Carl Love

Carl Love

28070 Reputation

25 Badges

13 years, 27 days
Himself
Wayland, Massachusetts, United States
My name was formerly Carl Devore.

MaplePrimes Activity


These are answers submitted by Carl Love

Here's a solution that can be easily generalized to higher dimensions and an arbitrary number of bodies.
 

restart:

List the names of the space dimensions. The number of these can be changed.

Space:= [x,y]:

The exponent to use on the distance  in the denominators. Using 3 corresponds to ordinary gravity.

expon:= 2:

Declare the objects that are moving. I prefer letter names over numbers for the objects. Each object has an inital position and velocity and a mass. The number of objects can be changed.

ObjProps:= table([
   a = Record(r0= [1, 1], v0= [0, 0.8], mass= 1),
   b = Record(r0= [1.5, 2], v0= [1, 1.4], mass= 1),
   c = Record(r0= [2.5, 3], v0= [0.2, -1], mass= 1)
]):

Objs:= {indices(ObjProps, nolist)};

{a, b, c}

Procedure to subscript the elements of  the Space vector with a particular object.

SpaceObj:= ob-> map(`?[]`, Space, [ob]):

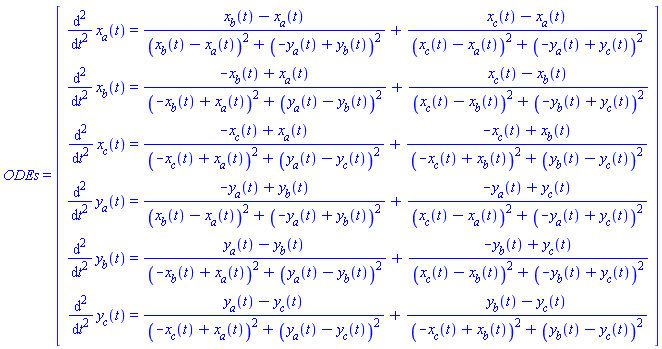
Construct the ODEs.

ODEs:= {
   seq(
      seq(
         diff(V[Ob](t), t$2) =
         add(
            ObjProps[ob][mass]*(V[ob]-V[Ob])(t)/
               LinearAlgebra:-Norm(
                  <(SpaceObj(ob) - SpaceObj(Ob))(t)>,
                  Euclidean, conjugate= false
               )^expon          
           ,ob= Objs minus {Ob}
         )
        ,Ob= Objs
      )
     ,V= Space
   )
}:
'ODEs' = <ODEs[]>;

ODEs = (Matrix(6, 1, {(1, 1) = diff(diff(x[a](t), t), t) = (x[b](t)-x[a](t))/((x[b](t)-x[a](t))^2+(-y[a](t)+y[b](t))^2)+(x[c](t)-x[a](t))/((x[c](t)-x[a](t))^2+(-y[a](t)+y[c](t))^2), (2, 1) = diff(diff(x[b](t), t), t) = (-x[b](t)+x[a](t))/((-x[b](t)+x[a](t))^2+(y[a](t)-y[b](t))^2)+(x[c](t)-x[b](t))/((x[c](t)-x[b](t))^2+(-y[b](t)+y[c](t))^2), (3, 1) = diff(diff(x[c](t), t), t) = (-x[c](t)+x[a](t))/((-x[c](t)+x[a](t))^2+(y[a](t)-y[c](t))^2)+(-x[c](t)+x[b](t))/((-x[c](t)+x[b](t))^2+(y[b](t)-y[c](t))^2), (4, 1) = diff(diff(y[a](t), t), t) = (-y[a](t)+y[b](t))/((x[b](t)-x[a](t))^2+(-y[a](t)+y[b](t))^2)+(-y[a](t)+y[c](t))/((x[c](t)-x[a](t))^2+(-y[a](t)+y[c](t))^2), (5, 1) = diff(diff(y[b](t), t), t) = (y[a](t)-y[b](t))/((-x[b](t)+x[a](t))^2+(y[a](t)-y[b](t))^2)+(-y[b](t)+y[c](t))/((x[c](t)-x[b](t))^2+(-y[b](t)+y[c](t))^2), (6, 1) = diff(diff(y[c](t), t), t) = (y[a](t)-y[c](t))/((-x[c](t)+x[a](t))^2+(y[a](t)-y[c](t))^2)+(y[b](t)-y[c](t))/((-x[c](t)+x[b](t))^2+(y[b](t)-y[c](t))^2)}))

Construct the initial conditions.

ICs:= op~({
   seq(
      [SpaceObj(Ob)(0) =~ ObjProps[Ob][r0], D~(SpaceObj(Ob))(0) =~ ObjProps[Ob][v0]][],
      Ob= Objs
   )
});

{x[a](0) = 1, x[b](0) = 1.5, x[c](0) = 2.5, y[a](0) = 1, y[b](0) = 2, y[c](0) = 3, (D(x[a]))(0) = 0, (D(x[b]))(0) = 1, (D(x[c]))(0) = .2, (D(y[a]))(0) = .8, (D(y[b]))(0) = 1.4, (D(y[c]))(0) = -1}

Sol:= dsolve(ODEs union ICs, numeric):

Plot of trajectories:

plots:-odeplot(
   Sol, SpaceObj~(Objs)(t), t= 0..10,
   legend= [Objs[]], scaling= constrained
);

Animation:

plots:-display([
   seq(
      plot(
         subs(Sol(t), (`[]`@SpaceObj)~(Objs)('t')),
         style= point, symbol= solidcircle, symbolsize= 12,
         color= [red, blue, green]
      ), t= 0..10, .1
   )], insequence
);

 


 

Download Three-body.mw

You misplaced the closing brace. You have

pds:= pdsolve({eq1, eq2, IBC, numeric, spacestep = 1/10});

It should be

pds:= pdsolve({eq1, eq2}, IBC, numeric, spacestep = 1/10);

Then there's a more-subtle problem with your initial/boundary conditions. You have D[1](u)(x,0). Are you sure that that shouldn't be D[2](u)(x,0)? The former can't be handled by pdsolve(..., numeric).

When entering the expression, you must explicity enter the dot:

p:= C.A + A;

This will indicate that you want noncommutative multiplication.

It seems that you don't really want plots. What you want is a 50x1000 matrix of computed y values for evenly spaced values of a and x. Each y value can be computed with fsolve, like this

R0:= gamma+2*ln(2)+Re(Psi(1/2+(1+I)*tanh((1+I)*x)/((tau+0.25e-1*a)*y)))+ln(y):
tau:= 9.975:
R0p:= unapply(R0, [a,x]):
R0f:= proc(a,x)
local r:= fsolve(R0p(a,x), y= 0..1);
   `if`(r::float, r, Float(undefined))
end proc:
M:= Matrix(
   (50,1000),
   (i,j)-> R0f(1 + (i-1)*(1-0)/(50-1), 0 + (j-1)*(5-0)/(1000-1)),
   datatype= float[8]
);

This took about a little less than 2 hours on my system, using Digits = 15. It make take less time with a lower value of Digits.

If you actually do want a plot, it will be trivial to generate it from the matrix. It can be a 2D or 3D plot.

eq1:= diff(s(t),t) = (1-phi)*epsilon+(1-rho)*a+(1-f)*alpha*v(t)-(lambda+theta[1]+a+epsilon)*s(t);
eq2:= diff(v(t),t) = phi*epsilon+rho*a+theta[1]*s(t)-((1-f)*alpha+f*theta[2]+a+epsilon)*v(t);
eq3:= diff(e(t),t) = lambda*s(t)-(delta+a+epsilon)*e(t);
eq4:= diff(r(t),t) = eta*i(t)+v(t)*f*theta[2]-(a+epsilon)*r(t);
dsolve({eq1,eq2,eq3,eq4});

The answer is quite lengthy. However, this is a linear system, so the solution is fundamentally simple. If you use dsolve again with numeric values for the parameters, you'll get a simpler solution.

Here is the complete solution done by exhaustive search. My results are identical to what you got with Palisades Evolver, so I'd say that the published paper is wrong! The seven-day problem took 5 seconds; the five-day problem took 41 seconds. How much time did Palisades take?

So people actually make money doing this and they can even publish papers on solution to individual problems? Hmmm, maybe I can find work like that.
 

Finding the minimal distance for a floral farm's delivery truck

 

Author: Carl Love <carl.j.love AT gmail>, 2017-May-13

Keywords: combinatorics, logistics, truck routing problem, real-world business problem

 

Scenario: A florist's farm truck needs to make deliveries to 14 satellite locations every week. At most 3 deliveries can be made per day. Each delivery day must start and end at the central location, the farm.

restart:

N:=14: #Number of delivery destinations. Index 1 represents the delivery origin (the farm).

Distance matrix.  c[i,j] is the distance from location i to location j.

c:= Matrix(
   (N+1)$2, shape= symmetric, scan= triangular,
   [0, op]~([[222,65.4,217,136,115,119,47.9,206,56.5,73,119,189,25.2,104],
                   [251,24.4,284,262,103,213,23,204,155,266,29.2,246,131],
                   [247,76.8,47.4,148,109,235,47.9,103,58.9,218,61.5,168],
                         [279,258,98.9,247,45.1,199,151,261,32.6,242,153],
                             [31.8,181,184,267,80.4,135,41.3,251,137,201],
                                    [159,162,246,59,113,38.9,230,109,179],
                                       [148,87.1,101,53,163,70.9,144,139],
                                          [189,104,102,165,205,53.4,82.3],
                                               [187,139,249,35.2,230,108],
                                                   [55,62.6,171,80.9,121],  
                                                        [117,123,98,93.1],
                                                            [233,120,183],
                                                                [214,135],
                                                                    [123]]                                                                  
));

c := Matrix(15, 15, {(1, 1) = 0, (1, 2) = 222, (1, 3) = 65.4, (1, 4) = 217, (1, 5) = 136, (1, 6) = 115, (1, 7) = 119, (1, 8) = 47.9, (1, 9) = 206, (1, 10) = 56.5, (1, 11) = 73, (1, 12) = 119, (1, 13) = 189, (1, 14) = 25.2, (1, 15) = 104, (2, 2) = 0, (2, 3) = 251, (2, 4) = 24.4, (2, 5) = 284, (2, 6) = 262, (2, 7) = 103, (2, 8) = 213, (2, 9) = 23, (2, 10) = 204, (2, 11) = 155, (2, 12) = 266, (2, 13) = 29.2, (2, 14) = 246, (2, 15) = 131, (3, 3) = 0, (3, 4) = 247, (3, 5) = 76.8, (3, 6) = 47.4, (3, 7) = 148, (3, 8) = 109, (3, 9) = 235, (3, 10) = 47.9, (3, 11) = 103, (3, 12) = 58.9, (3, 13) = 218, (3, 14) = 61.5, (3, 15) = 168, (4, 4) = 0, (4, 5) = 279, (4, 6) = 258, (4, 7) = 98.9, (4, 8) = 247, (4, 9) = 45.1, (4, 10) = 199, (4, 11) = 151, (4, 12) = 261, (4, 13) = 32.6, (4, 14) = 242, (4, 15) = 153, (5, 5) = 0, (5, 6) = 31.8, (5, 7) = 181, (5, 8) = 184, (5, 9) = 267, (5, 10) = 80.4, (5, 11) = 135, (5, 12) = 41.3, (5, 13) = 251, (5, 14) = 137, (5, 15) = 201, (6, 6) = 0, (6, 7) = 159, (6, 8) = 162, (6, 9) = 246, (6, 10) = 59, (6, 11) = 113, (6, 12) = 38.9, (6, 13) = 230, (6, 14) = 109, (6, 15) = 179, (7, 7) = 0, (7, 8) = 148, (7, 9) = 87.1, (7, 10) = 101, (7, 11) = 53, (7, 12) = 163, (7, 13) = 70.9, (7, 14) = 144, (7, 15) = 139, (8, 8) = 0, (8, 9) = 189, (8, 10) = 104, (8, 11) = 102, (8, 12) = 165, (8, 13) = 205, (8, 14) = 53.4, (8, 15) = 82.3, (9, 9) = 0, (9, 10) = 187, (9, 11) = 139, (9, 12) = 249, (9, 13) = 35.2, (9, 14) = 230, (9, 15) = 108, (10, 10) = 0, (10, 11) = 55, (10, 12) = 62.6, (10, 13) = 171, (10, 14) = 80.9, (10, 15) = 121, (11, 11) = 0, (11, 12) = 117, (11, 13) = 123, (11, 14) = 98, (11, 15) = 93.1, (12, 12) = 0, (12, 13) = 233, (12, 14) = 120, (12, 15) = 183, (13, 13) = 0, (13, 14) = 214, (13, 15) = 135, (14, 14) = 0, (14, 15) = 123, (15, 15) = 0}, storage = triangular[upper], shape = [symmetric])

The length of a round trip starting and ending at position 1:

tour_length:= (T::list(And(posint, Not(1))))->
   c[1,T[1]] + add(c[T[i-1],T[i]], i= 2..nops(T)) + c[T[-1],1]
:

The minimal Hamiltonian circuit of a set of delivery destinations:

MinOneTrip:= proc(S::set(And(posint, Not(1))))
option remember;
local P:= combinat:-permute([S[]]), T:= tour_length~(P), k;
   k:= min[index](T);
   HC(S):= P[k]; #Save minimal Hamiltonian circuit for later.
   T[k] #Return length of minimal Hamiltonian circuit.
end proc:   

The minimum distance for a partition:

MinPart:= proc(B::list(posint))
local min:= infinity, minpart, p, pp, d, P, PS:= ListTools:-PartialSums([0,B[]]), n:= nops(B), k;
   for p in Iterator:-SetPartitionFixedSize(B) do
      pp:= p+~1; #Shift indices (1-14) to (2-15)
      P:= convert~({seq(pp[PS[k]+1..PS[k+1]], k= 1..n)}, set);
      d:= add(MinOneTrip~([P[]]));
      if d < min then
         min:= d;
         minpart:= P
      end if
   end do;
   min, HC~(minpart)
end proc:

The first problem:

CodeTools:-Usage(MinPart([2$7]));

memory used=503.54MiB, alloc change=44.01MiB, cpu time=4.67s, real time=4.70s, gc time=375.00ms

2041.8, {[2, 9], [3, 14], [4, 13], [5, 6], [7, 11], [8, 15], [10, 12]}

The second problem:

CodeTools:-Usage(MinPart([3$4, 2]));

memory used=3.92GiB, alloc change=0 bytes, cpu time=40.44s, real time=40.44s, gc time=3.27s

1552.6, {[8, 14], [3, 10, 11], [4, 2, 13], [6, 5, 12], [7, 9, 15]}

``


 

Download Floral_truck_routing_problem.mw

@Febar You should use = (in various places) instead of :=. Something like this:
 

 

restart:

D__T := D__N+D__R:

 

D__N := -D__R*alpha-b*d__2-d__1*p__N+d__0:

 

 

 

Demand not directly related to sales price and second-market demnad

NULL

Sales returns, consumer's return requests

NULL

D__R := theta*R:

S := (1-theta)*R:

NULL``

Refurbishing proportion among returned items

theta := t*(p__N-p__R):

T__N := w__N*D__N:

T__R := w__R*D__R:

NULL

``

Profit of manufacturing process

Pi__m := -D__N*c+T__N:

Pi__s := p__N*D__N-T__N-(p__N-b)*R+T__R-g*S:

Pi__r := D__R*p__R-D__R*u-T__R:

 

 

MSR: Integration of manufacturing, selling, and refurbishing processesNULL

Pi__MSR__M := Pi__m+Pi__s+Pi__r:

diff(Pi__MSR__M, p__N)

-(-R*alpha*t-d__1)*c-t*(p__N-p__R)*R*alpha-b*d__2-d__1*p__N+d__0+p__N*(-R*alpha*t-d__1)-R+g*t*R+t*R*p__R-t*R*u

NULLNULL

solve(%, p__N);

(1/2)*(R*alpha*c*t+R*alpha*p__R*t+R*g*t+R*p__R*t-R*t*u-b*d__2+c*d__1-R+d__0)/(R*alpha*t+d__1)

eval(%, R= r__0 - r__1*b);

(1/2)*((-b*r__1+r__0)*alpha*c*t+t*(-b*r__1+r__0)*p__R*alpha+g*t*(-b*r__1+r__0)+t*(-b*r__1+r__0)*p__R-t*(-b*r__1+r__0)*u-b*d__2+c*d__1+r__1*b-r__0+d__0)/(t*(-b*r__1+r__0)*alpha+d__1)

simplify(%, {d__0 - d__2*b = D__0, r__0 - r__1*b = R});

((-1+((c+p__R)*alpha+g-u+p__R)*t)*R+c*d__1+D__0)/(2*R*alpha*t+2*d__1)

``

Download Joint_Pricing_Sol_.mw

This isn't the final simplified form that you were hoping for. But surely you can see that it's impossible to eliminate the variables alpha, g, u, and t using solely the information that you've provided.

Note that my simplify command is in the "simplify with side relations" form that Robert Lopez mentioned.

@Elisha I'm sorry, Elisha, but your code doesn't make sense to me, and I can't extract your equations from it. If you post a photo of your equations in standard mathematical form, I'd be able to work with that. I'd also need the initial conditions and  numeric values for all parameters.

What you are asking about is one of the most common operations in Maple, and you should be able to find thousands of Answered Questions about it if you search MaplePrimes. Also, read the help ?dsolve,numeric. The information on that help page can be overwhelming for a new user, so I recommend that you start reading in the examples section.

Here's an example. The process is really quite simple:
 

restart:

eq1:= diff(y1(t), t) = A*y1(t) + B*y2(t);

diff(y1(t), t) = A*y1(t)+B*y2(t)

eq2:= diff(y2(t), t) = a*y1(t) - b*y2(t):

init_conds:= y1(0) = y1_0, y2(0) = y2_0;

y1(0) = y1_0, y2(0) = y2_0

sys:= {eq1, eq2, init_conds}:

sol:= dsolve(sys, numeric, parameters= [A, B, a, b, y1_0, y2_0], method= rkf45):

Specify numeric values for all parameters:

sol(parameters= [A= 1, B= 2, a= 3, b= 4, y1_0= 5, y2_0= 6]);

[A = 1., B = 2., a = 3., b = 4., y1_0 = 5., y2_0 = 6.]

Evaluate the system at t = 2:

sol(2);

[t = 2., y1(t) = HFloat(327.5886893372727), y2(t) = HFloat(163.79450353588106)]

plots:-odeplot(sol, [[t, y1(t)], [t, y2(t)]], t= 0..2, legend= [y1,y2], labels= [t, ``]);

 


 

Download dsolve_rkf45.mw

For a linear recurrence of order greater than one with constant coefficients, a matrix-powering method with repeated squaring is by far the fastest method of evaluation for large values of the independent variable. This is the method used by rsolve(..., makeproc) for these recurrences.

Here's this method compared with evaluation of the closed form and a recursive procedure using memoization.
 

Method 1: Evaluation of the closed form using round.

restart:

r1:= unapply(rsolve({F(m) = 2*F(m-1) + 4*F(m-2), F(0)=2, F(1)=4}, F), m);

proc (m) options operator, arrow; (1-(1/5)*5^(1/2))*(-5^(1/2)+1)^m+((1/5)*5^(1/2)+1)*(5^(1/2)+1)^m end proc

CodeTools:-Usage(round(r1(2^16)));

memory used=13.83MiB, alloc change=10.74MiB, cpu time=266.00ms, real time=257.00ms, gc time=0ns

47459142934875266699252847542114601066814921621197419788825193384692552850489410310983009514697804616368400049498372419841104284550829020643994628972805944378586257511203322582733817853036809679300499224519745859422436970825599373074491972800170276989148535314936631975197381290868660529974732413046657568538284270228939616407954099118006989061796531256060562472297585145637670436969854043891487786951384808911146994413688124194434386602805594985686819887300633248227898815611009032541077535154963807296627209325434745931392506146032810713004610014040278898496728181089391634421025767334851373011788160368192178984863642588143130005651360286828510844476803551478467108004314126365811041006302414037069679197656432432213727971989960869360706769331133637807647752668899394354581218284195666230702020758559511179231097505539813202061707168544277711953629657330400885647161627566823531868725796612270402965201545525458935510680591951594684350450098866759029234729204393941149340565275182521685221514296719871174153502234407272990345943272422674932647993861503656693742005499266157279899181371994838065165643411552889331867378724566690861206121235439842565465361387517243666904113391707794445286825445574735156516320990329552820033700501053491989719697776052474691802051439402114326280715892094732704203183380016617638712544058808874601364256732644634193387145024201883362277447999952305703104006986619065934754893147647592534113692559711657227549511204994193452152999939894612999420747063997612575991277705920552670311122847967748057340933342026282474499337822949238036083083294057372531941261568492828835181342535909251066224934906097874091186423481976514941430118947444548440989904608460099981249721964930372613573698803899428657640096683532113794440593541524648646044038849952368817309875206918045509225825095487387925304445193700627060431505287644524399616731025315269263619268574465264171547839889287565119008822564716117098782706205851317437415621437011489278074764464922160466674714076501068631525200065558842621611024074716290338303677240855477387797949106547985018592491183941749079075082607106736901493240727456841949777326271018111372621405800924074210940877685133561032823898884068381881321298091723466250608504714262041365329410072942582266874804975291990957225224069693553704353527222094240980558678631273569227092122906853536669421980440176793604603631590223698477094704827335723698216618392367724440641656378364837413696602054482798876093010739995019520353938950758932675266963673912849383723851598144332077129831223218254554349986376228166732600849291950774486221507971381149857495097853860877082736803196781269920630061041514178326359511692124177092218872095394042511437545967257467636892888382763544724928887636602780694189310008754508368438955671915025507209769842008940717707610568759184073163874308709118188770716794327942918261312014060679470462708113923793505634078764787862815595402171393125105059979485298405654485360613099076173683561075082494577614488465430851500567394741465683290569234942424652419428767076978104561893237925133744300118680119337367433903485956488381959658232535197657711014634359220358433309712346119788578445252244242408964611582294253647846241939118660801394178105418716428393029594199172068543492714208781601156672455645002574206105690881990164915084082047802403215954806686157550114817693510215401999383653746333117084155431095823376689892691180791376486208387266000670756426385973533586049093252682205527359309045820210502424802797202444655916184795260306625751740349237695497529619529353448667306985624752335587166795709522128975351739698335496869543968202074366872913100216282015292066104549634496395572950679060085674714254262689775317530835957934291297415891015042263096935783642361291682501845215452205724138854605905902888238967608187039580126901329137125390029853537718608306407889088293350590501569452090851708718912318492317806296511859993862618928292363372823862434661464999919730073693011473851385426599494766663165068271364083493638883108859525879726456142400132093542587930502454643026326456628692012115791421845278093639617432739570002749835134970418344178489108267438483071193670534441224481399256600722930270285754542372281739181130256115816753454008881018628722277955311645274119357251796686434367456232910906537304297655826419150061665363007705678812367639035754233694958339705157429804695640360778375681865307018255524864226394613361708206648560887522756191479102593115710993408611733611563264204054707497643486566179696710255667073290535078991999342021582409595437671824088308088224099084415867298685893162342523261887988854813374977395297662116165068099028122976553382864755978078256284759110909547042526152626779573891291516218729330625673626180784256330726701210212784943678726926433651679137396152995326730578404228285562647247635024914312559037976321206297862729764703363005816488743207960903728010974524743144404764334485859822694552123344494148144025757904939147331493811626370380801912495434986251183003184635850881679079575477340646405016858185778022024330388487852368983756338833578290955340512348127288817979100255138749517605531129992433512693417033186669079391283214426146759660451239038433475123846386902805709341764722096948395860137874054034419407540335252179683071660082832610708176041967980839897992987842680721136764672261190477902707465210067361485378544962308284563503219569737647381421214564439651951014456799904986054680915527015681168341066715163038943389603375259542377930160806870261642085766682930669851204597621048302524149286296237174949230386328990019844715520730654425734772714362611478275120410532460387663784848861984360963851507191997740922946266987378062607915038105379573757266348824595407131014768805352991541896613566980289844663913190060676296224435669087600888685074094020550595125032506071164439550228573106794138517504227564191578271231504281709089797042188508635907704562122381835912611295083159400554106028346261395673572190270266767268777464107903391075417170258138323759850867800849882285887950051209874853699148283122126064152829660173114202529152816096696989450601962069071089454686308496327149704978909766301111095755357235440928639642770830606764386053794324713161498797395696647631985083664921732199553740045154069733058589007931655835498419904756934986010250589100501035698163386658241721313812098833311847935889529572145536321707189998735866840277594264691433023736982480575518722100446448100574926370975694631158590538541775495049875384132251862369039116828921798525154123784261383766605347399178346705112629367996338553408822181775715646290276086021225397661638998509226610463590994671955655831448957659826928385662614522537941724834364206856996911490232667248876133983569133401363321899388872425843191855242162992813960165298592486327264171537147516582717544876440851475383830272855134561655913079545301148437566235935868517166156794681257330397914240326647074579081144732770045667863672855636942872361590976463042666531222449976169640324287963249368404014307502018520321302605655030930765402711122660368253044746502229959904951034021104490003236007646664945173960379183823398420122272118540871266008660151193177264690658700899598114759318275149014076842162456942872651899577569099049025463907119225768160517852138566771312365856324636238203171937818830985971299469302615859475126112493816872647982302971426074182968723846414576521485962858687331994662221916872524020894434687681296144314579150120144815745924754229706997724716437431370380480840911026010025385628624124731142888982816675515195751675187240844181082867299453925378988106940259280086088431212738246105434411278436940147188298985543097481799964583887092757852225286291236113916294713752476822788457247995372259098377921672392248705165090646386942773515885623652766495618790320811638218494022934612428278706282383712087994905870823995584533669138917434118137198467233576205042333935972523062169735538270655978535522137658953561349275415502982257199676263741557843220583571713464819068521740213447241201234526471170602168823489854194198398466868532068788695411934628949124751673843952110023577310879699397948558387662092736457714963916547232083843842928793765820401949031968452059679671369566360404877785687883022540645240021126993969420894555084387124014917686897414390558922833004344694741961310641088253398706390394778887478592438286476546757999660268376312036380691843241047964488811537109138344672621433569448621449634731655562024521144374442718276104095924728407782816755818601765748865286748900619770805886343472984470516480362988291709766975867435149113916174829087767513662557255397476781612143335014836816279090790531969426839106567572873151356423704777669899125297562038364861164821007471014098672097686101356510719052988258177402396627132019778276695511180280183507123778447657749628070312254475529542042472098842023892955744506408424614750022371661766781386994958249558106582142592580608094335374204345024587489065439335375004931811059346770384918690266842333704689782665540093664262229064521872768085186940925739806704604171893421501147378280108070269939533829907530644088613787275102007649911000429305118440624782459674101675299832542453330399591487576707297150287702652618734832950820657280372961578553517470377790701280258726453117493084773505145801519524314416475947189751873960298737814211169656571501427782223583478171481122327265775218536253108492318426953641951512784202014336120620957361564448812202312177252298505142800551362185827170422774117013518295884355369047438201693505257148080158015435076670709601387222327208659655227972623396432901761522657880498277064505742485179739582307822314656595353297950487664533770767710141003841985450751364776334460138452671691058849229477186353108429599048909234040816023744657409865626758013722706232090288851685667919108454914322973856493207811415085201376676772689683386588681111887589318797497195538205772787107818351807975907332366249854936010915859981579266581223032785032632037514679498982974282312896227816171505376709283486083257217450308386856717162539077370477430433538386968675051014057254144497430085967892193057663035362014717851931934103864866188361123792300828912087362854875819003661541915156433478447319184367393977804350064560398536423858007207963829893084010137357878249786959509209873952244703326786987626053390139090659567083857904399617864375167977905286689132283517126910954530894462415813979227983057887796545329490788187621949944295112223213634448180979764807682874228490671077205338348721191507219755823701696154346656813607435840191399543983220778512403190352485434309303336038859971842651225845464279822599386673477561118208327413523613472055757981651294047986239382985147703755200923183064167852840149049769827608507918264865905114957844653552995405099338092383945802899960777310478466807799143917529518967885819815692562390601684093129867851390610474970276850022329858790623960636199339652097200462998944470854347933552080821229103902346917450486211258229300105093016176464841003871003204132044187759436751028070737337464503326283593732010246111098970699078291187009408482725103975125552299960799093031689824272536832180122400837504883222221260968922133980894160671895461470254903710239671855525357257123736341258520876368457134217631613699590516684853611027692359343122043909766026621726289252663565826256600995643503178621620291917557110470395762411531259695559294098359876642945717604777693602163414248316754221839460203543465084563296828455057025359555818713208760736228420398936264873978572921068324074471667586613211559620102728476099067122468035365359711493093289882525032559760304475017129751100097802003076427000585606020417713776615536839020549690388889738450516858771644101617263850998921092298402901239299976057160972428634561499276334225592240473066056893965136666991012385867772872881008860771876912182099076334059112752128364798155594293020232548469326077776503654331220978714731006827521845809250909579095892907777053888754153089949321813948206464899053903076534294783725918396804044072599801379192613955132683931593347693147836966828287088649003507424040073387090928011735810429097948298241828658034856814631437176261543996732276361909905855479582499800156575901020465934835581748780697553054653082020261374498810550703248472163558988122854066310271989085652295747470390048217199303024784600125077173410942908645881751685316861631941765469624494414005627867842963317640388482060843215551193930646900611088936063482724472708793688179142980659361342043881758162702163905019530876388525173296973057700207723317209128656066074586173256056539609497994653190877243118738957549189274247288957296696366861832047305473873049676984062365182115678885524183648955879856655308819302402323832343843507048407438870163211074608979496680256408619746040222989918154333192864515182242114843944608536106057809676665028088037415534881950066344841410884896355396518493599351234199218641368695967083706958124197990801677901801062497437856276238891815524797154033749064199323099227484699958355088938817156662640105890991974003291248403090652260507187652238462191109446512443770726125087328930391652478604809139271386670702263574773024103159184359248743767266803086663564029383366664282960126759544653138069612534288304596292069148331658921386350161772425715754403381701837751727479426956282868223156210704936918654640899053662861530348033288571770042498617576494790145441400289358945678007102856784863146084264068455179533315129629051584406909490435542301289084650558224672191974636206714119487967449380500329717276918360931859260202638564152302481204964127889469743051129395038841813475497143040145768832369889982358342918103785340777082207574798029050882261880784629428321060133086798080986719791917851202176414696812603552283332016688406310618958283040133714804489866607697709661360879657789463628342057593152028656546711179991485355928060063168020013431882896583174448615987839679684686258657630706329281601518342516336603423221903512921800286458216923829932015653072601279858298734975425879602110729537020527026524761175932961515892765596442043298395943995742209565689815459641303628686471009589888960795127617312637933862822981431905745567279171967638589549425521764765602534439241469717419608332570742729501821944604855806236605585354143459009266640892470716682945189214886142135855392771193519203319425727480443220491215723886928297880049249179676718329714011908226037769073061363050719966201211560332312163981191371092684069611437482621983535326687387054537093533500666300977952723469596922208296804300708298263341518669508767093131666295839695769629322881144346752525947305123660397589612229515120421202516729517827640144459839688615745973765872424412701679726939673570175347538855380557695911921737275744102089078934207633879700535497893160044053517533962894703317466290898768410628041129654623839260246443373607239787743921496018836433619199411521367270287900345143649066215466536242108769494045419642764111305860740349966045043679501455026754584464542227076313921808453585479179190127502877873362882265968964498328167942309796666766573137337180567718462194239829741234787641664751319457082525509870506029506928984170516884111229671561681071230311056992068929856949237761147799194990469854911618419169568358065381838451928029483109548900449931674432206804683365429823094646781002244238759082750891393071711465104670800559468327081063894006168700794546521024474867807774802607725679142077307660263340838037704017933179542022394843400601916040860908855747285990139057905732668379766251196517507065502103573480238261510487496767608171940510393048208875408202115853922205631844103793925880202579385544224942769889492281959035320361733186145570550485714913180624043765543784379705871377399763514573153640170706979864264074961016208197285351355434538646837852351992060878872482570049683001738516381134939701939150154114818491680250581420691299522595323106661138202262838981120569632860843672056626539746324097801628188544917369879677536447327708811781229766049065321221240208425590694684407756015997141320935171784550716685516029928019125129586085291727167622496907233377050475480466381007954802758247705733762117887402601315102406095026976398057546505101690643730564673678762747481351738956973085359260360363301738989532728464985029327257183993385794694394304663935569658018801193153602330555348949573251739401651689888371165654696198208628838183460719035560827861442935392587954007700373097729826471824071392485778395889087047645718979377058695110011461454274085382040073711750096460071463273143533580914950158013677719006167193990329596316169697712932050757879068493580964527092376036872371313418731134608371392179595153215552750446862561629323572573136451690522107488129212136539979297278850494533727426584910918963660071695567283092226140481894504172169989483555896134711922286330002464511891689054014927961181532982965376511130374180546734892626720366034957622651754763347058192095661307920629910623862468967667541357089220380394189542627414900498718910400525799199153277815296404225181771312966013572873995152014607651933225172837425322267437756945729924643187107115491837334958548846443993071306062582984032395166495076908824646674662406201554419212245622831878458882107179099936115182596398245917700109876376851778359449869023368364397537520705657837084156920691858606027969675819650458831243368787177295193788429912842851316905066937748150005089264935625409284420093766837849302302511265707951810944111060588026188953394238055215478112329063456280964888984001149623939089102975048729058369643440574111525025342364269179046703370244851833549793712693114720365325142266548068017340491196001751065514335230632601726143352262270446314270734164337346986717961810166165842129397360431096529632769909408508683481638158451058956064702207138745494151465128313356904898320679139434625913866431428556164581021350473272643571585916439194890962282981773367144864559980777075964727601100512236975535496841219059473061143981417829276453527753314760167765146143180820814861588956895535166094821145735282185602965653816200846732818510555377708209860010479065972509709000207677696202521213509136120677997252432518674996869518766681850802247574265983022730257943514673830052912501913106666972524809358452462305284542425111926252377017310935693265956156269232512843349179299072360266280037771720266102931629546317633953513242622126307978487768014307701028171737190971407646295561789009275556059942130827314994293505691614899378815405877923566103386066882298316576318229392938508563929369268490978673540526922109907639412117313479107038855589337655100678346021570227079386921649965657543901443583793180517763627717711822470489120582835197953943092354163442171150257643370138687971771770052537175518608852255638188906332461141648572892141783544273778792528345168998378861129841433277879680676440306243982201610756125611485207982790584540995814941950755367618794697577533590394289683288692731214297517379976102876334618559418268744683358901221969611291121631233477157529896976530507626789037126002763151576867828490768216780840360066486559627704960518917047727598254799671090094743396769398887661779282511631757068205497017330025928350473146759339612047370551070842792129980845937872462681535430023446100645502752460241874275757017026761550696100907700228602397509252878897247236275598482225349913576907496611617538297478110453408911601162464158987667173115581599167457766177974382124215923565223299898980780741461450452326448692571334472952230181322076211041103447802981749749739562745940736914238080130715292211168468471014941865946329426995211418021226509354476334704291673239520194803053744436699579565817933662102689157586172840544574914669582104410730578000125089929690782546273714998229438579983572620754610194280899590193240831489087460041292547977255784648490700480513094293411846752091835722802123258531457660779385372452366487728294323157902518958464913923373042653947831725010175665042892516599319423196803557931893583760711864395505475865866798713051057865465178365959866386092302595692581524024717742297293001069567367450150184388116535478437073974281137681049457050499142443761942019526234399195778376373716810550926602160961049969671758468139126880218940676981483411297749872323575074668897335171854700795735522066315153702731419518517257392358405266181551647059661918680116448653996107570911163336465805332886706183491651891654598943557116243675107887940615845494643375145019598140165981820265816330535691136357575978493626577381164460334497475844858569642794852438948526077357302128595595497376604628022090824738849718053248170156552018603347999249329434308218755284511234358515760569249747843196437760693521823355436910095952566983501559644602225495934883378540911110629835143539370561501296305549623873321654739383260208811510617393907190087929603523040950770685062712480487068297560223816077669256620524935749876381915820598129571446973799568674987978064236876130467263337625013982395544807148427811375180985721393683183289655599000934090483346538305494231096879496333195818362932004518150607369223671138663372652618416242933982059041208757840237563462762944708208080340720088568270929212631541852061648121569959970332378056735460858977009103927764574110442073723471726364690774393928880250594854526010367180128210995133820551742891505695507862926475009562301318227247271825166653210718024495280686654456227278564554363463828960165007996436301978944686395820103067831966300047951763147648540922656782211285640029430463674615740103676513922868824261590753711012566018079581207995180692201767531997495242348523718431959352129022195693100868559450644690304908863987603047426383750416826221564697740295312823865889650420102579303574357792155293725718593558870848730083945939891201780588309642585961283375580011846818014418868520752686602250804342974011825824172131643093227834202544312520457203413265480289303849056490076558737563892109587898245726478746776245258072173692338259219349937549951490672106938342942213879902908455077382692914971430910986236594346297800829410307789555356910765838124334422136336406546765967918374045212353486007852200941200553973611916951183814605077946855525517981174122234724469583961362115899999907948767545112611843820109623539381520325343967560433539691475221830911091201951255636424335029123007718241474877916020752141424182624835842004379487124291124740204992455738368661844347505168433762997690562384210214493438083239808616020480245175188668911575817098286205536064507422792450568092803767092744289010591770951503206502839694427944650761450624655530326863420635603941524760010529218018145662486774434010292053086984984027723526679301008784465657462045359840125433879049418215706451701017283137565056358874588520352512468724302758956288910593513282941054925674734002077032287701936687257260197666585050195408869596380575041554061871233673332004082196355636568284428024645234614032307463340260792664784851627224463170990382572250844897757801440247468771543159804884084235407833970271219584094679680812825229286682331500020318423376717879292082070685511170874284160301894420620839566855307813386040896006801472868370404352665368983753107810053506377496827185087307152867608623375879139692466637971679318397382514442670332061743862540719745622372517300509157417152621768457004225413694212660796910674526017064309345261551697309573835583233691324883235518391355429474198359055138111853291708281853563834369635057660657051772865680033521521982922483323526566918131620444983786792390028373318220262139874993214085552583357353327056830465833450866106953949930240189238380811043662462969804755638557074299949451513400919219816690365925117403904551041417992470789740153375206922883780270517642302481921628526183944623701667461021290254263063287088621707599453468865468449490799871879598131963682705959718467947298592026070055075748205467878729653258365922948662586389698639776347191986294955415884015267708860020525159868180696981283013769205082985652587200068515534184392820506507123422720106008895737061333724845617438085512417263516564278601582508406922937440199626491924545206047228821530520263150424759364841034990076244622640432018013867732951918240814638893055109044644202773833458943988423943542644531519247191498035607129921648691368782016243085268335745336212228108841391628139228432632094799767768068113915688448945097687251846308060411798297075230886998054834712105615505029057326840099479778016004741582552807347066330280146674778288139385672891928212618217626877443898118880173443807661717198925088331036438242737705948187395646842572951613318505180970510818044455315342716599475290013483169276841517830969191031078582510202380212266527808550871032858675122972817576584897117550774673757406120599074087865286016515420885243892786768433175039551690291481064772848397334717689368603590646484993541316151590745070351897834896722758419158739393119274786925428991548107558374544528816422880530747576890927187272238273549942040251219324651527583083123421079394796589273645076025962306542059967363791884022298198236172068545600995788899718266983026537201072471645893934277196519398514190358576143088889579072394861887414802470348502000971124137576386741263620374593487958781707298595468551999002330437691132040151500417012617153833931119162258640903960248812132466188758471981088047370085783368372813338860528249021025021474209439899370238525310488433156838092761278637554083186812041507864422290713696974928294373410626716071264226939660563474178906855093862993282154374459641846723148754386981571250313814819625452161112214628096312031169179091194125974597521685017278957212922818700025677900587217512928276547612024612281052035090445117739138468817343914547849305260466546474391606311469183874215627125488019449507538807284484226062001815420825654978156643438169916973834689435173581683406761245661759380388354541851883346039294500733953599020911608430019148716957253568071783114175088664275149054002079826516390939089633308450866839701484800256202337941293526087407655059063345230214296748202658207270806765102163401548845734395781235269258456845790702134620080487880607503553492380869429014614826878282205744807487920402335996509971508424106883717270116554314339278215704202030876459126912327566276661630448170201043150739689264007222466768905663577023960869621175114364084749894519450705610186468912655319878298106387684848516276470473871948991476999003645114182965859056875061947063851680042791627944965501725274889932336708868165448891864321673258223270789612291864881780027166760778997300336285244840077268331558291234471214604188175515579907754665487932910003829877640514653979453425473722604351630627188606589380546425695970931266182636724401035200587628868975808431426610103920119353939113691715217724048798309430648700433290326159000446746682594667948365765761026474257154588657527780921754198321051101324381858212024054283795239536528319290613936243285697095632869208250414300279350903838014475817847104276790024537352913609638802846877621632011582319987956632351413557528501935414973154954779962036706503183379378723115263859461929141954120281060489876446979758029782898239241609602982417365717804955840698223111258368046304836913866337282040470168405113949424400906184964968997412468273737602040120067461317149356205282511372645064953954970837897351261674366641891780304735319517709733745067393210496808207757912821342238255894830704585996269018763997144703216713928276132229149521551029316527427956929714749663396627020960082206919414492872662453798784605907686704016061606513964342557426129752134918280221460507460612228919236884094461789768754855739986962792773335332236457241492053322335483934355097309163782972235040563482580985700347523092521399799531167177055853499729014313250459604500929144604978348033439447086568665406134634762603567948973953032083657511377451321381365718820335355481343421759297298074192660064014804626443388280536373175164053454344963944143083024010358701833774470298842250716778157767899457977593497962146457270943484282197522110356881661689321748587134231038703929643551845163373375831261128452322709444904010606902282053532334991907779427161503764496016275573607659271206827395264327438874883145542490221807264341638549602419808491590415424570568194236979671094059806316064782759008945194893587181515442741863730339376445028729811953571844696538882011063214154087303676478231430376449846126921264553453822295409963817210286226940736731609136493478482487442832146511291097794197940837422169555152312490652712933228943442017341630656529962862837056791222414104535760610279954575700732672403031994420541217795433805527080738942410615361112902791237337051138697627561977960780926519735184748000148240344195529557630255197628248238322890502722833302678663227622717157832425338740692299601326422302967928220284267316794122779473833110088917275415715853610037207917258832419257550056105280519744836311221864601299631919970857788842516254269045893444820627107525385265131097919710250239697548181140858649948565727584070054061420736176303816028696369414776271896049430578627589091264712347517032754159368298978100675347730514157668861911658959778494145724182054436213986873034878418927759379069448743147120286144306551121072261808956574966183325650124982678541186161895651925940799368436846787466639928419864996613419258610861426229540715248160517273773241641592901392384365383190887454563207476484831841406664025635597102932238718924839613500593937827918296688245681262289465821042064936643988056270274250725851435371388670718921658588187531578118500139690387654132283293927561935877210911859132210350041765640021865849398874957603781586677758342461095257494687396130276462460346327372175948706727029662432125397612446565834181922978009843975476866205476222201266161991724051856381249932314437900272593252407145608937549450268971291187144485688061564361152808822596272854247417371208194302900761061617950553533467933683387732948155384506534457791806229876981399735813565894128971328020270114213637565639504310526700263151544812796447435405525874764902532185571927351487453802902377413046933049918827006931362412592285860901639486220209020426065683433824577312410149801239946609960193754818332884407967162629457189160129556138002201603564705686641390035177054250401675451636757100774523953790043793212273195922928609704211293353513700873828729103653343667413034317014374006522945150246418316548789814926451729929832585008480717791377549945323714847861176436667744816869125916004238569808740771057672036326160741229669061617295871059147232639615210388952078722585327813199516135471365147885019006421424486462050637814716972625652865896815717719352969206779712984224467960944967348057288107161426014715872750956943095538111387360927338445016274585627343173877741133677955611100239117962606669501898054744358608073054234899304094993085455267337090119909606458398059478093481809958549949740574869121963822586773516188123079311221887190546019478108921424394387321875123325241596442791398416725566715203024041296419997240203291484200069353458238328504761668718123513596205544950331049640853719469604292613550331318760442335270701478482951219500508732302537349864680133796404138427805806586181845443772121931465559518119361635976409650500163244108132341494537749618403359228398145138579447021481317795874048581101881782200834961059966741507512481465051037926616722624483334911144402109967183596751140094159165558571185327986295605530442847969072566735614752060144814667922264861157959303548732142400113949581106579659573602562902940272716465876926054342443328319052133232248611030326311547260864047000765473740808046903766675797701055787774647097005767040773248135722153094308500162464830929489500201640249763137892637071382836297332718759574664760355582223652617232670861054637602414648102350219312496390396728889373489996589941586961747614333992635433160463701978594629135714780914689214507615764682705828982097421732065755939843393624549119587230882877209832291943384419669589551577145741299313392147496540168460436248112220808646249793425983515724977096304389255261843668716379881988785789443984792986519906747498532161957679204682446934794248056163096154284326664901544813276381124746332692898032002466625903984215779645739208918621332551047599754831655584403874270221059466772496202889396597836365330361959685567881546753594379770103672439460731391139198637742650445642692090360518274462078924499285966512147373207066914997044788890524920252219692128416819864108863542363608426473244434316027812121695904334282078123333124566463702525306758773258570814250456866251020926876207428892297210329258966144976427396893492471859881035097366826037828943536291874266829709460065024671404872734320922662319267864207471385616111874511191338983354402486829828372576547866481233210912587888332011194690944320444894460234129515042011906903174880830551962127982664911227734099935480547263737816008078214670860175868458359375958623731779694101330919135281112767249242187773157508287887732312453617850492734871368154372207975329516246960055182461083732464741352477339562383842405127817968971710726226143128081824317472969749889545884226542121889132143376682809837727848081585450507826026157068935098621565073054649647260296585829743272209808144327645467004884989058819683969076491553420927749783369830287880935539048842416619792277285526054738265145770872601180056973501523598600263645553975984197855885368453502211186919072328064572775405104468461616632724328034858489439483519943392162371769307443927095637624879855691651241709115071695880268487722950336135489002302260671451836186624

Method 2: Matrix method via rsolve(..., makeproc).

restart:

r2:= rsolve({F(m) = 2*F(m-1) + 4*F(m-2), F(0)=2, F(1)=4}, F, makeproc):

CodeTools:-Usage(r2(2^16));

memory used=2.80MiB, alloc change=0 bytes, cpu time=15.00ms, real time=7.00ms, gc time=0ns

47459142934875266699252847542114601066814921621197419788825193384692552850489410310983009514697804616368400049498372419841104284550829020643994628972805944378586257511203322582733817853036809679300499224519745859422436970825599373074491972800170276989148535314936631975197381290868660529974732413046657568538284270228939616407954099118006989061796531256060562472297585145637670436969854043891487786951384808911146994413688124194434386602805594985686819887300633248227898815611009032541077535154963807296627209325434745931392506146032810713004610014040278898496728181089391634421025767334851373011788160368192178984863642588143130005651360286828510844476803551478467108004314126365811041006302414037069679197656432432213727971989960869360706769331133637807647752668899394354581218284195666230702020758559511179231097505539813202061707168544277711953629657330400885647161627566823531868725796612270402965201545525458935510680591951594684350450098866759029234729204393941149340565275182521685221514296719871174153502234407272990345943272422674932647993861503656693742005499266157279899181371994838065165643411552889331867378724566690861206121235439842565465361387517243666904113391707794445286825445574735156516320990329552820033700501053491989719697776052474691802051439402114326280715892094732704203183380016617638712544058808874601364256732644634193387145024201883362277447999952305703104006986619065934754893147647592534113692559711657227549511204994193452152999939894612999420747063997612575991277705920552670311122847967748057340933342026282474499337822949238036083083294057372531941261568492828835181342535909251066224934906097874091186423481976514941430118947444548440989904608460099981249721964930372613573698803899428657640096683532113794440593541524648646044038849952368817309875206918045509225825095487387925304445193700627060431505287644524399616731025315269263619268574465264171547839889287565119008822564716117098782706205851317437415621437011489278074764464922160466674714076501068631525200065558842621611024074716290338303677240855477387797949106547985018592491183941749079075082607106736901493240727456841949777326271018111372621405800924074210940877685133561032823898884068381881321298091723466250608504714262041365329410072942582266874804975291990957225224069693553704353527222094240980558678631273569227092122906853536669421980440176793604603631590223698477094704827335723698216618392367724440641656378364837413696602054482798876093010739995019520353938950758932675266963673912849383723851598144332077129831223218254554349986376228166732600849291950774486221507971381149857495097853860877082736803196781269920630061041514178326359511692124177092218872095394042511437545967257467636892888382763544724928887636602780694189310008754508368438955671915025507209769842008940717707610568759184073163874308709118188770716794327942918261312014060679470462708113923793505634078764787862815595402171393125105059979485298405654485360613099076173683561075082494577614488465430851500567394741465683290569234942424652419428767076978104561893237925133744300118680119337367433903485956488381959658232535197657711014634359220358433309712346119788578445252244242408964611582294253647846241939118660801394178105418716428393029594199172068543492714208781601156672455645002574206105690881990164915084082047802403215954806686157550114817693510215401999383653746333117084155431095823376689892691180791376486208387266000670756426385973533586049093252682205527359309045820210502424802797202444655916184795260306625751740349237695497529619529353448667306985624752335587166795709522128975351739698335496869543968202074366872913100216282015292066104549634496395572950679060085674714254262689775317530835957934291297415891015042263096935783642361291682501845215452205724138854605905902888238967608187039580126901329137125390029853537718608306407889088293350590501569452090851708718912318492317806296511859993862618928292363372823862434661464999919730073693011473851385426599494766663165068271364083493638883108859525879726456142400132093542587930502454643026326456628692012115791421845278093639617432739570002749835134970418344178489108267438483071193670534441224481399256600722930270285754542372281739181130256115816753454008881018628722277955311645274119357251796686434367456232910906537304297655826419150061665363007705678812367639035754233694958339705157429804695640360778375681865307018255524864226394613361708206648560887522756191479102593115710993408611733611563264204054707497643486566179696710255667073290535078991999342021582409595437671824088308088224099084415867298685893162342523261887988854813374977395297662116165068099028122976553382864755978078256284759110909547042526152626779573891291516218729330625673626180784256330726701210212784943678726926433651679137396152995326730578404228285562647247635024914312559037976321206297862729764703363005816488743207960903728010974524743144404764334485859822694552123344494148144025757904939147331493811626370380801912495434986251183003184635850881679079575477340646405016858185778022024330388487852368983756338833578290955340512348127288817979100255138749517605531129992433512693417033186669079391283214426146759660451239038433475123846386902805709341764722096948395860137874054034419407540335252179683071660082832610708176041967980839897992987842680721136764672261190477902707465210067361485378544962308284563503219569737647381421214564439651951014456799904986054680915527015681168341066715163038943389603375259542377930160806870261642085766682930669851204597621048302524149286296237174949230386328990019844715520730654425734772714362611478275120410532460387663784848861984360963851507191997740922946266987378062607915038105379573757266348824595407131014768805352991541896613566980289844663913190060676296224435669087600888685074094020550595125032506071164439550228573106794138517504227564191578271231504281709089797042188508635907704562122381835912611295083159400554106028346261395673572190270266767268777464107903391075417170258138323759850867800849882285887950051209874853699148283122126064152829660173114202529152816096696989450601962069071089454686308496327149704978909766301111095755357235440928639642770830606764386053794324713161498797395696647631985083664921732199553740045154069733058589007931655835498419904756934986010250589100501035698163386658241721313812098833311847935889529572145536321707189998735866840277594264691433023736982480575518722100446448100574926370975694631158590538541775495049875384132251862369039116828921798525154123784261383766605347399178346705112629367996338553408822181775715646290276086021225397661638998509226610463590994671955655831448957659826928385662614522537941724834364206856996911490232667248876133983569133401363321899388872425843191855242162992813960165298592486327264171537147516582717544876440851475383830272855134561655913079545301148437566235935868517166156794681257330397914240326647074579081144732770045667863672855636942872361590976463042666531222449976169640324287963249368404014307502018520321302605655030930765402711122660368253044746502229959904951034021104490003236007646664945173960379183823398420122272118540871266008660151193177264690658700899598114759318275149014076842162456942872651899577569099049025463907119225768160517852138566771312365856324636238203171937818830985971299469302615859475126112493816872647982302971426074182968723846414576521485962858687331994662221916872524020894434687681296144314579150120144815745924754229706997724716437431370380480840911026010025385628624124731142888982816675515195751675187240844181082867299453925378988106940259280086088431212738246105434411278436940147188298985543097481799964583887092757852225286291236113916294713752476822788457247995372259098377921672392248705165090646386942773515885623652766495618790320811638218494022934612428278706282383712087994905870823995584533669138917434118137198467233576205042333935972523062169735538270655978535522137658953561349275415502982257199676263741557843220583571713464819068521740213447241201234526471170602168823489854194198398466868532068788695411934628949124751673843952110023577310879699397948558387662092736457714963916547232083843842928793765820401949031968452059679671369566360404877785687883022540645240021126993969420894555084387124014917686897414390558922833004344694741961310641088253398706390394778887478592438286476546757999660268376312036380691843241047964488811537109138344672621433569448621449634731655562024521144374442718276104095924728407782816755818601765748865286748900619770805886343472984470516480362988291709766975867435149113916174829087767513662557255397476781612143335014836816279090790531969426839106567572873151356423704777669899125297562038364861164821007471014098672097686101356510719052988258177402396627132019778276695511180280183507123778447657749628070312254475529542042472098842023892955744506408424614750022371661766781386994958249558106582142592580608094335374204345024587489065439335375004931811059346770384918690266842333704689782665540093664262229064521872768085186940925739806704604171893421501147378280108070269939533829907530644088613787275102007649911000429305118440624782459674101675299832542453330399591487576707297150287702652618734832950820657280372961578553517470377790701280258726453117493084773505145801519524314416475947189751873960298737814211169656571501427782223583478171481122327265775218536253108492318426953641951512784202014336120620957361564448812202312177252298505142800551362185827170422774117013518295884355369047438201693505257148080158015435076670709601387222327208659655227972623396432901761522657880498277064505742485179739582307822314656595353297950487664533770767710141003841985450751364776334460138452671691058849229477186353108429599048909234040816023744657409865626758013722706232090288851685667919108454914322973856493207811415085201376676772689683386588681111887589318797497195538205772787107818351807975907332366249854936010915859981579266581223032785032632037514679498982974282312896227816171505376709283486083257217450308386856717162539077370477430433538386968675051014057254144497430085967892193057663035362014717851931934103864866188361123792300828912087362854875819003661541915156433478447319184367393977804350064560398536423858007207963829893084010137357878249786959509209873952244703326786987626053390139090659567083857904399617864375167977905286689132283517126910954530894462415813979227983057887796545329490788187621949944295112223213634448180979764807682874228490671077205338348721191507219755823701696154346656813607435840191399543983220778512403190352485434309303336038859971842651225845464279822599386673477561118208327413523613472055757981651294047986239382985147703755200923183064167852840149049769827608507918264865905114957844653552995405099338092383945802899960777310478466807799143917529518967885819815692562390601684093129867851390610474970276850022329858790623960636199339652097200462998944470854347933552080821229103902346917450486211258229300105093016176464841003871003204132044187759436751028070737337464503326283593732010246111098970699078291187009408482725103975125552299960799093031689824272536832180122400837504883222221260968922133980894160671895461470254903710239671855525357257123736341258520876368457134217631613699590516684853611027692359343122043909766026621726289252663565826256600995643503178621620291917557110470395762411531259695559294098359876642945717604777693602163414248316754221839460203543465084563296828455057025359555818713208760736228420398936264873978572921068324074471667586613211559620102728476099067122468035365359711493093289882525032559760304475017129751100097802003076427000585606020417713776615536839020549690388889738450516858771644101617263850998921092298402901239299976057160972428634561499276334225592240473066056893965136666991012385867772872881008860771876912182099076334059112752128364798155594293020232548469326077776503654331220978714731006827521845809250909579095892907777053888754153089949321813948206464899053903076534294783725918396804044072599801379192613955132683931593347693147836966828287088649003507424040073387090928011735810429097948298241828658034856814631437176261543996732276361909905855479582499800156575901020465934835581748780697553054653082020261374498810550703248472163558988122854066310271989085652295747470390048217199303024784600125077173410942908645881751685316861631941765469624494414005627867842963317640388482060843215551193930646900611088936063482724472708793688179142980659361342043881758162702163905019530876388525173296973057700207723317209128656066074586173256056539609497994653190877243118738957549189274247288957296696366861832047305473873049676984062365182115678885524183648955879856655308819302402323832343843507048407438870163211074608979496680256408619746040222989918154333192864515182242114843944608536106057809676665028088037415534881950066344841410884896355396518493599351234199218641368695967083706958124197990801677901801062497437856276238891815524797154033749064199323099227484699958355088938817156662640105890991974003291248403090652260507187652238462191109446512443770726125087328930391652478604809139271386670702263574773024103159184359248743767266803086663564029383366664282960126759544653138069612534288304596292069148331658921386350161772425715754403381701837751727479426956282868223156210704936918654640899053662861530348033288571770042498617576494790145441400289358945678007102856784863146084264068455179533315129629051584406909490435542301289084650558224672191974636206714119487967449380500329717276918360931859260202638564152302481204964127889469743051129395038841813475497143040145768832369889982358342918103785340777082207574798029050882261880784629428321060133086798080986719791917851202176414696812603552283332016688406310618958283040133714804489866607697709661360879657789463628342057593152028656546711179991485355928060063168020013431882896583174448615987839679684686258657630706329281601518342516336603423221903512921800286458216923829932015653072601279858298734975425879602110729537020527026524761175932961515892765596442043298395943995742209565689815459641303628686471009589888960795127617312637933862822981431905745567279171967638589549425521764765602534439241469717419608332570742729501821944604855806236605585354143459009266640892470716682945189214886142135855392771193519203319425727480443220491215723886928297880049249179676718329714011908226037769073061363050719966201211560332312163981191371092684069611437482621983535326687387054537093533500666300977952723469596922208296804300708298263341518669508767093131666295839695769629322881144346752525947305123660397589612229515120421202516729517827640144459839688615745973765872424412701679726939673570175347538855380557695911921737275744102089078934207633879700535497893160044053517533962894703317466290898768410628041129654623839260246443373607239787743921496018836433619199411521367270287900345143649066215466536242108769494045419642764111305860740349966045043679501455026754584464542227076313921808453585479179190127502877873362882265968964498328167942309796666766573137337180567718462194239829741234787641664751319457082525509870506029506928984170516884111229671561681071230311056992068929856949237761147799194990469854911618419169568358065381838451928029483109548900449931674432206804683365429823094646781002244238759082750891393071711465104670800559468327081063894006168700794546521024474867807774802607725679142077307660263340838037704017933179542022394843400601916040860908855747285990139057905732668379766251196517507065502103573480238261510487496767608171940510393048208875408202115853922205631844103793925880202579385544224942769889492281959035320361733186145570550485714913180624043765543784379705871377399763514573153640170706979864264074961016208197285351355434538646837852351992060878872482570049683001738516381134939701939150154114818491680250581420691299522595323106661138202262838981120569632860843672056626539746324097801628188544917369879677536447327708811781229766049065321221240208425590694684407756015997141320935171784550716685516029928019125129586085291727167622496907233377050475480466381007954802758247705733762117887402601315102406095026976398057546505101690643730564673678762747481351738956973085359260360363301738989532728464985029327257183993385794694394304663935569658018801193153602330555348949573251739401651689888371165654696198208628838183460719035560827861442935392587954007700373097729826471824071392485778395889087047645718979377058695110011461454274085382040073711750096460071463273143533580914950158013677719006167193990329596316169697712932050757879068493580964527092376036872371313418731134608371392179595153215552750446862561629323572573136451690522107488129212136539979297278850494533727426584910918963660071695567283092226140481894504172169989483555896134711922286330002464511891689054014927961181532982965376511130374180546734892626720366034957622651754763347058192095661307920629910623862468967667541357089220380394189542627414900498718910400525799199153277815296404225181771312966013572873995152014607651933225172837425322267437756945729924643187107115491837334958548846443993071306062582984032395166495076908824646674662406201554419212245622831878458882107179099936115182596398245917700109876376851778359449869023368364397537520705657837084156920691858606027969675819650458831243368787177295193788429912842851316905066937748150005089264935625409284420093766837849302302511265707951810944111060588026188953394238055215478112329063456280964888984001149623939089102975048729058369643440574111525025342364269179046703370244851833549793712693114720365325142266548068017340491196001751065514335230632601726143352262270446314270734164337346986717961810166165842129397360431096529632769909408508683481638158451058956064702207138745494151465128313356904898320679139434625913866431428556164581021350473272643571585916439194890962282981773367144864559980777075964727601100512236975535496841219059473061143981417829276453527753314760167765146143180820814861588956895535166094821145735282185602965653816200846732818510555377708209860010479065972509709000207677696202521213509136120677997252432518674996869518766681850802247574265983022730257943514673830052912501913106666972524809358452462305284542425111926252377017310935693265956156269232512843349179299072360266280037771720266102931629546317633953513242622126307978487768014307701028171737190971407646295561789009275556059942130827314994293505691614899378815405877923566103386066882298316576318229392938508563929369268490978673540526922109907639412117313479107038855589337655100678346021570227079386921649965657543901443583793180517763627717711822470489120582835197953943092354163442171150257643370138687971771770052537175518608852255638188906332461141648572892141783544273778792528345168998378861129841433277879680676440306243982201610756125611485207982790584540995814941950755367618794697577533590394289683288692731214297517379976102876334618559418268744683358901221969611291121631233477157529896976530507626789037126002763151576867828490768216780840360066486559627704960518917047727598254799671090094743396769398887661779282511631757068205497017330025928350473146759339612047370551070842792129980845937872462681535430023446100645502752460241874275757017026761550696100907700228602397509252878897247236275598482225349913576907496611617538297478110453408911601162464158987667173115581599167457766177974382124215923565223299898980780741461450452326448692571334472952230181322076211041103447802981749749739562745940736914238080130715292211168468471014941865946329426995211418021226509354476334704291673239520194803053744436699579565817933662102689157586172840544574914669582104410730578000125089929690782546273714998229438579983572620754610194280899590193240831489087460041292547977255784648490700480513094293411846752091835722802123258531457660779385372452366487728294323157902518958464913923373042653947831725010175665042892516599319423196803557931893583760711864395505475865866798713051057865465178365959866386092302595692581524024717742297293001069567367450150184388116535478437073974281137681049457050499142443761942019526234399195778376373716810550926602160961049969671758468139126880218940676981483411297749872323575074668897335171854700795735522066315153702731419518517257392358405266181551647059661918680116448653996107570911163336465805332886706183491651891654598943557116243675107887940615845494643375145019598140165981820265816330535691136357575978493626577381164460334497475844858569642794852438948526077357302128595595497376604628022090824738849718053248170156552018603347999249329434308218755284511234358515760569249747843196437760693521823355436910095952566983501559644602225495934883378540911110629835143539370561501296305549623873321654739383260208811510617393907190087929603523040950770685062712480487068297560223816077669256620524935749876381915820598129571446973799568674987978064236876130467263337625013982395544807148427811375180985721393683183289655599000934090483346538305494231096879496333195818362932004518150607369223671138663372652618416242933982059041208757840237563462762944708208080340720088568270929212631541852061648121569959970332378056735460858977009103927764574110442073723471726364690774393928880250594854526010367180128210995133820551742891505695507862926475009562301318227247271825166653210718024495280686654456227278564554363463828960165007996436301978944686395820103067831966300047951763147648540922656782211285640029430463674615740103676513922868824261590753711012566018079581207995180692201767531997495242348523718431959352129022195693100868559450644690304908863987603047426383750416826221564697740295312823865889650420102579303574357792155293725718593558870848730083945939891201780588309642585961283375580011846818014418868520752686602250804342974011825824172131643093227834202544312520457203413265480289303849056490076558737563892109587898245726478746776245258072173692338259219349937549951490672106938342942213879902908455077382692914971430910986236594346297800829410307789555356910765838124334422136336406546765967918374045212353486007852200941200553973611916951183814605077946855525517981174122234724469583961362115899999907948767545112611843820109623539381520325343967560433539691475221830911091201951255636424335029123007718241474877916020752141424182624835842004379487124291124740204992455738368661844347505168433762997690562384210214493438083239808616020480245175188668911575817098286205536064507422792450568092803767092744289010591770951503206502839694427944650761450624655530326863420635603941524760010529218018145662486774434010292053086984984027723526679301008784465657462045359840125433879049418215706451701017283137565056358874588520352512468724302758956288910593513282941054925674734002077032287701936687257260197666585050195408869596380575041554061871233673332004082196355636568284428024645234614032307463340260792664784851627224463170990382572250844897757801440247468771543159804884084235407833970271219584094679680812825229286682331500020318423376717879292082070685511170874284160301894420620839566855307813386040896006801472868370404352665368983753107810053506377496827185087307152867608623375879139692466637971679318397382514442670332061743862540719745622372517300509157417152621768457004225413694212660796910674526017064309345261551697309573835583233691324883235518391355429474198359055138111853291708281853563834369635057660657051772865680033521521982922483323526566918131620444983786792390028373318220262139874993214085552583357353327056830465833450866106953949930240189238380811043662462969804755638557074299949451513400919219816690365925117403904551041417992470789740153375206922883780270517642302481921628526183944623701667461021290254263063287088621707599453468865468449490799871879598131963682705959718467947298592026070055075748205467878729653258365922948662586389698639776347191986294955415884015267708860020525159868180696981283013769205082985652587200068515534184392820506507123422720106008895737061333724845617438085512417263516564278601582508406922937440199626491924545206047228821530520263150424759364841034990076244622640432018013867732951918240814638893055109044644202773833458943988423943542644531519247191498035607129921648691368782016243085268335745336212228108841391628139228432632094799767768068113915688448945097687251846308060411798297075230886998054834712105615505029057326840099479778016004741582552807347066330280146674778288139385672891928212618217626877443898118880173443807661717198925088331036438242737705948187395646842572951613318505180970510818044455315342716599475290013483169276841517830969191031078582510202380212266527808550871032858675122972817576584897117550774673757406120599074087865286016515420885243892786768433175039551690291481064772848397334717689368603590646484993541316151590745070351897834896722758419158739393119274786925428991548107558374544528816422880530747576890927187272238273549942040251219324651527583083123421079394796589273645076025962306542059967363791884022298198236172068545600995788899718266983026537201072471645893934277196519398514190358576143088889579072394861887414802470348502000971124137576386741263620374593487958781707298595468551999002330437691132040151500417012617153833931119162258640903960248812132466188758471981088047370085783368372813338860528249021025021474209439899370238525310488433156838092761278637554083186812041507864422290713696974928294373410626716071264226939660563474178906855093862993282154374459641846723148754386981571250313814819625452161112214628096312031169179091194125974597521685017278957212922818700025677900587217512928276547612024612281052035090445117739138468817343914547849305260466546474391606311469183874215627125488019449507538807284484226062001815420825654978156643438169916973834689435173581683406761245661759380388354541851883346039294500733953599020911608430019148716957253568071783114175088664275149054002079826516390939089633308450866839701484800256202337941293526087407655059063345230214296748202658207270806765102163401548845734395781235269258456845790702134620080487880607503553492380869429014614826878282205744807487920402335996509971508424106883717270116554314339278215704202030876459126912327566276661630448170201043150739689264007222466768905663577023960869621175114364084749894519450705610186468912655319878298106387684848516276470473871948991476999003645114182965859056875061947063851680042791627944965501725274889932336708868165448891864321673258223270789612291864881780027166760778997300336285244840077268331558291234471214604188175515579907754665487932910003829877640514653979453425473722604351630627188606589380546425695970931266182636724401035200587628868975808431426610103920119353939113691715217724048798309430648700433290326159000446746682594667948365765761026474257154588657527780921754198321051101324381858212024054283795239536528319290613936243285697095632869208250414300279350903838014475817847104276790024537352913609638802846877621632011582319987956632351413557528501935414973154954779962036706503183379378723115263859461929141954120281060489876446979758029782898239241609602982417365717804955840698223111258368046304836913866337282040470168405113949424400906184964968997412468273737602040120067461317149356205282511372645064953954970837897351261674366641891780304735319517709733745067393210496808207757912821342238255894830704585996269018763997144703216713928276132229149521551029316527427956929714749663396627020960082206919414492872662453798784605907686704016061606513964342557426129752134918280221460507460612228919236884094461789768754855739986962792773335332236457241492053322335483934355097309163782972235040563482580985700347523092521399799531167177055853499729014313250459604500929144604978348033439447086568665406134634762603567948973953032083657511377451321381365718820335355481343421759297298074192660064014804626443388280536373175164053454344963944143083024010358701833774470298842250716778157767899457977593497962146457270943484282197522110356881661689321748587134231038703929643551845163373375831261128452322709444904010606902282053532334991907779427161503764496016275573607659271206827395264327438874883145542490221807264341638549602419808491590415424570568194236979671094059806316064782759008945194893587181515442741863730339376445028729811953571844696538882011063214154087303676478231430376449846126921264553453822295409963817210286226940736731609136493478482487442832146511291097794197940837422169555152312490652712933228943442017341630656529962862837056791222414104535760610279954575700732672403031994420541217795433805527080738942410615361112902791237337051138697627561977960780926519735184748000148240344195529557630255197628248238322890502722833302678663227622717157832425338740692299601326422302967928220284267316794122779473833110088917275415715853610037207917258832419257550056105280519744836311221864601299631919970857788842516254269045893444820627107525385265131097919710250239697548181140858649948565727584070054061420736176303816028696369414776271896049430578627589091264712347517032754159368298978100675347730514157668861911658959778494145724182054436213986873034878418927759379069448743147120286144306551121072261808956574966183325650124982678541186161895651925940799368436846787466639928419864996613419258610861426229540715248160517273773241641592901392384365383190887454563207476484831841406664025635597102932238718924839613500593937827918296688245681262289465821042064936643988056270274250725851435371388670718921658588187531578118500139690387654132283293927561935877210911859132210350041765640021865849398874957603781586677758342461095257494687396130276462460346327372175948706727029662432125397612446565834181922978009843975476866205476222201266161991724051856381249932314437900272593252407145608937549450268971291187144485688061564361152808822596272854247417371208194302900761061617950553533467933683387732948155384506534457791806229876981399735813565894128971328020270114213637565639504310526700263151544812796447435405525874764902532185571927351487453802902377413046933049918827006931362412592285860901639486220209020426065683433824577312410149801239946609960193754818332884407967162629457189160129556138002201603564705686641390035177054250401675451636757100774523953790043793212273195922928609704211293353513700873828729103653343667413034317014374006522945150246418316548789814926451729929832585008480717791377549945323714847861176436667744816869125916004238569808740771057672036326160741229669061617295871059147232639615210388952078722585327813199516135471365147885019006421424486462050637814716972625652865896815717719352969206779712984224467960944967348057288107161426014715872750956943095538111387360927338445016274585627343173877741133677955611100239117962606669501898054744358608073054234899304094993085455267337090119909606458398059478093481809958549949740574869121963822586773516188123079311221887190546019478108921424394387321875123325241596442791398416725566715203024041296419997240203291484200069353458238328504761668718123513596205544950331049640853719469604292613550331318760442335270701478482951219500508732302537349864680133796404138427805806586181845443772121931465559518119361635976409650500163244108132341494537749618403359228398145138579447021481317795874048581101881782200834961059966741507512481465051037926616722624483334911144402109967183596751140094159165558571185327986295605530442847969072566735614752060144814667922264861157959303548732142400113949581106579659573602562902940272716465876926054342443328319052133232248611030326311547260864047000765473740808046903766675797701055787774647097005767040773248135722153094308500162464830929489500201640249763137892637071382836297332718759574664760355582223652617232670861054637602414648102350219312496390396728889373489996589941586961747614333992635433160463701978594629135714780914689214507615764682705828982097421732065755939843393624549119587230882877209832291943384419669589551577145741299313392147496540168460436248112220808646249793425983515724977096304389255261843668716379881988785789443984792986519906747498532161957679204682446934794248056163096154284326664901544813276381124746332692898032002466625903984215779645739208918621332551047599754831655584403874270221059466772496202889396597836365330361959685567881546753594379770103672439460731391139198637742650445642692090360518274462078924499285966512147373207066914997044788890524920252219692128416819864108863542363608426473244434316027812121695904334282078123333124566463702525306758773258570814250456866251020926876207428892297210329258966144976427396893492471859881035097366826037828943536291874266829709460065024671404872734320922662319267864207471385616111874511191338983354402486829828372576547866481233210912587888332011194690944320444894460234129515042011906903174880830551962127982664911227734099935480547263737816008078214670860175868458359375958623731779694101330919135281112767249242187773157508287887732312453617850492734871368154372207975329516246960055182461083732464741352477339562383842405127817968971710726226143128081824317472969749889545884226542121889132143376682809837727848081585450507826026157068935098621565073054649647260296585829743272209808144327645467004884989058819683969076491553420927749783369830287880935539048842416619792277285526054738265145770872601180056973501523598600263645553975984197855885368453502211186919072328064572775405104468461616632724328034858489439483519943392162371769307443927095637624879855691651241709115071695880268487722950336135489002302260671451836186624

Method 3: Recursive procedure with memoization.

restart:

r3:= proc(n)
   r3(n):= 2*thisproc(n-1)+4*thisproc(n-2);
end proc:
r3(0):=2:
r3(1):=4:

CodeTools:-Usage(r3(2^16));

memory used=1.28GiB, alloc change=1.00GiB, cpu time=18.81s, real time=7.32s, gc time=17.27s

47459142934875266699252847542114601066814921621197419788825193384692552850489410310983009514697804616368400049498372419841104284550829020643994628972805944378586257511203322582733817853036809679300499224519745859422436970825599373074491972800170276989148535314936631975197381290868660529974732413046657568538284270228939616407954099118006989061796531256060562472297585145637670436969854043891487786951384808911146994413688124194434386602805594985686819887300633248227898815611009032541077535154963807296627209325434745931392506146032810713004610014040278898496728181089391634421025767334851373011788160368192178984863642588143130005651360286828510844476803551478467108004314126365811041006302414037069679197656432432213727971989960869360706769331133637807647752668899394354581218284195666230702020758559511179231097505539813202061707168544277711953629657330400885647161627566823531868725796612270402965201545525458935510680591951594684350450098866759029234729204393941149340565275182521685221514296719871174153502234407272990345943272422674932647993861503656693742005499266157279899181371994838065165643411552889331867378724566690861206121235439842565465361387517243666904113391707794445286825445574735156516320990329552820033700501053491989719697776052474691802051439402114326280715892094732704203183380016617638712544058808874601364256732644634193387145024201883362277447999952305703104006986619065934754893147647592534113692559711657227549511204994193452152999939894612999420747063997612575991277705920552670311122847967748057340933342026282474499337822949238036083083294057372531941261568492828835181342535909251066224934906097874091186423481976514941430118947444548440989904608460099981249721964930372613573698803899428657640096683532113794440593541524648646044038849952368817309875206918045509225825095487387925304445193700627060431505287644524399616731025315269263619268574465264171547839889287565119008822564716117098782706205851317437415621437011489278074764464922160466674714076501068631525200065558842621611024074716290338303677240855477387797949106547985018592491183941749079075082607106736901493240727456841949777326271018111372621405800924074210940877685133561032823898884068381881321298091723466250608504714262041365329410072942582266874804975291990957225224069693553704353527222094240980558678631273569227092122906853536669421980440176793604603631590223698477094704827335723698216618392367724440641656378364837413696602054482798876093010739995019520353938950758932675266963673912849383723851598144332077129831223218254554349986376228166732600849291950774486221507971381149857495097853860877082736803196781269920630061041514178326359511692124177092218872095394042511437545967257467636892888382763544724928887636602780694189310008754508368438955671915025507209769842008940717707610568759184073163874308709118188770716794327942918261312014060679470462708113923793505634078764787862815595402171393125105059979485298405654485360613099076173683561075082494577614488465430851500567394741465683290569234942424652419428767076978104561893237925133744300118680119337367433903485956488381959658232535197657711014634359220358433309712346119788578445252244242408964611582294253647846241939118660801394178105418716428393029594199172068543492714208781601156672455645002574206105690881990164915084082047802403215954806686157550114817693510215401999383653746333117084155431095823376689892691180791376486208387266000670756426385973533586049093252682205527359309045820210502424802797202444655916184795260306625751740349237695497529619529353448667306985624752335587166795709522128975351739698335496869543968202074366872913100216282015292066104549634496395572950679060085674714254262689775317530835957934291297415891015042263096935783642361291682501845215452205724138854605905902888238967608187039580126901329137125390029853537718608306407889088293350590501569452090851708718912318492317806296511859993862618928292363372823862434661464999919730073693011473851385426599494766663165068271364083493638883108859525879726456142400132093542587930502454643026326456628692012115791421845278093639617432739570002749835134970418344178489108267438483071193670534441224481399256600722930270285754542372281739181130256115816753454008881018628722277955311645274119357251796686434367456232910906537304297655826419150061665363007705678812367639035754233694958339705157429804695640360778375681865307018255524864226394613361708206648560887522756191479102593115710993408611733611563264204054707497643486566179696710255667073290535078991999342021582409595437671824088308088224099084415867298685893162342523261887988854813374977395297662116165068099028122976553382864755978078256284759110909547042526152626779573891291516218729330625673626180784256330726701210212784943678726926433651679137396152995326730578404228285562647247635024914312559037976321206297862729764703363005816488743207960903728010974524743144404764334485859822694552123344494148144025757904939147331493811626370380801912495434986251183003184635850881679079575477340646405016858185778022024330388487852368983756338833578290955340512348127288817979100255138749517605531129992433512693417033186669079391283214426146759660451239038433475123846386902805709341764722096948395860137874054034419407540335252179683071660082832610708176041967980839897992987842680721136764672261190477902707465210067361485378544962308284563503219569737647381421214564439651951014456799904986054680915527015681168341066715163038943389603375259542377930160806870261642085766682930669851204597621048302524149286296237174949230386328990019844715520730654425734772714362611478275120410532460387663784848861984360963851507191997740922946266987378062607915038105379573757266348824595407131014768805352991541896613566980289844663913190060676296224435669087600888685074094020550595125032506071164439550228573106794138517504227564191578271231504281709089797042188508635907704562122381835912611295083159400554106028346261395673572190270266767268777464107903391075417170258138323759850867800849882285887950051209874853699148283122126064152829660173114202529152816096696989450601962069071089454686308496327149704978909766301111095755357235440928639642770830606764386053794324713161498797395696647631985083664921732199553740045154069733058589007931655835498419904756934986010250589100501035698163386658241721313812098833311847935889529572145536321707189998735866840277594264691433023736982480575518722100446448100574926370975694631158590538541775495049875384132251862369039116828921798525154123784261383766605347399178346705112629367996338553408822181775715646290276086021225397661638998509226610463590994671955655831448957659826928385662614522537941724834364206856996911490232667248876133983569133401363321899388872425843191855242162992813960165298592486327264171537147516582717544876440851475383830272855134561655913079545301148437566235935868517166156794681257330397914240326647074579081144732770045667863672855636942872361590976463042666531222449976169640324287963249368404014307502018520321302605655030930765402711122660368253044746502229959904951034021104490003236007646664945173960379183823398420122272118540871266008660151193177264690658700899598114759318275149014076842162456942872651899577569099049025463907119225768160517852138566771312365856324636238203171937818830985971299469302615859475126112493816872647982302971426074182968723846414576521485962858687331994662221916872524020894434687681296144314579150120144815745924754229706997724716437431370380480840911026010025385628624124731142888982816675515195751675187240844181082867299453925378988106940259280086088431212738246105434411278436940147188298985543097481799964583887092757852225286291236113916294713752476822788457247995372259098377921672392248705165090646386942773515885623652766495618790320811638218494022934612428278706282383712087994905870823995584533669138917434118137198467233576205042333935972523062169735538270655978535522137658953561349275415502982257199676263741557843220583571713464819068521740213447241201234526471170602168823489854194198398466868532068788695411934628949124751673843952110023577310879699397948558387662092736457714963916547232083843842928793765820401949031968452059679671369566360404877785687883022540645240021126993969420894555084387124014917686897414390558922833004344694741961310641088253398706390394778887478592438286476546757999660268376312036380691843241047964488811537109138344672621433569448621449634731655562024521144374442718276104095924728407782816755818601765748865286748900619770805886343472984470516480362988291709766975867435149113916174829087767513662557255397476781612143335014836816279090790531969426839106567572873151356423704777669899125297562038364861164821007471014098672097686101356510719052988258177402396627132019778276695511180280183507123778447657749628070312254475529542042472098842023892955744506408424614750022371661766781386994958249558106582142592580608094335374204345024587489065439335375004931811059346770384918690266842333704689782665540093664262229064521872768085186940925739806704604171893421501147378280108070269939533829907530644088613787275102007649911000429305118440624782459674101675299832542453330399591487576707297150287702652618734832950820657280372961578553517470377790701280258726453117493084773505145801519524314416475947189751873960298737814211169656571501427782223583478171481122327265775218536253108492318426953641951512784202014336120620957361564448812202312177252298505142800551362185827170422774117013518295884355369047438201693505257148080158015435076670709601387222327208659655227972623396432901761522657880498277064505742485179739582307822314656595353297950487664533770767710141003841985450751364776334460138452671691058849229477186353108429599048909234040816023744657409865626758013722706232090288851685667919108454914322973856493207811415085201376676772689683386588681111887589318797497195538205772787107818351807975907332366249854936010915859981579266581223032785032632037514679498982974282312896227816171505376709283486083257217450308386856717162539077370477430433538386968675051014057254144497430085967892193057663035362014717851931934103864866188361123792300828912087362854875819003661541915156433478447319184367393977804350064560398536423858007207963829893084010137357878249786959509209873952244703326786987626053390139090659567083857904399617864375167977905286689132283517126910954530894462415813979227983057887796545329490788187621949944295112223213634448180979764807682874228490671077205338348721191507219755823701696154346656813607435840191399543983220778512403190352485434309303336038859971842651225845464279822599386673477561118208327413523613472055757981651294047986239382985147703755200923183064167852840149049769827608507918264865905114957844653552995405099338092383945802899960777310478466807799143917529518967885819815692562390601684093129867851390610474970276850022329858790623960636199339652097200462998944470854347933552080821229103902346917450486211258229300105093016176464841003871003204132044187759436751028070737337464503326283593732010246111098970699078291187009408482725103975125552299960799093031689824272536832180122400837504883222221260968922133980894160671895461470254903710239671855525357257123736341258520876368457134217631613699590516684853611027692359343122043909766026621726289252663565826256600995643503178621620291917557110470395762411531259695559294098359876642945717604777693602163414248316754221839460203543465084563296828455057025359555818713208760736228420398936264873978572921068324074471667586613211559620102728476099067122468035365359711493093289882525032559760304475017129751100097802003076427000585606020417713776615536839020549690388889738450516858771644101617263850998921092298402901239299976057160972428634561499276334225592240473066056893965136666991012385867772872881008860771876912182099076334059112752128364798155594293020232548469326077776503654331220978714731006827521845809250909579095892907777053888754153089949321813948206464899053903076534294783725918396804044072599801379192613955132683931593347693147836966828287088649003507424040073387090928011735810429097948298241828658034856814631437176261543996732276361909905855479582499800156575901020465934835581748780697553054653082020261374498810550703248472163558988122854066310271989085652295747470390048217199303024784600125077173410942908645881751685316861631941765469624494414005627867842963317640388482060843215551193930646900611088936063482724472708793688179142980659361342043881758162702163905019530876388525173296973057700207723317209128656066074586173256056539609497994653190877243118738957549189274247288957296696366861832047305473873049676984062365182115678885524183648955879856655308819302402323832343843507048407438870163211074608979496680256408619746040222989918154333192864515182242114843944608536106057809676665028088037415534881950066344841410884896355396518493599351234199218641368695967083706958124197990801677901801062497437856276238891815524797154033749064199323099227484699958355088938817156662640105890991974003291248403090652260507187652238462191109446512443770726125087328930391652478604809139271386670702263574773024103159184359248743767266803086663564029383366664282960126759544653138069612534288304596292069148331658921386350161772425715754403381701837751727479426956282868223156210704936918654640899053662861530348033288571770042498617576494790145441400289358945678007102856784863146084264068455179533315129629051584406909490435542301289084650558224672191974636206714119487967449380500329717276918360931859260202638564152302481204964127889469743051129395038841813475497143040145768832369889982358342918103785340777082207574798029050882261880784629428321060133086798080986719791917851202176414696812603552283332016688406310618958283040133714804489866607697709661360879657789463628342057593152028656546711179991485355928060063168020013431882896583174448615987839679684686258657630706329281601518342516336603423221903512921800286458216923829932015653072601279858298734975425879602110729537020527026524761175932961515892765596442043298395943995742209565689815459641303628686471009589888960795127617312637933862822981431905745567279171967638589549425521764765602534439241469717419608332570742729501821944604855806236605585354143459009266640892470716682945189214886142135855392771193519203319425727480443220491215723886928297880049249179676718329714011908226037769073061363050719966201211560332312163981191371092684069611437482621983535326687387054537093533500666300977952723469596922208296804300708298263341518669508767093131666295839695769629322881144346752525947305123660397589612229515120421202516729517827640144459839688615745973765872424412701679726939673570175347538855380557695911921737275744102089078934207633879700535497893160044053517533962894703317466290898768410628041129654623839260246443373607239787743921496018836433619199411521367270287900345143649066215466536242108769494045419642764111305860740349966045043679501455026754584464542227076313921808453585479179190127502877873362882265968964498328167942309796666766573137337180567718462194239829741234787641664751319457082525509870506029506928984170516884111229671561681071230311056992068929856949237761147799194990469854911618419169568358065381838451928029483109548900449931674432206804683365429823094646781002244238759082750891393071711465104670800559468327081063894006168700794546521024474867807774802607725679142077307660263340838037704017933179542022394843400601916040860908855747285990139057905732668379766251196517507065502103573480238261510487496767608171940510393048208875408202115853922205631844103793925880202579385544224942769889492281959035320361733186145570550485714913180624043765543784379705871377399763514573153640170706979864264074961016208197285351355434538646837852351992060878872482570049683001738516381134939701939150154114818491680250581420691299522595323106661138202262838981120569632860843672056626539746324097801628188544917369879677536447327708811781229766049065321221240208425590694684407756015997141320935171784550716685516029928019125129586085291727167622496907233377050475480466381007954802758247705733762117887402601315102406095026976398057546505101690643730564673678762747481351738956973085359260360363301738989532728464985029327257183993385794694394304663935569658018801193153602330555348949573251739401651689888371165654696198208628838183460719035560827861442935392587954007700373097729826471824071392485778395889087047645718979377058695110011461454274085382040073711750096460071463273143533580914950158013677719006167193990329596316169697712932050757879068493580964527092376036872371313418731134608371392179595153215552750446862561629323572573136451690522107488129212136539979297278850494533727426584910918963660071695567283092226140481894504172169989483555896134711922286330002464511891689054014927961181532982965376511130374180546734892626720366034957622651754763347058192095661307920629910623862468967667541357089220380394189542627414900498718910400525799199153277815296404225181771312966013572873995152014607651933225172837425322267437756945729924643187107115491837334958548846443993071306062582984032395166495076908824646674662406201554419212245622831878458882107179099936115182596398245917700109876376851778359449869023368364397537520705657837084156920691858606027969675819650458831243368787177295193788429912842851316905066937748150005089264935625409284420093766837849302302511265707951810944111060588026188953394238055215478112329063456280964888984001149623939089102975048729058369643440574111525025342364269179046703370244851833549793712693114720365325142266548068017340491196001751065514335230632601726143352262270446314270734164337346986717961810166165842129397360431096529632769909408508683481638158451058956064702207138745494151465128313356904898320679139434625913866431428556164581021350473272643571585916439194890962282981773367144864559980777075964727601100512236975535496841219059473061143981417829276453527753314760167765146143180820814861588956895535166094821145735282185602965653816200846732818510555377708209860010479065972509709000207677696202521213509136120677997252432518674996869518766681850802247574265983022730257943514673830052912501913106666972524809358452462305284542425111926252377017310935693265956156269232512843349179299072360266280037771720266102931629546317633953513242622126307978487768014307701028171737190971407646295561789009275556059942130827314994293505691614899378815405877923566103386066882298316576318229392938508563929369268490978673540526922109907639412117313479107038855589337655100678346021570227079386921649965657543901443583793180517763627717711822470489120582835197953943092354163442171150257643370138687971771770052537175518608852255638188906332461141648572892141783544273778792528345168998378861129841433277879680676440306243982201610756125611485207982790584540995814941950755367618794697577533590394289683288692731214297517379976102876334618559418268744683358901221969611291121631233477157529896976530507626789037126002763151576867828490768216780840360066486559627704960518917047727598254799671090094743396769398887661779282511631757068205497017330025928350473146759339612047370551070842792129980845937872462681535430023446100645502752460241874275757017026761550696100907700228602397509252878897247236275598482225349913576907496611617538297478110453408911601162464158987667173115581599167457766177974382124215923565223299898980780741461450452326448692571334472952230181322076211041103447802981749749739562745940736914238080130715292211168468471014941865946329426995211418021226509354476334704291673239520194803053744436699579565817933662102689157586172840544574914669582104410730578000125089929690782546273714998229438579983572620754610194280899590193240831489087460041292547977255784648490700480513094293411846752091835722802123258531457660779385372452366487728294323157902518958464913923373042653947831725010175665042892516599319423196803557931893583760711864395505475865866798713051057865465178365959866386092302595692581524024717742297293001069567367450150184388116535478437073974281137681049457050499142443761942019526234399195778376373716810550926602160961049969671758468139126880218940676981483411297749872323575074668897335171854700795735522066315153702731419518517257392358405266181551647059661918680116448653996107570911163336465805332886706183491651891654598943557116243675107887940615845494643375145019598140165981820265816330535691136357575978493626577381164460334497475844858569642794852438948526077357302128595595497376604628022090824738849718053248170156552018603347999249329434308218755284511234358515760569249747843196437760693521823355436910095952566983501559644602225495934883378540911110629835143539370561501296305549623873321654739383260208811510617393907190087929603523040950770685062712480487068297560223816077669256620524935749876381915820598129571446973799568674987978064236876130467263337625013982395544807148427811375180985721393683183289655599000934090483346538305494231096879496333195818362932004518150607369223671138663372652618416242933982059041208757840237563462762944708208080340720088568270929212631541852061648121569959970332378056735460858977009103927764574110442073723471726364690774393928880250594854526010367180128210995133820551742891505695507862926475009562301318227247271825166653210718024495280686654456227278564554363463828960165007996436301978944686395820103067831966300047951763147648540922656782211285640029430463674615740103676513922868824261590753711012566018079581207995180692201767531997495242348523718431959352129022195693100868559450644690304908863987603047426383750416826221564697740295312823865889650420102579303574357792155293725718593558870848730083945939891201780588309642585961283375580011846818014418868520752686602250804342974011825824172131643093227834202544312520457203413265480289303849056490076558737563892109587898245726478746776245258072173692338259219349937549951490672106938342942213879902908455077382692914971430910986236594346297800829410307789555356910765838124334422136336406546765967918374045212353486007852200941200553973611916951183814605077946855525517981174122234724469583961362115899999907948767545112611843820109623539381520325343967560433539691475221830911091201951255636424335029123007718241474877916020752141424182624835842004379487124291124740204992455738368661844347505168433762997690562384210214493438083239808616020480245175188668911575817098286205536064507422792450568092803767092744289010591770951503206502839694427944650761450624655530326863420635603941524760010529218018145662486774434010292053086984984027723526679301008784465657462045359840125433879049418215706451701017283137565056358874588520352512468724302758956288910593513282941054925674734002077032287701936687257260197666585050195408869596380575041554061871233673332004082196355636568284428024645234614032307463340260792664784851627224463170990382572250844897757801440247468771543159804884084235407833970271219584094679680812825229286682331500020318423376717879292082070685511170874284160301894420620839566855307813386040896006801472868370404352665368983753107810053506377496827185087307152867608623375879139692466637971679318397382514442670332061743862540719745622372517300509157417152621768457004225413694212660796910674526017064309345261551697309573835583233691324883235518391355429474198359055138111853291708281853563834369635057660657051772865680033521521982922483323526566918131620444983786792390028373318220262139874993214085552583357353327056830465833450866106953949930240189238380811043662462969804755638557074299949451513400919219816690365925117403904551041417992470789740153375206922883780270517642302481921628526183944623701667461021290254263063287088621707599453468865468449490799871879598131963682705959718467947298592026070055075748205467878729653258365922948662586389698639776347191986294955415884015267708860020525159868180696981283013769205082985652587200068515534184392820506507123422720106008895737061333724845617438085512417263516564278601582508406922937440199626491924545206047228821530520263150424759364841034990076244622640432018013867732951918240814638893055109044644202773833458943988423943542644531519247191498035607129921648691368782016243085268335745336212228108841391628139228432632094799767768068113915688448945097687251846308060411798297075230886998054834712105615505029057326840099479778016004741582552807347066330280146674778288139385672891928212618217626877443898118880173443807661717198925088331036438242737705948187395646842572951613318505180970510818044455315342716599475290013483169276841517830969191031078582510202380212266527808550871032858675122972817576584897117550774673757406120599074087865286016515420885243892786768433175039551690291481064772848397334717689368603590646484993541316151590745070351897834896722758419158739393119274786925428991548107558374544528816422880530747576890927187272238273549942040251219324651527583083123421079394796589273645076025962306542059967363791884022298198236172068545600995788899718266983026537201072471645893934277196519398514190358576143088889579072394861887414802470348502000971124137576386741263620374593487958781707298595468551999002330437691132040151500417012617153833931119162258640903960248812132466188758471981088047370085783368372813338860528249021025021474209439899370238525310488433156838092761278637554083186812041507864422290713696974928294373410626716071264226939660563474178906855093862993282154374459641846723148754386981571250313814819625452161112214628096312031169179091194125974597521685017278957212922818700025677900587217512928276547612024612281052035090445117739138468817343914547849305260466546474391606311469183874215627125488019449507538807284484226062001815420825654978156643438169916973834689435173581683406761245661759380388354541851883346039294500733953599020911608430019148716957253568071783114175088664275149054002079826516390939089633308450866839701484800256202337941293526087407655059063345230214296748202658207270806765102163401548845734395781235269258456845790702134620080487880607503553492380869429014614826878282205744807487920402335996509971508424106883717270116554314339278215704202030876459126912327566276661630448170201043150739689264007222466768905663577023960869621175114364084749894519450705610186468912655319878298106387684848516276470473871948991476999003645114182965859056875061947063851680042791627944965501725274889932336708868165448891864321673258223270789612291864881780027166760778997300336285244840077268331558291234471214604188175515579907754665487932910003829877640514653979453425473722604351630627188606589380546425695970931266182636724401035200587628868975808431426610103920119353939113691715217724048798309430648700433290326159000446746682594667948365765761026474257154588657527780921754198321051101324381858212024054283795239536528319290613936243285697095632869208250414300279350903838014475817847104276790024537352913609638802846877621632011582319987956632351413557528501935414973154954779962036706503183379378723115263859461929141954120281060489876446979758029782898239241609602982417365717804955840698223111258368046304836913866337282040470168405113949424400906184964968997412468273737602040120067461317149356205282511372645064953954970837897351261674366641891780304735319517709733745067393210496808207757912821342238255894830704585996269018763997144703216713928276132229149521551029316527427956929714749663396627020960082206919414492872662453798784605907686704016061606513964342557426129752134918280221460507460612228919236884094461789768754855739986962792773335332236457241492053322335483934355097309163782972235040563482580985700347523092521399799531167177055853499729014313250459604500929144604978348033439447086568665406134634762603567948973953032083657511377451321381365718820335355481343421759297298074192660064014804626443388280536373175164053454344963944143083024010358701833774470298842250716778157767899457977593497962146457270943484282197522110356881661689321748587134231038703929643551845163373375831261128452322709444904010606902282053532334991907779427161503764496016275573607659271206827395264327438874883145542490221807264341638549602419808491590415424570568194236979671094059806316064782759008945194893587181515442741863730339376445028729811953571844696538882011063214154087303676478231430376449846126921264553453822295409963817210286226940736731609136493478482487442832146511291097794197940837422169555152312490652712933228943442017341630656529962862837056791222414104535760610279954575700732672403031994420541217795433805527080738942410615361112902791237337051138697627561977960780926519735184748000148240344195529557630255197628248238322890502722833302678663227622717157832425338740692299601326422302967928220284267316794122779473833110088917275415715853610037207917258832419257550056105280519744836311221864601299631919970857788842516254269045893444820627107525385265131097919710250239697548181140858649948565727584070054061420736176303816028696369414776271896049430578627589091264712347517032754159368298978100675347730514157668861911658959778494145724182054436213986873034878418927759379069448743147120286144306551121072261808956574966183325650124982678541186161895651925940799368436846787466639928419864996613419258610861426229540715248160517273773241641592901392384365383190887454563207476484831841406664025635597102932238718924839613500593937827918296688245681262289465821042064936643988056270274250725851435371388670718921658588187531578118500139690387654132283293927561935877210911859132210350041765640021865849398874957603781586677758342461095257494687396130276462460346327372175948706727029662432125397612446565834181922978009843975476866205476222201266161991724051856381249932314437900272593252407145608937549450268971291187144485688061564361152808822596272854247417371208194302900761061617950553533467933683387732948155384506534457791806229876981399735813565894128971328020270114213637565639504310526700263151544812796447435405525874764902532185571927351487453802902377413046933049918827006931362412592285860901639486220209020426065683433824577312410149801239946609960193754818332884407967162629457189160129556138002201603564705686641390035177054250401675451636757100774523953790043793212273195922928609704211293353513700873828729103653343667413034317014374006522945150246418316548789814926451729929832585008480717791377549945323714847861176436667744816869125916004238569808740771057672036326160741229669061617295871059147232639615210388952078722585327813199516135471365147885019006421424486462050637814716972625652865896815717719352969206779712984224467960944967348057288107161426014715872750956943095538111387360927338445016274585627343173877741133677955611100239117962606669501898054744358608073054234899304094993085455267337090119909606458398059478093481809958549949740574869121963822586773516188123079311221887190546019478108921424394387321875123325241596442791398416725566715203024041296419997240203291484200069353458238328504761668718123513596205544950331049640853719469604292613550331318760442335270701478482951219500508732302537349864680133796404138427805806586181845443772121931465559518119361635976409650500163244108132341494537749618403359228398145138579447021481317795874048581101881782200834961059966741507512481465051037926616722624483334911144402109967183596751140094159165558571185327986295605530442847969072566735614752060144814667922264861157959303548732142400113949581106579659573602562902940272716465876926054342443328319052133232248611030326311547260864047000765473740808046903766675797701055787774647097005767040773248135722153094308500162464830929489500201640249763137892637071382836297332718759574664760355582223652617232670861054637602414648102350219312496390396728889373489996589941586961747614333992635433160463701978594629135714780914689214507615764682705828982097421732065755939843393624549119587230882877209832291943384419669589551577145741299313392147496540168460436248112220808646249793425983515724977096304389255261843668716379881988785789443984792986519906747498532161957679204682446934794248056163096154284326664901544813276381124746332692898032002466625903984215779645739208918621332551047599754831655584403874270221059466772496202889396597836365330361959685567881546753594379770103672439460731391139198637742650445642692090360518274462078924499285966512147373207066914997044788890524920252219692128416819864108863542363608426473244434316027812121695904334282078123333124566463702525306758773258570814250456866251020926876207428892297210329258966144976427396893492471859881035097366826037828943536291874266829709460065024671404872734320922662319267864207471385616111874511191338983354402486829828372576547866481233210912587888332011194690944320444894460234129515042011906903174880830551962127982664911227734099935480547263737816008078214670860175868458359375958623731779694101330919135281112767249242187773157508287887732312453617850492734871368154372207975329516246960055182461083732464741352477339562383842405127817968971710726226143128081824317472969749889545884226542121889132143376682809837727848081585450507826026157068935098621565073054649647260296585829743272209808144327645467004884989058819683969076491553420927749783369830287880935539048842416619792277285526054738265145770872601180056973501523598600263645553975984197855885368453502211186919072328064572775405104468461616632724328034858489439483519943392162371769307443927095637624879855691651241709115071695880268487722950336135489002302260671451836186624

 

Download rsolve_makeproc.mw

This overwhelmingly superior performance of makeproc only applies to the specific type of recurrence mentioned in the first sentence.

I see that this OEIS entry has no Maple code. Perhaps you can add the above and bring glory to Maple, MaplePrimes, and yourself. I also see that the Mathematica code uses the closed form hard-coded. This is very shoddy programming, and that code should be updated.

 

Two reasons that a post may be deleted are duplication and illegibility. I saw that you had two recent Posts titled "a brief point of interest regarding the riemann zeta function". The first of these was illegible (much too small), and, of course, one was a duplicate. So, I deleted the first. This was after you posted this Question, so I guess that you had some earlier Post deleted also. I know nothing about this prior deletion.

The problem is that there are no closed-form derivatives for your hypergeom expressions. If I extract the four expressions from your procedure and then do

diff(hg1, d1);  diff(hg2, d1);  diff(hg3, d2);  diff(hg4, d2);

then all four return as unevaluated derivatives. That remains true if I supply all the numeric values for the constants that are specified by your procedure.

If you're willing to supply the numeric values for the constants, then you can use fdiff for numeric differantiation, like this:

GradOV:= (d1::complexcons, d2::complexcons, o::complexcons)-> map2(fdiff, OV, [$1..nargs], [args]):
GradOV(.1,.1,.1);

       [-0.0000134160704295650, -0.0000126237476161610, -0.0122287665536620]

 

@Kitonum You might as well just use Statistics:-Tally.

@brian bovril 

(remove~)~(`=`, P, 5);

Each ~ corresponds to one level deeper of nesting.

It's a great Question.

Using a procedure that returns a module as an object constructor has fallen into disfavor. The modern way is to replace your procedure and both modules with a single module that has option object. Here's a minimal working example of your example:

Point:= module()
option object;
local 
   x, y,
   ModuleApply::static:= ((xx, yy)-> Object(Point, _passed)),
   ModuleCopy::static:= proc(mi::Point, proto::Point, xx, yy, $)
      (mi:-x, mi:-y):= `if`(_npassed > 2, [xx,yy], [proto:-x, proto:-y])[]
   end proc,
   ModulePrint::static:= ((mi::Point)-> [mi:-x, mi:-y]),
   ModuleType::static:= (()-> true)
;
export
   `+`::static:= ((p1::Point, p2::Point)-> Point(p1:-x + p2:-x, p1:-y + p2:-y)),
   GetX::static:= ((p::Point)-> p:-x),
   GetY::static:= ((p::Point)-> p:-y),
   Show:= proc(p::Point)
      printf("Point X,Y -> [%f,%f]", p:-x, p:-y);
      NULL
   end proc
;
end module:

Usage:

p1:=Point(1.2,1.4);
p2:=Point(1.0,2.0);

                         p1:= [1.2, 1.4]
                         p2:= [1.0, 2.0]
p2:= p1+p2;
                         p2:= [2.2, 3.4]
Show(p2);
Point X,Y -> [2.200000,3.400000]

Note that this doesn't require the use of option package, option overload, or with; and the use of Show doesn't require a module prefix. Maple uses the fact that the argument to Show is an object to know where to look first for procedure Show. More subtly, Maple uses the fact that the arguments to `+` are objects to know where to look first for the overloaded code for `+`.

Unfortunately, there's a lot of new syntax involved with these objects, as evidenced above. There's a lot of help files to read about this. Start with ?object, ?object,operators, and ?ProgrammingGuide,Chapter09.

Can someone tell me why the vacuous ModuleType in my code above seems to be required even though I don't use any structured types?

We might as well make an approximation of the infinite product, if Maple is willing to do so, rather than truncating at 1001 terms. I have taken the exponential of the logarithm of Mariusz's formula from Wikipedia, because Maple is more willing to evalf infinite Sums than infinite Products.

qgamma:= (z,q)-> evalf(exp((1-z)*ln(1-q) + Sum(ln((1-q^(n+1))/(1-q^(n+z))), n= 0..infinity))):

qgamma(0.8, 0.9);
     1.15699155036365

First 194 195 196 197 198 199 200 Last Page 196 of 395