Wang Gaoteng

173 Reputation

12 Badges

15 years, 216 days

MaplePrimes Activity


These are questions asked by Wang Gaoteng

I want to verify a solution satisfies a given differential equation,

deq := diff(y(x), x) = y(x)/(x*(ln(x)-ln(y(x))));

sol := x = y(x)*exp(C*y(x)+1);

Because the differential equation and the solution are complex,I tried many way,but failed.

How can I verify sol is just a general solution of deq?

Can you help me? Thanks a lot.

I am a beginner in maple, these days I am learning maple user manual.

There is an example given by the manual:

___________________________________________

x:=872349

while x>0 do

irem(x,7)

x:=iquo(x,7)

end do

____________________________________________

I retype them in maple, but maple always returns "Error, illegal use of an object as a name"

I check my statements carefully, it is the same...

question2.15.mw

I have a...

question2.12.mw I use invlaplace command to get inverse laplace transform of an expression,but the result is too jumbled,

How can I get a concise form?  I tried in many ways,but failed.

Can you help me? Thanks a lot!

 

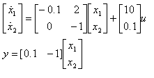
question1.22.mwMy system differential equations are sys:=[deq1,deq2]

and the linearization point is given by linp:=[...]

Then I use linearization command to get a linear model of the system

linmod:=Linearize(sys,[input],[output],linp)

then maple returns a state-space equation of the linearized system.

I want to get the system transfer function, my method is ,first,extract...

First 6 7 8 9 10 Page 8 of 10