheet window. These up/down arrows were present in Maple 2024 and earlier.

Any one could find why dsolve can't solve this first order ode when adding IC,  but Student:-ODEs:-ODESteps can?

interface(version);

`Standard Worksheet Interface, Maple 2025.1, Linux, June 12 2025 Build ID 1932578`

Physics:-Version();

`The "Physics Updates" version in the MapleCloud is 1878 and is the same as the version installed in this computer, created 2025, September 28, 11:35 hours Pacific Time.`

SupportTools:-Version();

`The Customer Support Updates version in the MapleCloud is 29 and is the same as the version installed in this computer, created June 23, 2025, 10:25 hours Eastern Time.`

restart;

ode:=diff(m(t),t) = -k/m(t)^2;
ic:=m(0) = m__0;
DEtools:-odeadvisor(ode);

diff(m(t), t) = -k/m(t)^2

m(0) = m__0

[_quadrature]

sol:=dsolve(ode)

m(t) = (-3*k*t+c__1)^(1/3), m(t) = -(1/2)*(-3*k*t+c__1)^(1/3)-((1/2)*I)*3^(1/2)*(-3*k*t+c__1)^(1/3), m(t) = -(1/2)*(-3*k*t+c__1)^(1/3)+((1/2)*I)*3^(1/2)*(-3*k*t+c__1)^(1/3)

sol:=dsolve([ode,ic])

Student:-ODEs:-ODESteps([ode,ic])

"[[,,"Let's solve"],[,,[(&DifferentialD;)/(&DifferentialD;t) m(t)=-k/((m(t))^2),m(0)=`m__0`]],["&bullet;",,"Highest derivative means the order of the ODE is" 1],[,,(&DifferentialD;)/(&DifferentialD;t) m(t)],["&bullet;",,"Solve for the highest derivative"],[,,(&DifferentialD;)/(&DifferentialD;t) m(t)=-k/((m(t))^2)],["&bullet;",,"Separate variables"],[,,((&DifferentialD;)/(&DifferentialD;t) m(t)) (m(t))^2=-k],["&bullet;",,"Integrate both sides with respect to" t],[,,&int;((&DifferentialD;)/(&DifferentialD;t) m(t)) (m(t))^2 &DifferentialD;t=&int;-k &DifferentialD;t+`c__1`],["&bullet;",,"Evaluate integral"],[,,((m(t))^3)/3=-k t+`c__1`],["&bullet;",,"Solve for" m(t)],[,,{m(t)=(-3 k t+3 `c__1`)^(1/3),m(t)=-((-3 k t+3 `c__1`)^(1/3))/2-(&ImaginaryI; sqrt(3) (-3 k t+3 `c__1`)^(1/3))/2,m(t)=-((-3 k t+3 `c__1`)^(1/3))/2+(&ImaginaryI; sqrt(3) (-3 k t+3 `c__1`)^(1/3))/2}],["&bullet;",,"Simplify"],[,,{m(t)=(-3 k t+3 `c__1`)^(1/3),m(t)=((-3 k t+3 `c__1`)^(1/3) (-1+&ImaginaryI; sqrt(3)))/2,m(t)=-((-3 k t+3 `c__1`)^(1/3) (1+&ImaginaryI; sqrt(3)))/2}],["&bullet;",,"Redefine the integration constant(s)"],[,,{m(t)=(-3 k t+`c__1`)^(1/3),m(t)=((-3 k t+`c__1`)^(1/3) (-1+&ImaginaryI; sqrt(3)))/2,m(t)=-((-3 k t+`c__1`)^(1/3) (1+&ImaginaryI; sqrt(3)))/2}],["&bullet;",,"Use initial condition" m(0)=`m__0`],[,,`m__0`=`c__1`^(1/3)],["&bullet;",,"Solve for" `c__1`],[,,`c__1`=`m__0`^3],["&bullet;",,"Substitute" `c__1`=`m__0`^3 "into general solution and simplify"],[,,m(t)=(`m__0`^3-3 k t)^(1/3)],["&bullet;",,"Use initial condition" m(0)=`m__0`],[,,`m__0`=(`c__1`^(1/3) (-1+&ImaginaryI; sqrt(3)))/2],["&bullet;",,"Solve for" `c__1`],[,,`c__1`=`m__0`^3],["&bullet;",,"Substitute" `c__1`=`m__0`^3 "into general solution and simplify"],[,,m(t)=((`m__0`^3-3 k t)^(1/3) (-1+&ImaginaryI; sqrt(3)))/2],["&bullet;",,"Use initial condition" m(0)=`m__0`],[,,`m__0`=-(`c__1`^(1/3) (1+&ImaginaryI; sqrt(3)))/2],["&bullet;",,"Solve for" `c__1`],[,,`c__1`=`m__0`^3],["&bullet;",,"Substitute" `c__1`=`m__0`^3 "into general solution and simplify"],[,,m(t)=-((`m__0`^3-3 k t)^(1/3) (1+&ImaginaryI; sqrt(3)))/2],["&bullet;",,"Solutions to the IVP"],[,,[m(t)=(`m__0`^3-3 k t)^(1/3),m(t)=((`m__0`^3-3 k t)^(1/3) (-1+&ImaginaryI; sqrt(3)))/2,m(t)=-((`m__0`^3-3 k t)^(1/3) (1+&ImaginaryI; sqrt(3)))/2]]]"

Download why_dsolve_cant_solve_ode_oct_4_2025_maple_2025_1.mw

Given an ode with IC. When solution is explicit, Maple resolves the constant of integration as expected and returns solution with no c__1 in it.

But when asked for implicit solution, also with same IC, it now returns solution with c__1 still there.

Is this by design or a bug? Should not constant of integration be resolved using IC in both cases? If unable to solve for c__1 because solution is implicit, should it then not return solution all?

Does this happen in earlier versions of Maple?

 

restart;

interface(version);

`Standard Worksheet Interface, Maple 2025.1, Linux, June 12 2025 Build ID 1932578`

Physics:-Version();

`The "Physics Updates" version in the MapleCloud is 1878 and is the same as the version installed in this computer, created 2025, September 28, 11:35 hours Pacific Time.`

SupportTools:-Version();

`The Customer Support Updates version in the MapleCloud is 29 and is the same as the version installed in this computer, created June 23, 2025, 10:25 hours Eastern Time.`

restart;

IC:=D(y)(0)=0;
ode:=diff(y(x),x)^2+x*y(x)=0:
sol:=dsolve([ode,IC]);

 

(D(y))(0) = 0

y(x) = 0, y(x) = -(1/9)*x^3

sol:=dsolve(ode,'implicit');

y(x) = 0, -x^2/((x^3+9*y(x))*(x^2+3*(-x*y(x))^(1/2)))+3*(-x*y(x))^(1/2)/((x^3+9*y(x))*(x^2+3*(-x*y(x))^(1/2)))-c__1 = 0, x^2/((x^3+9*y(x))*(-x^2+3*(-x*y(x))^(1/2)))+3*(-x*y(x))^(1/2)/((x^3+9*y(x))*(-x^2+3*(-x*y(x))^(1/2)))-c__1 = 0

#WHY did not resolve constant of integration here??
sol:=dsolve([ode,IC],'implicit');

x^2/((x^3+9*y(x))*(-x^2+3*(-x*y(x))^(1/2)))+3*(-x*y(x))^(1/2)/((x^3+9*y(x))*(-x^2+3*(-x*y(x))^(1/2)))-c__1 = 0, -x^2/((x^3+9*y(x))*(x^2+3*(-x*y(x))^(1/2)))+3*(-x*y(x))^(1/2)/((x^3+9*y(x))*(x^2+3*(-x*y(x))^(1/2)))-c__1 = 0, y(x) = 0

 


 

Download why_C_still_in_solution_maple_2025_1_oct_4_2025.mw

I looked at help for PDEtools:-Solve and do not see why this would fail. Any idea? Is this by design or could it be a bug?  solve() works on same input, so I expected Solve to also work on same input.

interface(version);

`Standard Worksheet Interface, Maple 2025.1, Linux, June 12 2025 Build ID 1932578`

Physics:-Version();

`The "Physics Updates" version in the MapleCloud is 1878 and is the same as the version installed in this computer, created 2025, September 28, 11:35 hours Pacific Time.`

SupportTools:-Version();

`The Customer Support Updates version in the MapleCloud is 29 and is the same as the version installed in this computer, created June 23, 2025, 10:25 hours Eastern Time.`

restart;

eq:=D(y)(0)+1 = 0;
solve(eq,D(y)(0));

(D(y))(0)+1 = 0

-1

PDEtools:-Solve(eq,D(y)(0));

Error, (in PDEtools:-Solve) required an indication of the solving variables for the given system

 

 

Download why_PDEtools_Sovle_fail_oct_3_2025.mw

i did seperating but but is seems is not correct what is mistake in here?

issue1.mw

Hello, I have a Maple Flow worksheet that is formatted with a basic style template using headings and sections so that I can auto generate the table of contents. All of the numbered sections are in order, top-to-bottom in the worksheet. However, when Maple Flow auto generates the table of contents, it consistently gets the sections out of order - see a screenshot below - note Section 2 is at the end of the table of contents. The page numbers appear to be correct, but the physical placement of Section 2 is not. 

If anybody has encountered this problem in Maple Flow, I would appreciate some suggestions.

Thanks

For some reason, solve() works Ok, but PDEtools:-Solve causes kernel crash.

 

Attached worksheet.

Anyone knows why and can someone try to reproduce this? I am using Linux CaucyOS (arch linux based) and Maple 2025.1

 

interface(version);

`Standard Worksheet Interface, Maple 2025.1, Linux, June 12 2025 Build ID 1932578`

Physics:-Version();

`The "Physics Updates" version in the MapleCloud is 1878 and is the same as the version installed in this computer, created 2025, September 28, 11:35 hours Pacific Time.`

SupportTools:-Version();

`The Customer Support Updates version in the MapleCloud is 29 and is the same as the version installed in this computer, created June 23, 2025, 10:25 hours Eastern Time.`

restart;

eq:=[-3/2*_C6^2+4*(60588*_C6^3+6659802*_C6^2-7113718800*_C6+168667884119)/(40392*_C6-971364)-1/8*(-6*_C6+1)^2-4*(1406664*_C6^2-1186536946*_C6+27728821045)/(26928*_C6-647576)+5*_C6-125/6+9*(-1/24*(-6*_C6+16)^2-4*(1406664*_C6^2-1186536946*_C6+27728821045)/(26928*_C6-647576)+(60588*_C6^3+6659802*_C6^2-7113718800*_C6+168667884119)/(40392*_C6-971364))*(-49/2+_C6) = 4, -1/24*(-6*_C6+49)^2+191*(1406664*_C6^2-1186536946*_C6+27728821045)/(26928*_C6-647576)-(60588*_C6^3+6659802*_C6^2-7113718800*_C6+168667884119)/(40392*_C6-971364)+1/12*(-6*_C6+9801)^2 = 0];
Cs:={_C6};

[-(3/2)*_C6^2+4*(60588*_C6^3+6659802*_C6^2-7113718800*_C6+168667884119)/(40392*_C6-971364)-(1/8)*(-6*_C6+1)^2-4*(1406664*_C6^2-1186536946*_C6+27728821045)/(26928*_C6-647576)+5*_C6-125/6+9*(-(1/24)*(-6*_C6+16)^2-4*(1406664*_C6^2-1186536946*_C6+27728821045)/(26928*_C6-647576)+(60588*_C6^3+6659802*_C6^2-7113718800*_C6+168667884119)/(40392*_C6-971364))*(-49/2+_C6) = 4, -(1/24)*(-6*_C6+49)^2+191*(1406664*_C6^2-1186536946*_C6+27728821045)/(26928*_C6-647576)-(60588*_C6^3+6659802*_C6^2-7113718800*_C6+168667884119)/(40392*_C6-971364)+(1/12)*(-6*_C6+9801)^2 = 0]

{_C6}

solve(eq,Cs);

{_C6 = _C6}

PDEtools:-Solve(eq,Cs);


 

Download maple_crash_Solve_oct_3_2025.mw

Also reported to Maplesoft support.

 

I found very strange behaviour of Maple 2025.1 on Linux.

Same exact code.  Calling timelimit(sol,ode) twice on two different solutions. If I do not add 

         Physics:-Setup(assumingusesAssume = true)

At the start, then both timelimits finish OK. But once  Physics:-Setup(assumingusesAssume = true) is added at the start, the second timelimit hangs.

I waited 2 hrs and nothing happens. Maple just freezes. Can't even stop the server from worksheet by clicking on the red button at lower left corner. 

This is using latest Physics.  Does anyone know why this happens? It seems due to some memory cache issue?

Make sure to save all your work before trying this just in case you have to kill Maple application.

The strange thing, unable to stop the server by clicking on red button or clicking on RESTART KERNEL icon at top, or even clicking on the debuger icon at lower left corner. Only way was to kill Maple itself from Linux command line.

interface(version);

`Standard Worksheet Interface, Maple 2025.1, Linux, June 12 2025 Build ID 1932578`

Physics:-Version();

`The "Physics Updates" version in the MapleCloud is 1878 and is the same as the version installed in this computer, created 2025, September 28, 11:35 hours Pacific Time.`

SupportTools:-Version();

`The Customer Support Updates version in the MapleCloud is 29 and is the same as the version installed in this computer, created June 23, 2025, 10:25 hours Eastern Time.`

restart;

Example 1. Not using Physics:-Setup(assumingusesAssume = true): gives NO hang

 

sol_1:=y(x) = 1/2*(3*tan(RootOf(2*3^(1/2)*ln(2*3^(1/6)+(9*tan(_Z)*sec(_Z)^2+9*3^(1/2)*
sec(_Z)^2-8*3^(1/2))^(1/3))-3^(1/2)*ln(4*3^(1/3)-2*3^(1/6)*(9*tan(_Z)*sec(_Z)^2
+9*3^(1/2)*sec(_Z)^2-8*3^(1/2))^(1/3)+(9*tan(_Z)*sec(_Z)^2+9*3^(1/2)*sec(_Z)^2-\
8*3^(1/2))^(2/3))+12*_C2*3^(1/2)+12*3^(1/2)*x+36*I*_C2+36*I*x+6*_Z))^3*3^(1/2)+
9*tan(RootOf(2*3^(1/2)*ln(2*3^(1/6)+(9*tan(_Z)*sec(_Z)^2+9*3^(1/2)*sec(_Z)^2-8*
3^(1/2))^(1/3))-3^(1/2)*ln(4*3^(1/3)-2*3^(1/6)*(9*tan(_Z)*sec(_Z)^2+9*3^(1/2)*
sec(_Z)^2-8*3^(1/2))^(1/3)+(9*tan(_Z)*sec(_Z)^2+9*3^(1/2)*sec(_Z)^2-8*3^(1/2))^
(2/3))+12*_C2*3^(1/2)+12*3^(1/2)*x+36*I*_C2+36*I*x+6*_Z))^2+3*3^(1/2)*tan(
RootOf(2*3^(1/2)*ln((3*3^(1/2)*tan(_Z)*sec(_Z)^2-8+9*sec(_Z)^2)^(1/3)+2)-3^(1/2
)*ln((3*3^(1/2)*tan(_Z)*sec(_Z)^2-8+9*sec(_Z)^2)^(2/3)-2*(3*3^(1/2)*tan(_Z)*sec
(_Z)^2-8+9*sec(_Z)^2)^(1/3)+4)+36*I*_C2+36*I*x+12*_C2*3^(1/2)+12*3^(1/2)*x+6*_Z
))+1)^(1/3)*(I*3^(1/2)-1):
ode:=diff(y(x),x)-y(x)^3 = 8:
timelimit(30,odetest(sol_1,ode));

Error, (in simplify/ln/relations) time expired

 

sol_2:=y(x) = -1/2*(3*tan(RootOf(2*3^(1/2)*ln(2*3^(1/6)+(9*tan(_Z)*sec(_Z)^2+9*3^(1/2)
*sec(_Z)^2-8*3^(1/2))^(1/3))-3^(1/2)*ln(4*3^(1/3)-2*3^(1/6)*(9*tan(_Z)*sec(_Z)^
2+9*3^(1/2)*sec(_Z)^2-8*3^(1/2))^(1/3)+(9*tan(_Z)*sec(_Z)^2+9*3^(1/2)*sec(_Z)^2
-8*3^(1/2))^(2/3))+12*_C3*3^(1/2)+12*3^(1/2)*x-36*I*_C3-36*I*x+6*_Z))^3*3^(1/2)
+9*tan(RootOf(2*3^(1/2)*ln(2*3^(1/6)+(9*tan(_Z)*sec(_Z)^2+9*3^(1/2)*sec(_Z)^2-8
*3^(1/2))^(1/3))-3^(1/2)*ln(4*3^(1/3)-2*3^(1/6)*(9*tan(_Z)*sec(_Z)^2+9*3^(1/2)*
sec(_Z)^2-8*3^(1/2))^(1/3)+(9*tan(_Z)*sec(_Z)^2+9*3^(1/2)*sec(_Z)^2-8*3^(1/2))^
(2/3))+12*_C3*3^(1/2)+12*3^(1/2)*x-36*I*_C3-36*I*x+6*_Z))^2+3*3^(1/2)*tan(
RootOf(2*3^(1/2)*ln((3*3^(1/2)*tan(_Z)*sec(_Z)^2-8+9*sec(_Z)^2)^(1/3)+2)-3^(1/2
)*ln((3*3^(1/2)*tan(_Z)*sec(_Z)^2-8+9*sec(_Z)^2)^(2/3)-2*(3*3^(1/2)*tan(_Z)*sec
(_Z)^2-8+9*sec(_Z)^2)^(1/3)+4)-36*I*_C3-36*I*x+12*_C3*3^(1/2)+12*3^(1/2)*x+6*_Z
))+1)^(1/3)*(1+I*3^(1/2)):
timelimit(30,odetest(sol_2,ode));

Error, (in collect) time expired

 

Example 2. using Physics:-Setup(assumingusesAssume = true): second timelimit always hangs

 

restart;

Physics:-Setup(assumingusesAssume = true):

sol_1:=y(x) = 1/2*(3*tan(RootOf(2*3^(1/2)*ln(2*3^(1/6)+(9*tan(_Z)*sec(_Z)^2+9*3^(1/2)*
sec(_Z)^2-8*3^(1/2))^(1/3))-3^(1/2)*ln(4*3^(1/3)-2*3^(1/6)*(9*tan(_Z)*sec(_Z)^2
+9*3^(1/2)*sec(_Z)^2-8*3^(1/2))^(1/3)+(9*tan(_Z)*sec(_Z)^2+9*3^(1/2)*sec(_Z)^2-\
8*3^(1/2))^(2/3))+12*_C2*3^(1/2)+12*3^(1/2)*x+36*I*_C2+36*I*x+6*_Z))^3*3^(1/2)+
9*tan(RootOf(2*3^(1/2)*ln(2*3^(1/6)+(9*tan(_Z)*sec(_Z)^2+9*3^(1/2)*sec(_Z)^2-8*
3^(1/2))^(1/3))-3^(1/2)*ln(4*3^(1/3)-2*3^(1/6)*(9*tan(_Z)*sec(_Z)^2+9*3^(1/2)*
sec(_Z)^2-8*3^(1/2))^(1/3)+(9*tan(_Z)*sec(_Z)^2+9*3^(1/2)*sec(_Z)^2-8*3^(1/2))^
(2/3))+12*_C2*3^(1/2)+12*3^(1/2)*x+36*I*_C2+36*I*x+6*_Z))^2+3*3^(1/2)*tan(
RootOf(2*3^(1/2)*ln((3*3^(1/2)*tan(_Z)*sec(_Z)^2-8+9*sec(_Z)^2)^(1/3)+2)-3^(1/2
)*ln((3*3^(1/2)*tan(_Z)*sec(_Z)^2-8+9*sec(_Z)^2)^(2/3)-2*(3*3^(1/2)*tan(_Z)*sec
(_Z)^2-8+9*sec(_Z)^2)^(1/3)+4)+36*I*_C2+36*I*x+12*_C2*3^(1/2)+12*3^(1/2)*x+6*_Z
))+1)^(1/3)*(I*3^(1/2)-1):
ode:=diff(y(x),x)-y(x)^3 = 8:
timelimit(30,odetest(sol_1,ode));

Error, (in expand) time expired

 

#this below will now hang

sol_2:=y(x) = -1/2*(3*tan(RootOf(2*3^(1/2)*ln(2*3^(1/6)+(9*tan(_Z)*sec(_Z)^2+9*3^(1/2)
*sec(_Z)^2-8*3^(1/2))^(1/3))-3^(1/2)*ln(4*3^(1/3)-2*3^(1/6)*(9*tan(_Z)*sec(_Z)^
2+9*3^(1/2)*sec(_Z)^2-8*3^(1/2))^(1/3)+(9*tan(_Z)*sec(_Z)^2+9*3^(1/2)*sec(_Z)^2
-8*3^(1/2))^(2/3))+12*_C3*3^(1/2)+12*3^(1/2)*x-36*I*_C3-36*I*x+6*_Z))^3*3^(1/2)
+9*tan(RootOf(2*3^(1/2)*ln(2*3^(1/6)+(9*tan(_Z)*sec(_Z)^2+9*3^(1/2)*sec(_Z)^2-8
*3^(1/2))^(1/3))-3^(1/2)*ln(4*3^(1/3)-2*3^(1/6)*(9*tan(_Z)*sec(_Z)^2+9*3^(1/2)*
sec(_Z)^2-8*3^(1/2))^(1/3)+(9*tan(_Z)*sec(_Z)^2+9*3^(1/2)*sec(_Z)^2-8*3^(1/2))^
(2/3))+12*_C3*3^(1/2)+12*3^(1/2)*x-36*I*_C3-36*I*x+6*_Z))^2+3*3^(1/2)*tan(
RootOf(2*3^(1/2)*ln((3*3^(1/2)*tan(_Z)*sec(_Z)^2-8+9*sec(_Z)^2)^(1/3)+2)-3^(1/2
)*ln((3*3^(1/2)*tan(_Z)*sec(_Z)^2-8+9*sec(_Z)^2)^(2/3)-2*(3*3^(1/2)*tan(_Z)*sec
(_Z)^2-8+9*sec(_Z)^2)^(1/3)+4)-36*I*_C3-36*I*x+12*_C3*3^(1/2)+12*3^(1/2)*x+6*_Z
))+1)^(1/3)*(1+I*3^(1/2)):
timelimit(30,odetest(sol_2,ode));


Download hangs_timelimit_with_physics_maple_2025_1_oct_2_2025.mw

Could someone try to reproduce this on their Maple? If so, I will send bug report.

1 2 3 4 5 6 7 Last Page 1 of 2434