MaplePrimes Questions

The Strengths of maple 16 is Algebra. What the other application of maple ?

Could you help me how to draw this fractal picture in Maple 16. The fractal picture in the website below?

http://t0.gstatic.com/images?q=tbn:ANd9GcRqnwH8j-_kuEcylqzNve11ZqdjUwo6x1qOLKo2BvMWxMWoAZqxng ?

For a while I haven't received notifications about updates to answers and comments from MaplePrimes. Is that due to the recent problem with fake messages from Maple?

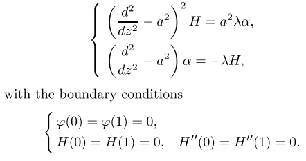
in this program, i wuld like to plot R against a, the assign function does not work, can any one help me please????

 
result:=[]:
omega:=fsolve(subs(Pr= 0.025,subs(Pr[m]= 0, 10000*Pr^2*(Pr^2*(Pr-1)*(1+a^2/Pi^2)^2+10*Pr^2*(Pr+Pr[m])+Pr[m]^2*omega_1*(Pr-1))/((1+a^2/Pi^2)*(omega_1*(1+a^2/Pi^2)^2*(Pr+Pr*Pr[m])^2+(Pr^2*(1+a^2/Pi^2)^2-Pr[m]*omega_1+10*Pr^2)^2))+10*Pr^2*(Pr-Pr[m])/(Pr[m]^2*omega_1+Pr^2*(1+a^2/Pi^2)^2)+(1+Pr))),omega_1):
R:=(subs(Pr = 0.025, subs(Pr[m...

I downloaded the Maple16LinuxX86_64Installer.bin from Maplesoft and installed Maple16 on my Laptop with Arch Linux X86_64. I started maple using xmaple to get to the Worksheet. When I type a simple instruction as 4+5 and hit the Enter key, I get a error message which says Kernel Connection Not Available. - Waiting for kernel connection. When I cancel that error message another message pops up which say Kernel connection has not yet been established ....... IPv6 is enabled by...

I have been grappling with the Maple concept of last name evaluation and would appreciate a more detailed explanation than is available in the Programming Guide (too brief) or the help page (confusing).

What I think I understand is this: Normally, Maple evaluates an expression fully until all assignments are resolved, leaving me with an expression having only "values" (in a generalized sense, could be strings, numbers, what have you) and "names", which are variables...

I am new to maple. The problem I am facing is to get a non-trivial

solution of a system of odes. But maple gve me only trivial solution.

 

# The system of odequations I am trying to solve is (Please note that in the bcs phi is alpha.)

 

 

# The solution of the above sys of odes is of the form, (note x3=z, its just a typo)

I made a model with mapleSim, run simulation and the following figure was got

simulation result

Here I have a question. I want to know the max value of this curve that will be used in other component as input in mapleSim. Is here a component in mapleSim or other mothed such as maple?

please help me. think you

Does anyone know why the two integrations of a heaviside function (u1test and u2test) are not equal?  @Preben Alsholm said that the pure symbolic integration u was not correct so that the value of u2test is not correct either. Did I make any mistake in finding u? Is it possible for maple to find the pure symbolic expression of u correctly? Please help!

Hi, I'm having troubles with the conditions in an if statement.  My program is basically a for loop which assigns random values to some parameters, then some numbers are calculated, and finally there is an 'if' that checks if these numbers are positive.  However, when checking some of the output parameters I find that for some of them the conditions are not satisfied, i.e. the 'if' is not doing its job.  Here's a simplified version of the code.  Thanks for any help.

Hi/

the code below wroten by Maple 13. I use h=0.29669 and N:=15 and digit=80 fsolve works perfect! but when I changed N:=16 and another number greater than 15 fsolve didnt return result and return some equation.

whould you help me how to resolve this problem?

sorry i upload this code. to run easilySinc_MBVP_V2-temp.mw

thanks

 

> restart;
> N := 15;

Hi guys,

I have an expression, say like this:

2*x*(sum(w[i]*Y[i], i = 1 .. t))+2*a[0]*(sum(w[i]*x[i], i = 1 .. t))-2*a[0]*x*(sum(w[i], i = 1 .. t))

and i want to simplify the expression like this:

Hi,

I am a beginner and am trying to solve the following PDE but get an error. 

PDE:=-diff(f(x1,x2),x1,x1)-diff(f(x1,x2),x2,x2) = a^2*f(x1,x2);

IBC := {D[1](f)(0,x2) = 0, D[1](f)(L1,0) = 0, D[1](f)(x1,0) = 0, D[1](f)(x1,L2) = 0};

ans := pdsolve(IBC,PDE);

"Error, (in pdsolve/BC) unable to handle derivatives in BCs involving arbitrary
 functions _Fn(...)"

Please guide me.

consider:

assume(k[f1]>0,k[f2]>0,k[f2]>k[f1],h_bar>0,m>0);
 
h_bar:=1.0545e-34;m:=0.10938e-31;n[0]=1e28;


> eq1:=n=(k[f1]^3+k[f2]^3)/6/Pi^2;

> eq2:=e*V=h_bar^2/2/m*(k[f2]^2-k[f1]^2);

> solve({eq1,eq2},{k[f1],k[f2]});

in the final command i get a very messy numerical&symbolic results like

{k[f1] = 1016612041.*
(-1.*RootOf(9456017282782496601177464289*n^2*Pi^4...

Hi,

I'm using Maple to carry out some calculations in Tropical algebra, which requires taking minima of real numbers and infinity.

I'm currently using symbols rather than real numbers, which is causing a problem, I have (for example) the following lines of Maple code:

> assume(0 < a)
> min(a+infinity, 2*a+infinity)
               min(a~ + infinity, 2a~ + infinity)

First 1723 1724 1725 1726 1727 1728 1729 Last Page 1725 of 2456