MaplePrimes Questions

Search Questions:

Given an ode with IC. When solution is explicit, Maple resolves the constant of integration as expected and returns solution with no c__1 in it.

But when asked for implicit solution, also with same IC, it now returns solution with c__1 still there.

Is this by design or a bug? Should not constant of integration be resolved using IC in both cases? If unable to solve for c__1 because solution is implicit, should it then not return solution all?

Does this happen in earlier versions of Maple?

 

restart;

interface(version);

`Standard Worksheet Interface, Maple 2025.1, Linux, June 12 2025 Build ID 1932578`

Physics:-Version();

`The "Physics Updates" version in the MapleCloud is 1878 and is the same as the version installed in this computer, created 2025, September 28, 11:35 hours Pacific Time.`

SupportTools:-Version();

`The Customer Support Updates version in the MapleCloud is 29 and is the same as the version installed in this computer, created June 23, 2025, 10:25 hours Eastern Time.`

restart;

IC:=D(y)(0)=0;
ode:=diff(y(x),x)^2+x*y(x)=0:
sol:=dsolve([ode,IC]);

 

(D(y))(0) = 0

y(x) = 0, y(x) = -(1/9)*x^3

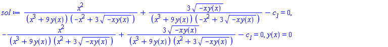
sol:=dsolve(ode,'implicit');

y(x) = 0, -x^2/((x^3+9*y(x))*(x^2+3*(-x*y(x))^(1/2)))+3*(-x*y(x))^(1/2)/((x^3+9*y(x))*(x^2+3*(-x*y(x))^(1/2)))-c__1 = 0, x^2/((x^3+9*y(x))*(-x^2+3*(-x*y(x))^(1/2)))+3*(-x*y(x))^(1/2)/((x^3+9*y(x))*(-x^2+3*(-x*y(x))^(1/2)))-c__1 = 0

#WHY did not resolve constant of integration here??
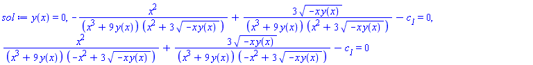
sol:=dsolve([ode,IC],'implicit');

x^2/((x^3+9*y(x))*(-x^2+3*(-x*y(x))^(1/2)))+3*(-x*y(x))^(1/2)/((x^3+9*y(x))*(-x^2+3*(-x*y(x))^(1/2)))-c__1 = 0, -x^2/((x^3+9*y(x))*(x^2+3*(-x*y(x))^(1/2)))+3*(-x*y(x))^(1/2)/((x^3+9*y(x))*(x^2+3*(-x*y(x))^(1/2)))-c__1 = 0, y(x) = 0

 


 

Download why_C_still_in_solution_maple_2025_1_oct_4_2025.mw

I looked at help for PDEtools:-Solve and do not see why this would fail. Any idea? Is this by design or could it be a bug?  solve() works on same input, so I expected Solve to also work on same input.

interface(version);

`Standard Worksheet Interface, Maple 2025.1, Linux, June 12 2025 Build ID 1932578`

Physics:-Version();

`The "Physics Updates" version in the MapleCloud is 1878 and is the same as the version installed in this computer, created 2025, September 28, 11:35 hours Pacific Time.`

SupportTools:-Version();

`The Customer Support Updates version in the MapleCloud is 29 and is the same as the version installed in this computer, created June 23, 2025, 10:25 hours Eastern Time.`

restart;

eq:=D(y)(0)+1 = 0;
solve(eq,D(y)(0));

(D(y))(0)+1 = 0

-1

PDEtools:-Solve(eq,D(y)(0));

Error, (in PDEtools:-Solve) required an indication of the solving variables for the given system

 

 

Download why_PDEtools_Sovle_fail_oct_3_2025.mw

i did seperating but but is seems is not correct what is mistake in here?

issue1.mw

Hello, I have a Maple Flow worksheet that is formatted with a basic style template using headings and sections so that I can auto generate the table of contents. All of the numbered sections are in order, top-to-bottom in the worksheet. However, when Maple Flow auto generates the table of contents, it consistently gets the sections out of order - see a screenshot below - note Section 2 is at the end of the table of contents. The page numbers appear to be correct, but the physical placement of Section 2 is not. 

If anybody has encountered this problem in Maple Flow, I would appreciate some suggestions.

Thanks

For some reason, solve() works Ok, but PDEtools:-Solve causes kernel crash.

 

Attached worksheet.

Anyone knows why and can someone try to reproduce this? I am using Linux CaucyOS (arch linux based) and Maple 2025.1

 

interface(version);

`Standard Worksheet Interface, Maple 2025.1, Linux, June 12 2025 Build ID 1932578`

Physics:-Version();

`The "Physics Updates" version in the MapleCloud is 1878 and is the same as the version installed in this computer, created 2025, September 28, 11:35 hours Pacific Time.`

SupportTools:-Version();

`The Customer Support Updates version in the MapleCloud is 29 and is the same as the version installed in this computer, created June 23, 2025, 10:25 hours Eastern Time.`

restart;

eq:=[-3/2*_C6^2+4*(60588*_C6^3+6659802*_C6^2-7113718800*_C6+168667884119)/(40392*_C6-971364)-1/8*(-6*_C6+1)^2-4*(1406664*_C6^2-1186536946*_C6+27728821045)/(26928*_C6-647576)+5*_C6-125/6+9*(-1/24*(-6*_C6+16)^2-4*(1406664*_C6^2-1186536946*_C6+27728821045)/(26928*_C6-647576)+(60588*_C6^3+6659802*_C6^2-7113718800*_C6+168667884119)/(40392*_C6-971364))*(-49/2+_C6) = 4, -1/24*(-6*_C6+49)^2+191*(1406664*_C6^2-1186536946*_C6+27728821045)/(26928*_C6-647576)-(60588*_C6^3+6659802*_C6^2-7113718800*_C6+168667884119)/(40392*_C6-971364)+1/12*(-6*_C6+9801)^2 = 0];
Cs:={_C6};

[-(3/2)*_C6^2+4*(60588*_C6^3+6659802*_C6^2-7113718800*_C6+168667884119)/(40392*_C6-971364)-(1/8)*(-6*_C6+1)^2-4*(1406664*_C6^2-1186536946*_C6+27728821045)/(26928*_C6-647576)+5*_C6-125/6+9*(-(1/24)*(-6*_C6+16)^2-4*(1406664*_C6^2-1186536946*_C6+27728821045)/(26928*_C6-647576)+(60588*_C6^3+6659802*_C6^2-7113718800*_C6+168667884119)/(40392*_C6-971364))*(-49/2+_C6) = 4, -(1/24)*(-6*_C6+49)^2+191*(1406664*_C6^2-1186536946*_C6+27728821045)/(26928*_C6-647576)-(60588*_C6^3+6659802*_C6^2-7113718800*_C6+168667884119)/(40392*_C6-971364)+(1/12)*(-6*_C6+9801)^2 = 0]

{_C6}

solve(eq,Cs);

{_C6 = _C6}

PDEtools:-Solve(eq,Cs);


 

Download maple_crash_Solve_oct_3_2025.mw

Also reported to Maplesoft support.

 

I found very strange behaviour of Maple 2025.1 on Linux.

Same exact code.  Calling timelimit(sol,ode) twice on two different solutions. If I do not add 

         Physics:-Setup(assumingusesAssume = true)

At the start, then both timelimits finish OK. But once  Physics:-Setup(assumingusesAssume = true) is added at the start, the second timelimit hangs.

I waited 2 hrs and nothing happens. Maple just freezes. Can't even stop the server from worksheet by clicking on the red button at lower left corner. 

This is using latest Physics.  Does anyone know why this happens? It seems due to some memory cache issue?

Make sure to save all your work before trying this just in case you have to kill Maple application.

The strange thing, unable to stop the server by clicking on red button or clicking on RESTART KERNEL icon at top, or even clicking on the debuger icon at lower left corner. Only way was to kill Maple itself from Linux command line.

interface(version);

`Standard Worksheet Interface, Maple 2025.1, Linux, June 12 2025 Build ID 1932578`

Physics:-Version();

`The "Physics Updates" version in the MapleCloud is 1878 and is the same as the version installed in this computer, created 2025, September 28, 11:35 hours Pacific Time.`

SupportTools:-Version();

`The Customer Support Updates version in the MapleCloud is 29 and is the same as the version installed in this computer, created June 23, 2025, 10:25 hours Eastern Time.`

restart;

Example 1. Not using Physics:-Setup(assumingusesAssume = true): gives NO hang

 

sol_1:=y(x) = 1/2*(3*tan(RootOf(2*3^(1/2)*ln(2*3^(1/6)+(9*tan(_Z)*sec(_Z)^2+9*3^(1/2)*
sec(_Z)^2-8*3^(1/2))^(1/3))-3^(1/2)*ln(4*3^(1/3)-2*3^(1/6)*(9*tan(_Z)*sec(_Z)^2
+9*3^(1/2)*sec(_Z)^2-8*3^(1/2))^(1/3)+(9*tan(_Z)*sec(_Z)^2+9*3^(1/2)*sec(_Z)^2-\
8*3^(1/2))^(2/3))+12*_C2*3^(1/2)+12*3^(1/2)*x+36*I*_C2+36*I*x+6*_Z))^3*3^(1/2)+
9*tan(RootOf(2*3^(1/2)*ln(2*3^(1/6)+(9*tan(_Z)*sec(_Z)^2+9*3^(1/2)*sec(_Z)^2-8*
3^(1/2))^(1/3))-3^(1/2)*ln(4*3^(1/3)-2*3^(1/6)*(9*tan(_Z)*sec(_Z)^2+9*3^(1/2)*
sec(_Z)^2-8*3^(1/2))^(1/3)+(9*tan(_Z)*sec(_Z)^2+9*3^(1/2)*sec(_Z)^2-8*3^(1/2))^
(2/3))+12*_C2*3^(1/2)+12*3^(1/2)*x+36*I*_C2+36*I*x+6*_Z))^2+3*3^(1/2)*tan(
RootOf(2*3^(1/2)*ln((3*3^(1/2)*tan(_Z)*sec(_Z)^2-8+9*sec(_Z)^2)^(1/3)+2)-3^(1/2
)*ln((3*3^(1/2)*tan(_Z)*sec(_Z)^2-8+9*sec(_Z)^2)^(2/3)-2*(3*3^(1/2)*tan(_Z)*sec
(_Z)^2-8+9*sec(_Z)^2)^(1/3)+4)+36*I*_C2+36*I*x+12*_C2*3^(1/2)+12*3^(1/2)*x+6*_Z
))+1)^(1/3)*(I*3^(1/2)-1):
ode:=diff(y(x),x)-y(x)^3 = 8:
timelimit(30,odetest(sol_1,ode));

Error, (in simplify/ln/relations) time expired

 

sol_2:=y(x) = -1/2*(3*tan(RootOf(2*3^(1/2)*ln(2*3^(1/6)+(9*tan(_Z)*sec(_Z)^2+9*3^(1/2)
*sec(_Z)^2-8*3^(1/2))^(1/3))-3^(1/2)*ln(4*3^(1/3)-2*3^(1/6)*(9*tan(_Z)*sec(_Z)^
2+9*3^(1/2)*sec(_Z)^2-8*3^(1/2))^(1/3)+(9*tan(_Z)*sec(_Z)^2+9*3^(1/2)*sec(_Z)^2
-8*3^(1/2))^(2/3))+12*_C3*3^(1/2)+12*3^(1/2)*x-36*I*_C3-36*I*x+6*_Z))^3*3^(1/2)
+9*tan(RootOf(2*3^(1/2)*ln(2*3^(1/6)+(9*tan(_Z)*sec(_Z)^2+9*3^(1/2)*sec(_Z)^2-8
*3^(1/2))^(1/3))-3^(1/2)*ln(4*3^(1/3)-2*3^(1/6)*(9*tan(_Z)*sec(_Z)^2+9*3^(1/2)*
sec(_Z)^2-8*3^(1/2))^(1/3)+(9*tan(_Z)*sec(_Z)^2+9*3^(1/2)*sec(_Z)^2-8*3^(1/2))^
(2/3))+12*_C3*3^(1/2)+12*3^(1/2)*x-36*I*_C3-36*I*x+6*_Z))^2+3*3^(1/2)*tan(
RootOf(2*3^(1/2)*ln((3*3^(1/2)*tan(_Z)*sec(_Z)^2-8+9*sec(_Z)^2)^(1/3)+2)-3^(1/2
)*ln((3*3^(1/2)*tan(_Z)*sec(_Z)^2-8+9*sec(_Z)^2)^(2/3)-2*(3*3^(1/2)*tan(_Z)*sec
(_Z)^2-8+9*sec(_Z)^2)^(1/3)+4)-36*I*_C3-36*I*x+12*_C3*3^(1/2)+12*3^(1/2)*x+6*_Z
))+1)^(1/3)*(1+I*3^(1/2)):
timelimit(30,odetest(sol_2,ode));

Error, (in collect) time expired

 

Example 2. using Physics:-Setup(assumingusesAssume = true): second timelimit always hangs

 

restart;

Physics:-Setup(assumingusesAssume = true):

sol_1:=y(x) = 1/2*(3*tan(RootOf(2*3^(1/2)*ln(2*3^(1/6)+(9*tan(_Z)*sec(_Z)^2+9*3^(1/2)*
sec(_Z)^2-8*3^(1/2))^(1/3))-3^(1/2)*ln(4*3^(1/3)-2*3^(1/6)*(9*tan(_Z)*sec(_Z)^2
+9*3^(1/2)*sec(_Z)^2-8*3^(1/2))^(1/3)+(9*tan(_Z)*sec(_Z)^2+9*3^(1/2)*sec(_Z)^2-\
8*3^(1/2))^(2/3))+12*_C2*3^(1/2)+12*3^(1/2)*x+36*I*_C2+36*I*x+6*_Z))^3*3^(1/2)+
9*tan(RootOf(2*3^(1/2)*ln(2*3^(1/6)+(9*tan(_Z)*sec(_Z)^2+9*3^(1/2)*sec(_Z)^2-8*
3^(1/2))^(1/3))-3^(1/2)*ln(4*3^(1/3)-2*3^(1/6)*(9*tan(_Z)*sec(_Z)^2+9*3^(1/2)*
sec(_Z)^2-8*3^(1/2))^(1/3)+(9*tan(_Z)*sec(_Z)^2+9*3^(1/2)*sec(_Z)^2-8*3^(1/2))^
(2/3))+12*_C2*3^(1/2)+12*3^(1/2)*x+36*I*_C2+36*I*x+6*_Z))^2+3*3^(1/2)*tan(
RootOf(2*3^(1/2)*ln((3*3^(1/2)*tan(_Z)*sec(_Z)^2-8+9*sec(_Z)^2)^(1/3)+2)-3^(1/2
)*ln((3*3^(1/2)*tan(_Z)*sec(_Z)^2-8+9*sec(_Z)^2)^(2/3)-2*(3*3^(1/2)*tan(_Z)*sec
(_Z)^2-8+9*sec(_Z)^2)^(1/3)+4)+36*I*_C2+36*I*x+12*_C2*3^(1/2)+12*3^(1/2)*x+6*_Z
))+1)^(1/3)*(I*3^(1/2)-1):
ode:=diff(y(x),x)-y(x)^3 = 8:
timelimit(30,odetest(sol_1,ode));

Error, (in expand) time expired

 

#this below will now hang

sol_2:=y(x) = -1/2*(3*tan(RootOf(2*3^(1/2)*ln(2*3^(1/6)+(9*tan(_Z)*sec(_Z)^2+9*3^(1/2)
*sec(_Z)^2-8*3^(1/2))^(1/3))-3^(1/2)*ln(4*3^(1/3)-2*3^(1/6)*(9*tan(_Z)*sec(_Z)^
2+9*3^(1/2)*sec(_Z)^2-8*3^(1/2))^(1/3)+(9*tan(_Z)*sec(_Z)^2+9*3^(1/2)*sec(_Z)^2
-8*3^(1/2))^(2/3))+12*_C3*3^(1/2)+12*3^(1/2)*x-36*I*_C3-36*I*x+6*_Z))^3*3^(1/2)
+9*tan(RootOf(2*3^(1/2)*ln(2*3^(1/6)+(9*tan(_Z)*sec(_Z)^2+9*3^(1/2)*sec(_Z)^2-8
*3^(1/2))^(1/3))-3^(1/2)*ln(4*3^(1/3)-2*3^(1/6)*(9*tan(_Z)*sec(_Z)^2+9*3^(1/2)*
sec(_Z)^2-8*3^(1/2))^(1/3)+(9*tan(_Z)*sec(_Z)^2+9*3^(1/2)*sec(_Z)^2-8*3^(1/2))^
(2/3))+12*_C3*3^(1/2)+12*3^(1/2)*x-36*I*_C3-36*I*x+6*_Z))^2+3*3^(1/2)*tan(
RootOf(2*3^(1/2)*ln((3*3^(1/2)*tan(_Z)*sec(_Z)^2-8+9*sec(_Z)^2)^(1/3)+2)-3^(1/2
)*ln((3*3^(1/2)*tan(_Z)*sec(_Z)^2-8+9*sec(_Z)^2)^(2/3)-2*(3*3^(1/2)*tan(_Z)*sec
(_Z)^2-8+9*sec(_Z)^2)^(1/3)+4)-36*I*_C3-36*I*x+12*_C3*3^(1/2)+12*3^(1/2)*x+6*_Z
))+1)^(1/3)*(1+I*3^(1/2)):
timelimit(30,odetest(sol_2,ode));


Download hangs_timelimit_with_physics_maple_2025_1_oct_2_2025.mw

Could someone try to reproduce this on their Maple? If so, I will send bug report.

I have a random variable called Y1, which looks like the following: Y1 = 2*sqrt(1 - x^2)/Pi, on the (-1 < x < 1) interval. This "semicircle" integrates to 1, like other random variables. Random variable Y2 is the same as Y1 above. I want to find the random variable Z, which is equal to the absolute difference of two random variables Y1 and Y2. In other words, I want to find Z = |Y1 - Y2|. Via simulation, I know that |Y1 - Y2| takes on a logrithmic form, but I need to get a mathematical solution of this.

Never seen such a message before

Here is MWE, Trace shows it comes from (SolveTools:-PolynomialSystemSolvers:-PseudoResultant:-AttemptFactorization,2)

 

restart;

interface(version);

`Standard Worksheet Interface, Maple 2025.1, Linux, June 12 2025 Build ID 1932578`

Physics:-Version();

`The "Physics Updates" version in the MapleCloud is 1878 and is the same as the version installed in this computer, created 2025, September 28, 11:35 hours Pacific Time.`

SupportTools:-Version();

`The Customer Support Updates version in the MapleCloud is 29 and is the same as the version installed in this computer, created June 23, 2025, 10:25 hours Eastern Time.`

ode:=diff(y(x),x$2)+3*y(x)+D(y)(3)=0;
IC:=y(1)+4*y(2)+y(4)=0;

diff(diff(y(x), x), x)+3*y(x)+(D(y))(3) = 0

y(1)+4*y(2)+y(4) = 0

dsolve(ode)

x+(1/3)*3^(1/2)*(tan(3^(1/2)*x)-arctan(tan(3^(1/2)*x)))-((1/3)*(D(y(x)))(3)*(1+tan(3^(1/2)*x)^2)^(1/2)+(1+tan(3^(1/2)*x)^2)^(1/2)*y(x))*c__1-c__2 = 0

dsolve([ode,IC])

Error, (in dsolve) this is a bug

tracelast

 dsolve called with arguments: [diff(diff(y(x), x), x)+3*y(x)+(D(y))(3) = 0, y(1)+4*y(2)+y(4) = 0], arbitraryconstants = subscripted, atomizenames = true, build = false, numeric = false, type = none
 #(dsolve,80): error

 \`dsolve/IC\` called with arguments: [diff(diff(y(x), x), x)+3*y(x)+(D(y))(3) = 0, y(1)+4*y(2)+y(4) = 0], {y(x)}, skipimplicit = false, skippparticularsolforlinearODEs = true, solution = {}, usesolutions = particular and general
 #(\`dsolve/IC\`,53): return procname(_passed,':-usesolutions' =  "general and particular")

 \`dsolve/IC\` called with arguments: [diff(diff(y(x), x), x)+3*y(x)+(D(y))(3) = 0, y(1)+4*y(2)+y(4) = 0], {y(x)}, skipimplicit = false, skippparticularsolforlinearODEs = true, solution = {}, usesolutions = general and particular
 #(\`dsolve/IC\`,57): ans := procname(_passed,':-usesolutions = "general"');

 \`dsolve/IC\` called with arguments: [diff(diff(y(x), x), x)+3*y(x)+(D(y))(3) = 0, y(1)+4*y(2)+y(4) = 0], {y(x)}, skipimplicit = false, skippparticularsolforlinearODEs = true, solution = {}, usesolutions = general
 #(\`dsolve/IC\`,277): zz := map(op,{\`dsolve/IC/_C\`({ANS[i]},funcs,x,ics)});

 \`dsolve/IC/_C\` called with arguments: {y(x) = -(1/3)*(_C[1]*(D(_Z))(3)*(1+tan(3^(1/2)*x)^2)^(1/2)-3^(1/2)*tan(3^(1/2)*x)+3^(1/2)*arctan(tan(3^(1/2)*x))+3*_C[2]-3*x)/((1+tan(3^(1/2)*x)^2)^(1/2)*_C[1])}, {y(x)}, x, [y(1) = _C1, y(2) = _C2, y(4) = -_C1-4*_C2]
 #(\`dsolve/IC/_C\`,1): ans := \`dsolve/IC/_C/do\`(solns,depvars,t,inits,'evaluated_ans', "default",':-giveup = giveup');

 \`dsolve/IC/_C/do\` called with arguments: {y(x) = -(1/3)*(_C[1]*(D(_Z))(3)*(1+tan(3^(1/2)*x)^2)^(1/2)-3^(1/2)*tan(3^(1/2)*x)+3^(1/2)*arctan(tan(3^(1/2)*x))+3*_C[2]-3*x)/((1+tan(3^(1/2)*x)^2)^(1/2)*_C[1])}, {y(x)}, x, [y(1) = _C1, y(2) = _C2, y(4) = -_C1-4*_C2], evaluated_ans, default, giveup = giveup, usecansolve = false
 #(\`dsolve/IC/_C/do\`,103): csol := [\`ODEtools/Solve/EnvDropMultiplicity\`(eqns,consts)];

 \`ODEtools/Solve/EnvDropMultiplicity\` called with arguments: {-(1/3)*(_C[1]*(D(_Z))(3)*(1+tan(3^(1/2))^2)^(1/2)-3^(1/2)*tan(3^(1/2))+3^(1/2)*(3^(1/2)-Pi)+3*_C[2]-3)/((1+tan(3^(1/2))^2)^(1/2)*_C[1]) = _C1, -(1/3)*(_C[1]*(D(_Z))(3)*(1+tan(2*3^(1/2))^2)^(1/2)-3^(1/2)*tan(2*3^(1/2))+3^(1/2)*(2*3^(1/2)-Pi)+3*_C[2]-6)/((1+tan(2*3^(1/2))^2)^(1/2)*_C[1]) = _C2, -(1/3)*(_C[1]*(D(_Z))(3)*(1+tan(4*3^(1/2))^2)^(1/2)-3^(1/2)*tan(4*3^(1/2))+3^(1/2)*(4*3^(1/2)-2*Pi)+3*_C[2]-12)/((1+tan(4*3^(1/2))^2)^(1/2)*_C[1]) = -_C1-4*_C2}, {_C1, _C2, _C[1], _C[2]}, keepalreadysolveduntouched = false, removelabel = false
 #(\`ODEtools/Solve/EnvDropMultiplicity\`,29): sol := :-solve(ee,X,_rest)

 solve called with arguments: {-(1/3)*(_C[1]*(D(_Z))(3)*(1+tan(3^(1/2))^2)^(1/2)-3^(1/2)*tan(3^(1/2))+3^(1/2)*(3^(1/2)-Pi)+3*_C[2]-3)/((1+tan(3^(1/2))^2)^(1/2)*_C[1]) = _C1, -(1/3)*(_C[1]*(D(_Z))(3)*(1+tan(2*3^(1/2))^2)^(1/2)-3^(1/2)*tan(2*3^(1/2))+3^(1/2)*(2*3^(1/2)-Pi)+3*_C[2]-6)/((1+tan(2*3^(1/2))^2)^(1/2)*_C[1]) = _C2, -(1/3)*(_C[1]*(D(_Z))(3)*(1+tan(4*3^(1/2))^2)^(1/2)-3^(1/2)*tan(4*3^(1/2))+3^(1/2)*(4*3^(1/2)-2*Pi)+3*_C[2]-12)/((1+tan(4*3^(1/2))^2)^(1/2)*_C[1]) = -_C1-4*_C2}, {_C1, _C2, _C[1], _C[2]}, AllSolutions = FAIL, ConditionalSolutions = FAIL, DropMultiplicity = FAIL, Explicit = FAIL, MaxSols = FAIL, SolveOverReals = FAIL, SymbolicSolutions = true, TryHard = FAIL, UseAssumptions = false, domain = default, parameters = {}, parametric = false, split = false, useunits = FAIL
 #(solve,133): _MaxSols := oldmaxsols

 Engine:-Main called with arguments: {-(1/3)*(_C[1]*(D(_Z))(3)*(1+tan(3^(1/2))^2)^(1/2)-3^(1/2)*tan(3^(1/2))+3^(1/2)*(3^(1/2)-Pi)+3*_C[2]-3)/((1+tan(3^(1/2))^2)^(1/2)*_C[1]) = _C1, -(1/3)*(_C[1]*(D(_Z))(3)*(1+tan(2*3^(1/2))^2)^(1/2)-3^(1/2)*tan(2*3^(1/2))+3^(1/2)*(2*3^(1/2)-Pi)+3*_C[2]-6)/((1+tan(2*3^(1/2))^2)^(1/2)*_C[1]) = _C2, -(1/3)*(_C[1]*(D(_Z))(3)*(1+tan(4*3^(1/2))^2)^(1/2)-3^(1/2)*tan(4*3^(1/2))+3^(1/2)*(4*3^(1/2)-2*Pi)+3*_C[2]-12)/((1+tan(4*3^(1/2))^2)^(1/2)*_C[1]) = -_C1-4*_C2}, {}, {_C1, _C2, _C[1], _C[2]}
 #(SolveTools:-Engine:-Main,37): sol := [SolveTools:-PolynomialSystem(eqns,vars,ineqs,':- maxsols' = \`if\`(type([_MaxSols],[{integer, infinity}]) and 0 < _MaxSols,_MaxSols,100))]

 PolynomialSystem:-ModuleApply called with arguments: {-(1/3)*(_X000003*(D(_Z))(3)*(1+tan(3^(1/2))^2)^(1/2)-3^(1/2)*tan(3^(1/2))+3^(1/2)*(3^(1/2)-Pi)+3*_X000004-3)/((1+tan(3^(1/2))^2)^(1/2)*_X000003) = _X000001, -(1/3)*(_X000003*(D(_Z))(3)*(1+tan(2*3^(1/2))^2)^(1/2)-3^(1/2)*tan(2*3^(1/2))+3^(1/2)*(2*3^(1/2)-Pi)+3*_X000004-6)/((1+tan(2*3^(1/2))^2)^(1/2)*_X000003) = _X000002, -(1/3)*(_X000003*(D(_Z))(3)*(1+tan(4*3^(1/2))^2)^(1/2)-3^(1/2)*tan(4*3^(1/2))+3^(1/2)*(4*3^(1/2)-2*Pi)+3*_X000004-12)/((1+tan(4*3^(1/2))^2)^(1/2)*_X000003) = -_X000001-4*_X000002}, {_X000001, _X000002, _X000003, _X000004}, {}, FAIL, backsubstitute = true, domain = absolute, engine = default, explicit = false, maxsols = 100, preprocess = true, preservelabels = false, tryhard = true
 #(SolveTools:-PolynomialSystem:-ModuleApply,15): sol := SolveTools:-PolynomialSystem:-Main(SolveTools:-Utilities:-New( equations,notz,SolveTools:-Utilities:-Intersect(vars,indets(equations ))),':-backsub' = reallybacksub,':-domain' = domain,':-maxsols' =  realmaxsols,':-engine' = engine,':-preprocess' = preprocess,':- tryhard' = tryhard);

 PolynomialSystem:-Main called with arguments: [{-(1/3)*(_X000003*(D(_Z))(3)*(1+tan(3^(1/2))^2)^(1/2)-3^(1/2)*tan(3^(1/2))+3^(1/2)*(3^(1/2)-Pi)+3*_X000004-3)/((1+tan(3^(1/2))^2)^(1/2)*_X000003)-_X000001, -(1/3)*(_X000003*(D(_Z))(3)*(1+tan(2*3^(1/2))^2)^(1/2)-3^(1/2)*tan(2*3^(1/2))+3^(1/2)*(2*3^(1/2)-Pi)+3*_X000004-6)/((1+tan(2*3^(1/2))^2)^(1/2)*_X000003)-_X000002, -(1/3)*(_X000003*(D(_Z))(3)*(1+tan(4*3^(1/2))^2)^(1/2)-3^(1/2)*tan(4*3^(1/2))+3^(1/2)*(4*3^(1/2)-2*Pi)+3*_X000004-12)/((1+tan(4*3^(1/2))^2)^(1/2)*_X000003)+_X000001+4*_X000002}, {3*(1+tan(3^(1/2))^2)^(1/2)*_X000003 <> 0, 3*(1+tan(2*3^(1/2))^2)^(1/2)*_X000003 <> 0, 3*(1+tan(4*3^(1/2))^2)^(1/2)*_X000003 <> 0}, {_X000001, _X000002, _X000003, _X000004}, {}, true, false, 1, {_X000001, _X000002, _X000003, _X000004}], backsub = true, domain = absolute, engine = default, maxsols = 100, preprocess = true, tryhard = true
 #(SolveTools:-PolynomialSystem:-Main,86): sol := [SolveTools:-PolynomialSystemSolvers:- PseudoResultant(SolveTools:-Utilities:- GetEquations(sys),SolveTools:-Utilities:- GetVariables(sys),SolveTools:-Utilities:- GetInequations(sys),':-maxsols' = maxsols,':- tryhard' = tryhard)];

 PseudoResultant:-ModuleApply called with arguments: {(_X000003*(D(_Z))(3)*(-2*cos(3^(1/2))+1+sec(3^(1/2)))+3*_X000001*_X000003*(-2*cos(3^(1/2))+sec(3^(1/2)))+3*_X000002*_X000003+3^(1/2)*tan(3^(1/2)))/cos(2*3^(1/2)), -(sec(4*3^(1/2))+sec(3^(1/2)))*_X000003*(D(_Z))(3)+3*(sec(4*3^(1/2))-sec(3^(1/2)))*_X000001*_X000003+12*_X000002*sec(4*3^(1/2))*_X000003+3^(1/2)*Pi+3^(1/2)*tan(4*3^(1/2))-3^(1/2)*tan(3^(1/2))}, {_X000001, _X000002, _X000003}, {_X000003 <> 0}, backsub = true, maxsols = 100, tryhard = true
 #(SolveTools:-PolynomialSystemSolvers:-PseudoResultant:-ModuleApply,25): SolveTools:-PolynomialSystemSolvers:-PseudoResultant:-ApplySubstitution ({},[],numer(tm1),notzero union map(xx -> denom(xx) <> 0,tm1), unknowns);

 ApplySubstitution called with arguments: {}, [], {_X000003*(D(_Z))(3)*sec(3^(1/2))+3*_X000001*sec(3^(1/2))*_X000003-2*_X000003*(D(_Z))(3)*cos(3^(1/2))-6*_X000001*_X000003*cos(3^(1/2))+3^(1/2)*tan(3^(1/2))+_X000003*(D(_Z))(3)+3*_X000002*_X000003, -_X000003*(D(_Z))(3)*sec(4*3^(1/2))+3*_X000001*sec(4*3^(1/2))*_X000003+12*_X000002*sec(4*3^(1/2))*_X000003+3^(1/2)*Pi+3^(1/2)*tan(4*3^(1/2))-_X000003*(D(_Z))(3)*sec(3^(1/2))-3*_X000001*sec(3^(1/2))*_X000003-3^(1/2)*tan(3^(1/2))}, {1 <> 0, _X000003 <> 0, cos(2*3^(1/2)) <> 0}, {_X000001, _X000002, _X000003}
 #(SolveTools:-PolynomialSystemSolvers:-PseudoResultant:-ApplySubstitution,48): eqns := map(SolveTools:-PolynomialSystemSolvers:-PseudoResultant:- AttemptFactorization,eqns,not0,unknowns);

 AttemptFactorization called with arguments: _X000003*(D(_Z))(3)*sec(3^(1/2))+3*_X000001*sec(3^(1/2))*_X000003-2*_X000003*(D(_Z))(3)*cos(3^(1/2))-6*_X000001*_X000003*cos(3^(1/2))+3^(1/2)*tan(3^(1/2))+_X000003*(D(_Z))(3)+3*_X000002*_X000003, {_X000003 <> 0, cos(2*3^(1/2)) <> 0}, {_X000001, _X000002, _X000003}
 #(SolveTools:-PolynomialSystemSolvers:-PseudoResultant:-AttemptFactorization,2): error \`this is a bug\`

Error, (in dsolve) this is a bug

 locals defined as: e = e

 


 

Download dsolve_error_this_is_bug_2025_1_oct_2_2025.mw

Note that changing the IC to IC:=y(1)+4*y(2)=0; makes it work with no error.

It is only when adding y(4) does the error shows up.

update Bug report emailed to Maplesoft.

 

 

Hi! how I install Maple 2025 and Mathematica in my laptop?
Provide me Complete Set-up.

How can we determine the solution of the  system

Udot1 := -beta*V;
Vdot1 := beta*U;
Pdot1 := Q;
Qdot1 := 0;

and with initial conditions 

 U(0) := U[0];
V(0) := V[0];
P(0) := P[0];
Q(0) := Q[0];

Ode1.mw

I feel that it is increasingly common for answers to generate no reaction from their authors.

Perhaps the author simply voted up... but in that case, would it be possible to indicate this (something like "XXX voted up")? 

This would avoid wasting time responding to the same author in the future, as it doesn't seem to care about commenting the answer.

I want to load some specific constants at the beginning of my document. I load the ScientificConstants package first. Then I use a list of names of the constants I need. But the assignation in the loop does not work. Only the value and the units appear in the list, but they are not assigned to the letter. See the document included for more details.   Using_the_constants_.mw

Thank you in advance for your help

Mario


I would like to find the indeterminates of the following expression:

K:=2*x+I*y/Pi+Catalan*5-g(infinity)+f(undefined);

# I expect to get x an y.

indets(K,And(name,Not(constant)));
# answer: {x, y, undefined} I surprised at undefined.

indets(K,'name &under evalf');
#answer {x, y} it is correct.

I am optimizing an objective function subject to two constraints. I have obtained the solution, but I am unsure how to determine the conditions for the Lagrange multipliers μ1​ and μ2​. For example, using the KKT conditions, if μ1>0 then the solution is X, and if μ2>0 then the solution is Y. Could you guide me on how to find μ1 and μ2 along with their corresponding conditions?

restart

with(Optimization); with(plots); with(LinearAlgebra)

_local(Pi)

Pi

(1)
 

`&pi;_m` := proc (i1) options operator, arrow; (w-i1)*(1/2+(1/2)*(i1-i2)/tau)*(1-(Pn-Pr)/(1-delta))-C0-(1/2)*Cr*(1/2+(1/2)*(i1-i2)/tau)^2*(1-(Pn-Pr)/(1-delta))^2+Ce*rho0*(1-(Pn-Pr)/(1-delta)) end proc

C1 := (2*rho0-1)*tau+i2 <= i1

(2*rho0-1)*tau+i2 <= i1

(2)

C2 := i1 <= tau+i2

i1 <= tau+i2

(3)

NULL

NULL

``

NULL

# No equality constraints
#
# Inequality constraints must be of the form f[i](i1) <= 0
#
# Thus
#
# (1) For C1
#     so
      f[1] := (i1) -> (2*rho0 - 1)*tau + i2-i1:
      
#
# (2) C2
#     so
      f[2] := (i1) -> i1-(tau + i2):
      
#

# Lagrangian (we want to maximize `&pi;_m` so to minimize -`&pi;_m`

L := -`&pi;_m`(i1) + add(f[i](i1)*mu[i], i=1..2):

dLdi1 := collect(diff(L, i1), [i1]):

KKT_conditions := [
                    seq(mu[i] >= 0, i=1..2),         # Dual feasibility conditions
                    dLdi1 = 0,                       # Stationarity condition
                    seq(``(f[i](i1)) <= 0, i=1..2),  # Primal feasibility conditions
                    add(mu[i]*f[i](i1) = 0, i=1..2)  # Complementary slackness
                  ]:

print~(KKT_conditions);

0 <= mu[1]

 

0 <= mu[2]

 

((1-(Pn-Pr)/(1-delta))/tau+(1/4)*Cr*(1-(Pn-Pr)/(1-delta))^2/tau^2)*i1+(1/2-(1/2)*i2/tau)*(1-(Pn-Pr)/(1-delta))-(1/2)*w*(1-(Pn-Pr)/(1-delta))/tau+(1/2)*Cr*(1/2-(1/2)*i2/tau)*(1-(Pn-Pr)/(1-delta))^2/tau-mu[1]+mu[2] = 0

 

``((2*rho0-1)*tau+i2-i1) <= 0

 

``(i1-tau-i2) <= 0

 

((2*rho0-1)*tau+i2-i1)*mu[1]+(i1-tau-i2)*mu[2] = 0

 

[]

(4)


Analysis of dLdp1

with(LargeExpressions):

DLDi1 := collect(dLdi1, i1, Veil[K]);

(1/4)*K[1]*i1-(1/4)*K[2]

(5)

# Thus dLdi1 = 0 verifies

isolate((5), i1)
 

i1 = K[2]/K[1]

(6)

# Where K1 and K2 are

i := 'i':
KS := [ seq(K[i] = Unveil[K](K[i]), i=1..LastUsed[K] ) ];

[K[1] = (-1+delta+Pn-Pr)*(Cr*Pn-Cr*Pr+Cr*delta+4*delta*tau-Cr-4*tau)/(tau^2*(-1+delta)^2), K[2] = (4*delta^2*tau^2*mu[1]-4*delta^2*tau^2*mu[2]+Cr*Pn^2*i2-Cr*Pn^2*tau-2*Cr*Pn*Pr*i2+2*Cr*Pn*Pr*tau+2*Cr*Pn*delta*i2-2*Cr*Pn*delta*tau+Cr*Pr^2*i2-Cr*Pr^2*tau-2*Cr*Pr*delta*i2+2*Cr*Pr*delta*tau+Cr*delta^2*i2-Cr*delta^2*tau+2*Pn*delta*i2*tau-2*Pn*delta*tau^2+2*Pn*delta*tau*w-2*Pr*delta*i2*tau+2*Pr*delta*tau^2-2*Pr*delta*tau*w+2*delta^2*i2*tau-2*delta^2*tau^2+2*delta^2*tau*w-8*delta*tau^2*mu[1]+8*delta*tau^2*mu[2]-2*Cr*Pn*i2+2*Cr*Pn*tau+2*Cr*Pr*i2-2*Cr*Pr*tau-2*Cr*delta*i2+2*Cr*delta*tau-2*Pn*i2*tau+2*Pn*tau^2-2*Pn*tau*w+2*Pr*i2*tau-2*Pr*tau^2+2*Pr*tau*w-4*delta*i2*tau+4*delta*tau^2-4*delta*tau*w+4*tau^2*mu[1]-4*tau^2*mu[2]+Cr*i2-Cr*tau+2*i2*tau-2*tau^2+2*tau*w)/(tau^2*(-1+delta)^2)]

(7)


Analysis of the two constraints

beta

beta

(8)

Cs := { seq(beta[i] = subs(i1=0, f[i](i1)), i=1..2) };

{beta[1] = (2*rho0-1)*tau+i2, beta[2] = -tau-i2}

(9)

 

# two constraints problem

Cmin_value := min(rhs~(Cs));  # the "true" constraints
Cmax_value := max(rhs~(Cs)):

Cmin_name  := min(lhs~(Cs));  # the "abstract" constraints
Cmax_name  := max(lhs~(Cs)):

Cmin_name  := LowerBound;  # and an even more abstract form
Cmax_name  := UpperBound:

Complementary_Slackness := mu[1]*(Cmin_name-i1) , mu[2]*(i1-Cmax_name);

L2     := -`&pi;_m`(i1) + add(Complementary_Slackness):
dL2di1 := diff(L2, i1):
dL2di1 := map(simplify, %, size);
 

min(-tau-i2, (2*rho0-1)*tau+i2)

 

min(beta[1], beta[2])

 

LowerBound

 

mu[1]*(LowerBound-i1), mu[2]*(i1-UpperBound)

 

(1/2)*(tau+i1-i2)*(-1+delta+Pn-Pr)/(tau*(-1+delta))+(1/2)*(-w+i1)*(-1+delta+Pn-Pr)/(tau*(-1+delta))+(1/4)*Cr*(tau+i1-i2)*(-1+delta+Pn-Pr)^2/(tau^2*(-1+delta)^2)-mu[1]+mu[2]

(10)

type(dL2di1, linear([i1, seq(mu[i], i=1..2)]));

SC_CS_sols := solve(
  {
    dL2di1 = 0,
    op([Complementary_Slackness] =~ 0)
  }
  ,
  {i1, seq(mu[i], i=1..2)}
):

true

 

Main: Entering solver with 3 equations in 3 variables
Main: attempting to solve as a linear system
Main: attempting to solve as a polynomial system
Main: Polynomial solver successful. Exiting solver returning 1 solution

 

# How many solutions did we get?

numelems([SC_CS_sols]);

# And those solutions are charecterized by

map(s -> if eval(lambda[1], s) = 0 then
           if eval(lambda[2], s) = 0 then
             "i1 belongs to interval (LowerBound, UpperBound)"
           else
             "i1 is equal to the UpperBound"
           end if
         else
           "i1 is equal to the LowerBound"
         end if
         , [SC_CS_sols]);

# So we get as expected the three possible situations.

3

 

["i1 is equal to the LowerBound", "i1 is equal to the LowerBound", "i1 is equal to the LowerBound"]

(11)

Cmin_value

min(-tau-i2, (2*rho0-1)*tau+i2)

(12)
 

 

Download I_1_Optimum_condition.mw

in here  for jacobieliptic i got two lambda[0] same as paper did but in second one is different and is true make my ode be zero, but is so different from paper 

test-Dr.D.mw

1 2 3 4 5 6 7 Last Page 1 of 2433